Events & Promotions
| Last visit was: 20 Nov 2025, 00:51 |
It is currently 20 Nov 2025, 00:51 |
|
|
Customized
for You
Track
Your Progress
Practice
Pays
07:30 AM PST
-08:30 AM PST
11:00 AM IST
-01:00 PM IST
11:00 AM IST
-01:00 PM IST
10:00 AM EST
-11:00 AM EST
| FROM Magoosh Blog: Work Experience for MBA Programs: How much is enough? How much is too much? |
|
When MBA admissions offices review your application, they look at a few key components: your undergraduate GPA, your GMAT score, your letters of recommendation, and your work experience. While each of these components is important, your resume and your work experience could make or break your application. Not enough work experience, and you will fall behind more established applicants; too much work experience, and admissions offices will question why you’re even applying. Both the amount and the quality of work experience for MBA programs will play an integral role in the admissions process. 1. Applying straight out of undergrad Unless you’re applying to Harvard’s 2+2 program, or another equivalent, applying straight out of your undergraduate degree is usually not a great idea. Even with a good undergrad GPA and a solid GMAT score, schools also evaluate students based off of their work experience. If you’ve shown a strong passion and dedication to a specific field throughout your summer work and your extracurricular activities, or if you have started your own successful venture (on top of great academic credentials), then you might consider applying straight out of undergrad. That being said, programs such as 2+2 incorporate future work experience into the application process, so even if you do apply to these programs, you won’t actually begin your MBA straight out of undergrad. 2. Applying with 3-5 years of work experience This is the ideal amount of work experience to have when applying to MBA programs. The average age of MBA students at top programs is 27-29 years old. This means that getting 3-4 years of work experience under your belt before applying to business school will put you in a good position. The MBA curriculum at most schools consists of a core curriculum as well as specialized classes such as finance, marketing, or entrepreneurship. This allows students to tailor their MBA degrees to their individual interests and future goals. For example, on Stanford Graduate School of Business’s website, they outline the differences between the first-year curriculum, which focuses on general principles, and the second-year curriculum, which offers a number of different electives. So, if you’re looking to remain in the same industry and move up within your organization, you can gain more in-depth knowledge into your field. Or, if you’re trying to take your past experiences and apply them in new ways through a different business lens, you can specialize in a different area. Either way, through the MBA programs, you will learn the core fundamentals of management and business. This allows students who enter business school with a strong base from their work experience to build off of their existing knowledge. They will leave MBA programs with a strong grasp on both general and specific business principles and be able to take on more leadership roles in the future. 3. Applying as an older applicant If you are applying as a more experienced or older applicant, you should make sure that you have a strong, compelling reason for why you’re applying right now. Many older applicants with more work experience may be considering an EMBA vs an MBA degree. If you’re set on applying to MBA programs, you should think about how your extensive work experience will be perceived by an admissions office. MBA degrees are a great option for people who are looking to enter a new industry or change their career path. If this is coming later on in your work experience, then great! But you need to make it clear to an admissions office why an MBA degree is essential to your future goals. Another consideration – for both inexperienced and “overly” experienced applicants – is the personal value you will get out of the degree. If you’re young, you may benefit from networking with older, more established students. You also may have a difficult time connecting due to lack of experience. Similarly, if you are an experienced applicant, your ideal networking circle may be a little more advanced. That being said, what you hope to gain from your degree varies person-by-person. Simply because you are a young applicant or an experienced business veteran, does not mean that you don’t qualify for admissions to top MBA programs. The “sweet spot” is somewhere around three to five years of work experience. But if you have a compelling reason for pursuing a degree outside of that time frame, then make that explicitly clear on your application. The post Work Experience for MBA Programs: How much is enough? How much is too much? appeared first on Magoosh GMAT Blog. |
| FROM Magoosh Blog: How Much Are GMAT Fees In India? |
