Last visit was: 01 May 2026, 07:42 It is currently 01 May 2026, 07:42
Close
GMAT Club Daily Prep
Thank you for using the timer - this advanced tool can estimate your performance and suggest more practice questions. We have subscribed you to Daily Prep Questions via email.

Customized
for You

we will pick new questions that match your level based on your Timer History

Track
Your Progress

every week, we’ll send you an estimated GMAT score based on your performance

Practice
Pays

we will pick new questions that match your level based on your Timer History
Not interested in getting valuable practice questions and articles delivered to your email? No problem, unsubscribe here.
Close
Request Expert Reply
Confirm Cancel
User avatar
Bunuel
User avatar
Math Expert
Joined: 02 Sep 2009
Last visit: 01 May 2026
Posts: 109,994
Own Kudos:
812,274
 [3]
Given Kudos: 105,972
Products:
Expert
Expert reply
Active GMAT Club Expert! Tag them with @ followed by their username for a faster response.
Posts: 109,994
Kudos: 812,274
 [3]
2
Kudos
Add Kudos
1
Bookmarks
Bookmark this Post
avatar
zerosleep
Joined: 15 Aug 2013
Last visit: 01 Jul 2017
Posts: 40
Own Kudos:
135
 [1]
Given Kudos: 7
Posts: 40
Kudos: 135
 [1]
1
Kudos
Add Kudos
Bookmarks
Bookmark this Post
User avatar
EMPOWERgmatRichC
User avatar
Major Poster
Joined: 19 Dec 2014
Last visit: 31 Dec 2023
Posts: 21,777
Own Kudos:
13,060
 [1]
Given Kudos: 450
Status:GMAT Assassin/Co-Founder
Affiliations: EMPOWERgmat
Location: United States (CA)
GMAT 1: 800 Q51 V49
GRE 1: Q170 V170
Expert
Expert reply
GMAT 1: 800 Q51 V49
GRE 1: Q170 V170
Posts: 21,777
Kudos: 13,060
 [1]
1
Kudos
Add Kudos
Bookmarks
Bookmark this Post
User avatar
chetan2u
User avatar
GMAT Expert
Joined: 02 Aug 2009
Last visit: 01 May 2026
Posts: 11,235
Own Kudos:
Given Kudos: 335
Status:Math and DI Expert
Location: India
Concentration: Human Resources, General Management
GMAT Focus 1: 735 Q90 V89 DI81
Products:
Expert
Expert reply
Active GMAT Club Expert! Tag them with @ followed by their username for a faster response.
GMAT Focus 1: 735 Q90 V89 DI81
Posts: 11,235
Kudos: 45,061
Kudos
Add Kudos
Bookmarks
Bookmark this Post
EMPOWERgmatRichC
Hi All,

While this question looks a bit "scary", it involves shapes and formulas that you probably know and can be easily solved by TESTing VALUES.

Since the entire setup involves variables, we can TEST any variables that we want, as long as we do all of the calculations correctly.

Let's start with the Square:

side of a square = 2
area of the square = (2)(2) = 4

Now, let's deal with Triangle:

Even though it's on the "side" of the square, this triangle has a "base" (the side of the square) and a height (segment BF)

the base = 2 (since it's the same length as the side of the square)

Let's TEST....
H = height = 1

Area of the triangle = (1/2)(base)(height) = (1/2)(2)(1) = 1
Q = Area = 1

We're asked for the area of the SQUARE (which we already know is 4), when H=1 and Q=1.

Answer A: (1)(1) = 1 NOT a match.
Answer B: 1/1 = 1 NOT a match.
Answer C: 2[(1/1)^2] = 2 NOT a match.
Answer D: 4[(1/1)^2] = 4 This IS a match.
Answer E: (1/4)[(1/1)^2] = 1/4 NOT a match.

Final Answer:
GMAT assassins aren't born, they're made,
Rich

hi rich,
Its great to see your solutions and you as a strong advocate of testing values...
although testing values on various occasions does simplify the solution but at times does complicate things..
in this particular case, the algebric formulas are very simple and straight and takes very less time to get to solution..
however reading the solution through testing values in this particular question, a thing struck me....
here you may have been lucky that no other choice gives you 4 as solution..
If you would have these choices also apart from the correct answer,
a) 4*(h/Q)^2
b)4*(Q/h)^2
c)4*(Q/h)^3
d)4*(h/Q)
all these choices will give you 4 as answer..