![]() Paying for the GMAT when living outside the United States can be somewhat confusing, as prices are only listed in USD. Below, we’ll be taking a look at GMAT fees in India in terms of the rupee (₹). (Note that this post was written in November 2016 using an exchange rate of $1 = ₹68.2) The Minimum GMAT Fee in India At minimum, everyone taking the GMAT will have to pay $250 USD, or roughly ₹17,000, to reserve a seat at a testing center. Test centers are available in 26 cities in India. To find a testing center near you, click here. GMAT Fee Waivers If paying the registration fee is going to cause you noticeable financial pressure, you should contact the admissions department of schools you’ll be applying to. Colleges that participate in the GMAT Fee Waiver program will allow a limited number of students to take the GMAT at no cost (based on financial need). Rescheduling Fees After your initial registration, you may have to deal with some additional fees. If you discover you need to reschedule your test date, make sure you take care of it as soon as possible. As long as you reschedule more than 7 days from your original date, you’ll only need to pay ~₹3,400 ($50). However, attempting to reschedule within 7 days of your original date will cost an additional ~₹17,000 ($250). Cancellation Fees Likewise, if find you need to cancel your registration, make sure you do it as early as possible! Cancelling further than 7 days out will net you a ~₹5450 ($80) refund (not much, but it’s better than nothing!). There will be no refunds for cancellations within 7 days of the scheduled test date (ouch!). Additional Score Reports On your test day, you will be able to send your score reports to five institutions without any extra charges. If you need to request any additional score reports, expect to pay ~₹1900 ($28) per report. So if you need two additional reports, you’ll have to pay ~₹3800. Students interested in retaking the exam may want to purchase an Enhanced Score Report (ESR) for themselves, which contains detailed information about each subsection of the test. The fee for the ESR is ~₹1700 ($25). For information concerning the overall scoring trends of test takers from India, check out this blog post about GMAT scores in India. How To Pay The easiest way to pay for the GMAT is by using a credit card online. If you plan on using a debit card, please note the following potential complication (as mentioned on MBA.com) that may occur: “In India some banks will not allow the debit cards to be used on the internet unless the merchant participates in Verified by Visa or MasterCard Secure Code. This requires that the customer enter a pin number. We do not participate in this program. Please contact your bank for assistance. Some banks may be willing to issue their customers a special onetime use card or lift the pin restriction so you can use it on our web site.” As you can tell, the GMAT cost in India (and anywhere else) is definitely not cheap! Make sure you choose your initial test date wisely so that you have enough time to study as you reach for your target GMAT score. The post How Much Are GMAT Fees In India? appeared first on Magoosh GMAT Blog. |
| FROM Magoosh Blog: When Do I Get My GMAT Score Report? |
![]() Great question! The short answer is that you get most of your GMAT score right away, as soon as you are done with your test, and the rest, the whole kit-and-caboodle, about 20 days later. Before we can clarify that answer with greater detail, we need to discuss a couple other questions. What are the sections on the GMAT? As you may know, after you walk in to the Pearson testing facility and get settled at a computer, your official GMAT consists of four sections, in this order: 1) The Analytical Writing Assessment section (AWA, 30 minutes) 2) The Integrated Reasoning section (IR, 30 minutes) 3) The Quantitative Section (75 minutes) 4) The Verbal Section (75 minutes) Once you begin, you will be allowed an optional 8-minute break between #2 and #3, and another between #3 and #4. See also: Introduction to the GMAT What is contained in a GMAT score report? Basically, you get a kind of “score” for each of the four separate sections, as well as an overall GMAT score. Thus, the score report contains: 1) your AWA score (half-integers from 0 to 6), with percentile 2) your IR score (integer from 1 to 8), with percentile 3) your Quant subscore (0 – 60) with percentile 4) your Verbal subscore (0 – 60) with percentile 5) Your total GMAT Score (200 – 800), with percentile The total GMAT Score is derived from #3 and #4, from the Quant & Verbal subscores only; the AWA score and IR score have absolutely no effect on the total GMAT score. The total GMAT score is certainly the most important number here, and for some test-takers and some folks in adcom, this is the only number that matters at all. According to at least some sources, the IR section may be gaining traction as an admission tool. The AWA score is arguably the least important score on the GMAT score report. See also: Understanding Your GMAT Score Report So, you get what when? Now that we have discussed exactly what’s in the score report, when do you get each piece? First, as soon as you press “submit” for your last question on the GMAT, when you are emotionally exhausted and in a highly vulnerable state, the the computer will give you a preview of your overall GMAT score and ask you if you want to cancel your score. This is the very first time you will see the most important number. Obviously, it’s extremely important to be strategic and to have worked out in your mind well beforehand for what kind of score you would cancel the whole GMAT. If you choose to cancel your score at that moment, you don’t see anything else. You can choose to re-instate this GMAT within 60 days, to the tune of $100. Essentially, that’s a financial penalty you would pay for not thinking strategically enough and carefully enough beforehand. Let’s assume that you don’t cancel your score. After you are done with the computer, you raise your head, and some Pearson person will lead you out of the hermetically-sealed testing room. Immediately outside that door is a desk, and someone at that desk will magically hand you a print-out: your initial GMAT score report. This will have everything except the AWA score, because it takes time to grade the essay. Thus, moments after your GMAT is done, your will be holding a sheet of paper with your total GMAT score, your Quant & Verbal subscores, and your IR scores, all with percentiles. Technically, that piece of paper is unofficial for legal purposes. About 20 days later, you will receive the full GMAT score report, everything including the AWA score, either by snail mail or electronically (you will have told GMAC before the test how you want the official report mailed to you). Once you have this, you can tell GMAC to send copies to any business schools you want—of course, for a fee for each report. More about the GMAT score report The official GMAT score report, with those five numbers, is what GMAC automatically supplies to each and every GMAT taker. That information is free (i.e. included in the cost of the GMAT itself). If you want a more detailed analysis—for example if this was a first GMAT and you decide you want to analyze this one to plan strategically for a retake—then you choose to purchase the Enhanced Score Report. This data-rich document will show you your breakdowns, percentiles, and time spent in each question formats. Thus, you can see if you’re much stronger or much quicker on, say, Sentence Correction than on Critical Reasoning. Having this information might inform how you structure your studies for a retake. Summary Many of the linked articles in this blog will provide more information about these topics. If there is something about this topic that we haven’t addressed, or if you have had unusual experiences acquiring your score report, please let us know in the comments section. The post When Do I Get My GMAT Score Report? appeared first on Magoosh GMAT Blog. |
| FROM Magoosh Blog: GMAT Reading Comprehension: Strategies for the 6 Question Types |
![]() Virtually all GMAT Reading Comprehension questions fall into these 6 categories: main idea, detail, inference, out of context, logical structure, and author’s tone. Familiarizing yourself with each type of reading comprehension prompt will allow you to think more like the test-writers and root out common traps. GMAT Reading Comprehension Question Type 1: Find the Main Idea Of all the reading comprehension (RC) types, “main idea” questions are the most common. You can expect the GMAT to ask this question about almost every passage within the RC section. Identifying the main idea is the quintessential RC skill, so expect to practice it over and over again. It will help to read at a relaxed pace (2.5 minutes for a short RC passage, 3.5 for a long passage). It will help to practice taking notes. It will also help to practice repeatedly from reputable sources, like the Official GMAT Guide or the RC sections of the LSAT guides. As you study, always check the official answers each time and read the explanation, regardless of whether you got the question right or wrong. Doing this will allow you to think more like the test-writers. By practicing diligently, you’ll begin to notice how to weed out trap answers and how to select the best answer from the available options. GMAT Reading Comprehension Question Type 2: Detail Detail questions typically begin with prompts like, “The role of the second paragraph is …”, or “The author mentioned the life cycle of wombats at the end of the first paragraph in order to …” These are related to the first question type. The main idea is what informs the entire passage, or what drives the whole passage. So any detail mentioned has to support the main idea in some way. To answer a detail question, you need to first know the main idea. From there, you probably will need to go back and re-read some particular sentences to see how the specific details fit into the main idea. GMAT Reading Comprehension Question Type 3: Inference Good authors are not explicit about everything: while they say some things directly, they imply others. Inference questions test your ability to read between the lines and figure out what the author is indirectly implying. On the GMAT, be careful to stay hyper-faithful to the passage. Any correct implication is something that was not explicitly stated but must be true. In other words, an inference must be a direct logical consequence of what was written. For example, if the passage reads, “Ben has been to every country in Europe at least once”, we cannot necessarily infer that “Ben enjoys traveling” — maybe Ben hates traveling, but he is required to travel for work! By contrast, an undeniable implication is: “Ben has been to Portugal at least once.” That’s the level of logical undeniability that you should seek in inference question answer choices. GMAT Reading Comprehension Question Type 4: Out of Context There are two subcategories for this reading comprehension