would not things become more complicated now....will it not put the test taker into a dilemma..
i totally agree that testing values is a great concept but simpler problems may be better off with straight solutions...
User avatar
EMPOWERgmatRichC
User avatar
Major Poster
Joined: 19 Dec 2014
Last visit: 31 Dec 2023
Posts: 21,777
Own Kudos:
13,060
 [1]
Given Kudos: 450
Status:GMAT Assassin/Co-Founder
Affiliations: EMPOWERgmat
Location: United States (CA)
GMAT 1: 800 Q51 V49
GRE 1: Q170 V170
Expert
Expert reply
GMAT 1: 800 Q51 V49
GRE 1: Q170 V170
Posts: 21,777
Kudos: 13,060
 [1]
1
Kudos
Add Kudos
Bookmarks
Bookmark this Post
Hi chetan2u,

In your example, you've changed all of the answers to fit your point; looking at them though, I'd STILL TEST VALUES - I just wouldn't use the number 1 for "H". When I TEST VALUES, I don't do so randomly - I tend to stick to "simple numbers", but I use the answer choices to guide me when they offer a 'hint' as to what numbers to use (or what numbers to avoid). The numbers that I chose for this question work great for a couple of reasons:

1) They're small, which makes the math fast and easy to do.
2) The answer choices are written in such a way that duplicate answers in this question would be unlikely to occur.

I'm a proponent of knowing more than one way to approach each question. Since most posters in these forums tend to take the "math" approach, I find it worthwhile to showcase other approaches (including TESTing VALUES, TESTing THE ANSWERS, Number Properties, Estimation, Pattern-matching, etc). You'll find that doing algebra can work quite well on a number of questions, but if you're not able to score a Q49+ doing things the "math" way, then you have to be open to the idea that other approaches are needed. If you're not practicing those approaches now, then you'll never be able to properly use them on Test Day (when you'll need them).

GMAT assassins aren't born, they're made,
Rich
avatar
PareshGmat
Joined: 27 Dec 2012
Last visit: 10 Jul 2016
Posts: 1,531
Own Kudos:
Given Kudos: 193
Status:The Best Or Nothing
Location: India
Concentration: General Management, Technology
WE:Information Technology (Computer Software)
Posts: 1,531
Kudos: 8,282
Kudos
Add Kudos
Bookmarks
Bookmark this Post
Answer = D. 4*(Q/h)^2

Let side of square = base of triangle = b

Area of triangle = \(q = \frac{1}{2} * b * h\)

\(b = \frac{2q}{h}\)

Area of square \(= b^2 = \frac{4q^2}{h^2}\)
User avatar
chetan2u
User avatar
GMAT Expert
Joined: 02 Aug 2009
Last visit: 01 May 2026
Posts: 11,235
Own Kudos:
Given Kudos: 335
Status:Math and DI Expert
Location: India
Concentration: Human Resources, General Management
GMAT Focus 1: 735 Q90 V89 DI81
Products:
Expert
Expert reply
Active GMAT Club Expert! Tag them with @ followed by their username for a faster response.
GMAT Focus 1: 735 Q90 V89 DI81
Posts: 11,235
Kudos: 45,061
Kudos
Add Kudos
Bookmarks
Bookmark this Post
EMPOWERgmatRichC
Hi chetan2u,

In your example, you've changed all of the answers to fit your point; looking at them though, I'd STILL TEST VALUES - I just wouldn't use the number 1 for "H". When I TEST VALUES, I don't do so randomly - I tend to stick to "simple numbers", but I use the answer choices to guide me when they offer a 'hint' as to what numbers to use (or what numbers to avoid). The numbers that I chose for this question work great for a couple of reasons:

1) They're small, which makes the math fast and easy to do.
2) The answer choices are written in such a way that duplicate answers in this question would be unlikely to occur.

I'm a proponent of knowing more than one way to approach each question. Since most posters in these forums tend to take the "math" approach, I find it worthwhile to showcase other approaches (including TESTing VALUES, TESTing THE ANSWERS, Number Properties, Estimation, Pattern-matching, etc). You'll find that doing algebra can work quite well on a number of questions, but if you're not able to score a Q49+ doing things the "math" way, then you have to be open to the idea that other approaches are needed. If you're not practicing those approaches now, then you'll never be able to properly use them on Test Day (when you'll need them).