type. Some of these questions will present a new concept—one not discussed at all in the text—and ask you what the author would think about it. Expect these to begin with something like: “How would the author of the passage most likely respond to the assertion that…?” In order to answer these questions, you need to deduce the perspective and preferences of the author from the passage Alternatively, “out of context” questions may ask you to compare something in the passage to a hypothetical example from a completely different situation. “The compromised situation of the raccoon described in line X is most like …”, and then the correct answer could be something like “a ballerina with a broken foot.” In these questions, you are asked to abstract out all particulars, and focus on what is essential to the situation or relationship in its most rigid logical form. In both cases, however seemingly remote the focus of the question is, the correct answer should still resonate with the author’s main idea as demonstrated by the passage. GMAT Reading Comprehension Question Type 5: Logical Structure Some questions will ask about the structure of the passage as a whole: Does the author present her own new idea? Does the author contrast two ideas, evenhandedly showing the strengths and weaknesses of both? Does the author sharply criticize a particular position or perspective? Sometimes this question is phrased as: “What would be the best title for this passage?” Here, the main idea and paragraph summaries you formulate for your notes will be invaluable. Another huge help will be the “logical direction” words — “moreover”, “although”, “ironically”, “but”, etc. Always pay attention to these words as you read, notice the way they shape the paragraph, and you will start to develop an intuitive sense of the logical structure of the passages. GMAT Reading Comprehension Question Type 6: Author’s Tone This is tricky, because unlike the extreme opinions typical of nutcases in the media, all the opinions and perspectives of GMAT authors will be moderated and nuanced. An author who judges something “promising” is wildly enthusiastic about it. An author who deems something “less than satisfactory” is completely slamming it. An author who finds something “troubling” is essentially pee-in-his-pants upset about it. If vivid emotions are bright colors, then GMAT passages don’t get any more colorful than pastels. Pay attention to any words that have any emotional charge: these are the ones that will allow you to figure out the author’s tone. It’s also important to remember: the tone in the passage will avoid extremes, so the correct answers to tone questions will avoid extremes as well. If the correct answer to a tone question is “skeptical”, wrong answers could include “dismissive” or “vengeful”—words that simply are two extreme for the tenor of GMAT RC. As you read, pay special attention to word choice. Subtlety is key for mastering this reading comprehension question type. GMAT Reading Comprehension Practice Questions Editor’s Note: This post was originally published in July 2012 and has been updated for freshness, accuracy, and comprehensiveness. The post GMAT Reading Comprehension: Strategies for the 6 Question Types appeared first on Magoosh GMAT Blog. |
| FROM Magoosh Blog: How is the GMAT scored? |
![]() This is a funny question because it could be interpreted in a few rather different ways. (1) What do you receive in a GMAT score report, including the scales of the individual scores? (2) What is the mechanism by which the answers you enter on the GMAT are interpreted and scored? (3) What skills does the GMAT measure and how can you prepare for a solid performance? You may care about only one of these or all of these. These three discussions will take us in three different directions, and you can read the sections that most concern you. Understanding the GMAT Score Report A full GMAT consists of four sections. On test day, you will take: 1) The Analytical Writing Assessment section (AWA, 30 minutes) 2) The Integrated Reasoning section (IR, 30 minutes) 3) The Quantitative Section (75 minutes) 4) The Verbal Section (75 minutes) Once you begin, you will be allowed an optional 8-minute break between #2 and #3, and another between #3 and #4. We certainly recommend availing yourself of both of these optional breaks. Your score report for this GMAT will contain a kind of “score” for each of the four separate sections, as well as an overall GMAT score. Thus, the score report contains:
See also: Introduction to the GMAT Understanding Your GMAT Score Report The Scoring of the Answers You Enter on the GMAT Now, a very different set of questions surrounds how the GMAT changes the answers you enter into those various scaled scores. The first salient fact is that everything except the essay is graded immediately by the computer: as soon as you are done with your IR, your Quant, or your Verbal sections, the computer already knows your score. Thankfully, it doesn’t share any of this score information with you until you are done with your test. At the end of your exam, you will see your total GMAT score and every subscore except the essay. The essay takes longer to grade. It is graded once by a computer program (don’t ask us how this happens!) and once by a human grader. If those two are the same or close, that’s the AWA score. If the human and the computer disagree, a second human adjudicates and decides the AWA score. You will find out your AWA subscore when you receive your official GMAT score report, about 20 days after the test. The IR questions have a few unique features. The 30-minute IR section consists of 12 “questions,” but each “question” is really a computer screen, many of which have multiple questions. One such IR screen contains what I call multiple dichotomous choice questions (DMCQs). The screen with DMCQs will present some information, and then a box: each row will have a statement or question, and buttons to select in two columns. The columns may be “Yes/No,” “True/False,” or some other kind of simple binary choice, and your job will be to decide, for each statement or question, which button to select. Now, here’s the kicker about how IR is scored: there’s no partial credit on IR. If there are two or three separate tasks or separate questions on a single screen, you must get every single thing correct on the screen to get credit for that screen. See the link earlier in this paragraph for some of the strategies that this challenging condition implies. The Quant and Verbal sections share many similarities. These two are the only two sections that count in the total GMAT score. They both are 75 minutes. They both consist exclusively of 5-choice multiple-choice questions—assuming that you recognize Data Sufficiency as a modified kind of 5-choice multiple choice question! Most importantly, both the Quant and Verbal employ Computer Adaptive Testing (CAT). The CAT changes the difficulty, question by question, as you move through the section. As a rough general pattern, if you are getting questions right, the CAT gives you harder questions, and if you are struggling, the CAT will give you easier question. That’s the overall trend, although this highly complex algorithm also does sweeps through different difficulties: for example, you may get an easy question out of the blue even if you did nothing wrong. The grading for the CAT does NOT depend simply one number of questions right or wrong: instead, the score depends on the difficulty of the questions one saw. The irony is that the person who gets a 450 and the person who gets a 750 might have gotten about the same number of questions right & wrong, but the difficulties were in very different zones. The complexity of the algorithm is such it is impossible to suggest any strategy to get an advantage from it. The only meaningful strategy on the CAT is to do your best with each and every question as you see it. Once gain, CAT is employed only on the Q & V sections, not on IR and of course not on the AWA. You may be curious about how the GMAT determines the difficult of questions. In general, this is a sophisticated topic known as Item Response Theory. GMAC gathers a vast amount of information about individual questions before they ever are used as GMAT questions. As a general rule, I don’t think it’s helpful to worry too much about the “level” of an individual practice question. What Skills Are Assessed on the GMAT? Simplistically, we could say that the Quant assesses math skills; the Verbal assesses reading, argument, and grammar skills; the IR assesses graph-reading skills; and the AWA assesses writing skills. Yes, that’s the bare minimum. Of course, rhetoric and logic are as important as grammar on the SC questions. In many ways, the entire test assesses critical thinking abilities, the ability to see beyond the obvious and draw the necessary inferences from a situation. The Quant section often demands the ability to reframe problems and make creative leaps. All of the skills mentioned so far could be called intellectual or academic skills. Many students mistakenly believe that this is the only category of skills relevant for a good GMAT performance. In fact, a strong GMAT performance requires emotional balance & clarity under pressure as well as tremendous emotional resilience. A rigorous practice of stress-management skills can be a tremendous aid. Arguably, the effective skill of genuine curiosity can be a particular help on the RC questions. Paradoxically, one emotional skill that can help tremendously in reaching the goal is non-attachment to reaching the goal! Summary This blog discussed several different perspectives on “how is the GMAT scored?” The linked blogs will provide a detailed understand of many aspects of the GMAT. If you have more questions about how the GMAT is scored, please let us know in the comment sections. The post How is the GMAT scored? appeared first on Magoosh GMAT Blog. |
| FROM Magoosh Blog: GMAT Verbal for Non-Native English Speakers |