GMAT assassins aren't born, they're made,
Rich

hi rich,

firstly, i have all respect for you for the kind of effort and patience you show in providing solutions..
next, yes i have changed values to prove my point and that is 'if two choices can give same answer with same equation with just a change in the position of variables(h/Q instead of Q/h), it can put the test taker in a big dilemma.... but now if you say that the GMAC people ensure that no two choices have same value,although it may be very time consuming,i take your point...
finally, although i am very comfortable and very very confident with 'math' way for a Q51, i too believe there are places where testing values may be the best suited...

and yes you will have to change the value of sides of square too, not only h.. because with the sides u have taken, Q will always be equal to h, irrespective of what h is..
area=1/2*h*base=Q... 1/2*h*2=Q... or h=Q
User avatar
EMPOWERgmatRichC
User avatar
Major Poster
Joined: 19 Dec 2014
Last visit: 31 Dec 2023
Posts: 21,777
Own Kudos:
13,060
 [1]
Given Kudos: 450
Status:GMAT Assassin/Co-Founder
Affiliations: EMPOWERgmat
Location: United States (CA)
GMAT 1: 800 Q51 V49
GRE 1: Q170 V170
Expert
Expert reply
GMAT 1: 800 Q51 V49
GRE 1: Q170 V170
Posts: 21,777
Kudos: 13,060
 [1]
1
Kudos
Add Kudos
Bookmarks
Bookmark this Post
Hi chetan2u,

I'm not exactly sure what point you're trying to get across (I think that you think that Algebra is the best approach here, and that's fine - as long as you concede that what is fastest/easiest for YOU might not be fastest/easiest for EVERYONE).

As with any question on this Test (Quant or Verbal), the details and design will often provide 'hints' as to how you COULD approach the prompt. To maximize your performance, you have to be flexible enough to take advantage of those hints and use a different approach (as needed).

On any given question, you have 2 goals:
1) Get the question correct, if possible (without spending too much time on it).
2) Do so in the most efficient way possible (since you still have to get to all of the other questions too).

"Math heavy" approaches can take some Test Takers way too long to implement, so those approaches are simply not efficient. These inefficiencies often appear as pacing "problems" - the 'math approach' CAUSES the pacing problem. For anyone who has had to rush on some questions at the end of the Quant section just to finish on time, taking the "math heavy approach" is often the likely reason.

Thankfully, the GMAT is a consistent, predictable Test, so you CAN train to score at a higher level in any of the sections (as long as you're open to learning *new* ways to do things).

GMAT assassins aren't born, they're made,
Rich
User avatar
Bunuel
User avatar
Math Expert
Joined: 02 Sep 2009
Last visit: 01 May 2026
Posts: 109,994
Own Kudos:
Given Kudos: 105,972
Products:
Expert
Expert reply
Active GMAT Club Expert! Tag them with @ followed by their username for a faster response.
Posts: 109,994
Kudos: 812,274
Kudos
Add Kudos
Bookmarks
Bookmark this Post
Bunuel

In the diagram above, BF is an altitude drawn to the base AC, and AC is the side of square ACDE. If BF = h, and the area of triangle ABC equals Q, find the area of the square (shaded) in terms of h and Q.

A. hQ
B. q/h
C. 2*(Q/h)^2
D. 4*(Q/h)^2
E. 1/4*(Q/h)^2


Kudos for a correct solution.

MAGOOSH OFFICIAL SOLUTION

Algebraic Solution: Let s be the side of the square, which means it is also the base of the triangle. We know that the area Q must equal one half times base s times height h.
Q = (1/2)sh
Solve this for s.
2Q = sh
s = 2Q/h

Now, square this to get the area of the square:

A = s^2 = 4(Q/h)^2

Answer = (D)

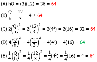
Numerical Solution: Let’s say that h = 3, and that the side of the square is 8. (Notice, I picked these so neither was a factor of the other, and I made one even so the area of the triangle Q would be a whole number.) Then the area of the triangle is Q = (0.5)(3)(8) = 12, and the area of the square is 64. Therefore, we should plug in h = 3 and Q = 12, and get an output of 64.
Attachment:
gpp-vitac_img16.png
gpp-vitac_img16.png [ 10.01 KiB | Viewed 6083 times ]
This choice of numbers eliminated four answers and leaves only one, so (D) must be the answer.

- See more at: https://magoosh.com/gmat/2014/gmat-pract ... Kxwxm.dpuf
User avatar
bumpbot
User avatar
Non-Human User
Joined: 09 Sep 2013
Last visit: 04 Jan 2021
Posts: 39,018
Own Kudos:
Posts: 39,018
Kudos: 1,122
Kudos
Add Kudos
Bookmarks
Bookmark this Post
Automated notice from GMAT Club BumpBot:

A member just gave Kudos to this thread, showing it’s still useful. I’ve bumped it to the top so more people can benefit. Feel free to add your own questions or solutions.

This post was generated automatically.
Moderators:
Math Expert
109994 posts
Tuck School Moderator
852 posts