![]() The GMAT is a tough exam, even for those who have been speaking English their entire lives. Another degree of difficulty is added for those who are non-native English speakers. Here at Magoosh, we’re proud to have helped a number of students from around the world who speak English as a second a language. There’s no denying that this endeavor is challenging, but below we’ll be sharing a few study habits to help unlock the GMAT verbal section for non-native English speakers. The Single Most Important Practice for Non-Native English Speakers Above all else, the one thing you can do to improve your verbal performance on the GMAT is to read English as much as possible. Reading will not only boost your knowledge of vocabulary, but also your sense of comprehension—your ability to digest meaning and intent on the author’s part. This is a crucial skill for the GMAT verbal section’s critical reasoning questions. But don’t just read anything: it’s important to read higher-level materials similar to what you’ll see come test day. This includes venerated publications like The New York Times, The New Yorker, The Economist, and Arts & Letters Daily. Take a look out our full list of recommended periodicals. Or if you prefer books, check out our recommended fiction & non-fiction (this list is written for the GRE, but all of the picks would suit the GMAT as well). At minimum, you should be reading for at least 30 minutes a day. And ideally, 1 hour a day if you have the available time. Learn to Read ‘Actively’ To master the GMAT verbal section, you need to ‘trick’ your brain into being alert and attentive at all times. In other words, you need to make it a priority to read actively. Many students make the mistake of trying to rush through passages, in the hopes that they can spend more time focusing on the questions. In the end, this approach only eats up more time, as you’ll find yourself frequently returning to the passage to fish out details you can no longer remember. So keep calm, slow down, and make it your goal to read the entire passage with determination and poise. Familiarize Yourself with Idioms As you read, strive to understand the nuances and figurative connotations of the English language—something that can be particularly difficult for non-native English speakers. Fortunately, we have a couple of free resources to aid you on this journey. For study on-the-go, give our Idiom Flashcards a try. These decks cover 160 of the most common idioms you’ll encounter on the GMAT. And for a more methodical look at idioms, check out our GMAT Idioms eBook. This free eBook examines hundreds of idioms broken down into 27 different categories. And when hitting the books becomes tedious, you can perform some more leisurely study by consuming English media like films, TV shows, and podcasts. The resources are often rife with idioms and other important colloquialisms. As you encounter new idioms, be sure to look up their meaning by using a resource like The Free Dictionary’s idiom database. Don’t Be Afraid to Ask Questions It will be difficult to catch up with native speakers on an exam like the GMAT. Part of bridging this gap is to ask for help when you get stuck. Magoosh offers a ‘Help’ button on the corner of every screen for Premium members, and we’re happy to answer any questions regarding our materials. We’ve helped thousands of non-native speakers with concepts as simple as defining words/idioms, to topics as advanced as digesting an author’s implied arguments on the critical reasoning section—so sign up today! The post GMAT Verbal for Non-Native English Speakers appeared first on Magoosh GMAT Blog. |
| FROM Magoosh Blog: Special Offer: FREE Stacy Blackman MBA Prep Guides |
![]() It’s 2017. You have 12 new chapters and 360 fresh chances ahead of you. The year is yours…to squander or to make the most of. If you see business school in your future, let 2017 be the year you make it happen. Our friends at Stacy Blackman Consulting, want to help you reach your most ambitious professional goals by giving you access to their entire library of online MBA prep guides, valued at over $470, for FREE, for the first 500 downloads. Simply visit the SBC store, add All Guides Bundle to your cart, and use promo code BEST2017, by the end of January 2017. Wishing you a happy and successful 2017. Let’s do this! The post Special Offer: FREE Stacy Blackman MBA Prep Guides appeared first on Magoosh GMAT Blog. |
| FROM Magoosh Blog: Timing is Everything: The Ideal Time to Apply to Business School |
|
Congratulations! You’ve decided that you want to pursue your MBA. Staying organized and on schedule are the keys to having everything in place before the application deadlines approach. But how do you know what to do and when to do it? Now is the time to get started! There is still a lot you can do between now and next year’s Round 1 deadlines to improve your chances of admission to b-school. By preparing now you’ll be able to apply to more programs earlier and change your Round 2 strategy if necessary. Also, when you apply early there are more seats and financial aid available. However, your application has to be of the highest quality whenever you apply, so don’t rush! Here’s what you should be doing now to assure that you have the best possible app at the earliest possible date. 1. Start your GMAT prep. If you haven’t already taken the GMAT, this is the time to prep and take the test, preferably in the spring. Choosing schools without knowing your score leads to unnecessary stress. Taking the test early will give you time to evaluate your score and see if it’s in the range needed for the schools you want to get into. If not, you will still have time to retake the test, reevaluate your target schools, or both. Taking the GMAT early will allow you to focus on the rest of the application process. 2. Do your school research. Now is the best time to visit schools – when classes are in session. You’ll get to see the professors and students in action and get a feel for the campus. This will help determine your fit with each school. A school may be perfect for you on paper, but if you don’t hit that “fit” factor, then it’s not the best match. During this research phase, you’ll also want to make sure that you’re competitive at the program and that it supports your goals. 3. Check your academic record. Review your record to look for potential weaknesses. Now is the time to take appropriate classes – and ACE them! This will show the adcom that you are able to excel academically. 4. Think about your recommenders. If you don’t know who to ask, now is the time to consider your various options and possibly raise the subject with people who can write you a strong recommendation. Be sure they see you in positive situations to ensure an amazing letter. 5. Pay attention to leadership. Whether or not you have a formal leadership role in school or work, you can always find ways to become an informal leader. The more the better – you can never have too much leadership in an MBA app. If there’s not enough space to write about it in your essays, be sure to include it in your resume. 6. Think about your goals. What can you say about your goals – your planned industry, company function – that is interesting? Now is the time to read books, journals, and company reports. Talk to people. In less than 10 minutes, with good questions, you can get informative, instructive information that will make your essay stand out from the others. 7. Finalize your resume. Now is the time to get 95% of your resume done. You can adjust it for new developments along the way. It’s good to have this ready if you have the opportunity to visit a school or meet with an adcom member earlier than you’d planned. Need more help determining where you are, where you’re going and how to stay on track? Download our free guide, MBA Action Plan: 6 Steps for the 6 Months Before You Apply. The post Timing is Everything: The Ideal Time to Apply to Business School appeared first on Magoosh GMAT Blog. |
| FROM Magoosh Blog: How Hard is the GMAT? |
Great question! Let’s establish some general parameters for this. If you imagine how hard it would be to put a giant squid into a half-Nelson or to climb the Matterhorn wearing rollerblades, well, then the GMAT is considerably easier than either of those. If you imagine how hard it is to tie your shoes or how hard it is to eat ice cream, well, then the GMAT is harder than those. OK, OK, I am being a little facetious, but in point of fact, large part of the answer to “How hard is the GMAT?” is the frustratingly ambiguous statement “It depends …” Let me explain.![]() The GMAT as a challenge, not an obstacle Yes, the GMAT is challenging. It’s supposed to be challenging. It’s supposed to be hard. In mythology, the hero, at the outset of her journey, encounters the “Guardian of the Threshold,” the initial challenge she must face in order to undertake her adventure—what the Tusken Raiders were to Luke Skywalker, or what the first Nazguls were to Frodo & friends at the Prancing Pony. This is precisely what the GMAT is for anyone keen to undertake the adventure of earning an MBA and pursuing a career in the business world. In any context, part of the role of the Guardian of the Threshold is to separate the daring from the lily-livered, the bold & adventurous from those who would prefer to be sheepish followers. The GMAT is hard—in preparing for it and taking it, you will take risks, experience pressure, and feel yourself stretched. If you are the sort of person who doesn’t like risks, doesn’t like pressure, and doesn’t like to feel stretched, then it’s an excellent question why you are pursuing an MBA and a career in management in the first place! The physical & logistical demands Simply in terms of showing up and taking the test, the GMAT is hard. From the moment you walk into the testing center and they relieve you of any indication of your individuality, until you finally emerge, it will be, at minimum, a little over four hours–four long difficult hours. Just to maintain concentration and focus during this, you need to be in good physical shape, well-rested, and well-nourished. I would recommend no alcohol for the week leading up to your GMAT. I would recommend not just one, but three or four consecutive nights of 8+ hours of sleep. I would recommend lots of water, healthy snacks, and some stretching on the breaks. During my own GMAT experience, I found myself running out of gas by the end of the test—this may have something to do with the fact that I am old enough to remember Nixon‘s Presidency! If you remember no Presidents before Clinton, then your youthful vigor will certain help you, but even then, do not underestimate the GMAT’s difficulty — both mentally and physically. How difficult is it to get a good GMAT score? In many ways, this is really the question people are asking when they ask, “how hard is the GMAT?” Sure, any slob can waltz into the GMAT exam with no preparation, do shoddy work, and get an abysmal score without much effort. The GMAT is relatively easy if you simply don’t care how you do. But what if you do care? Then how hard is the GMAT? To answer that question, it helps to know how others score. Only 23% of GMAT takers score over 650, and only 10% cross that magical 700 threshold. Something above 700 is generally what folks have in mind when they consider a “good” GMAT score. The average score on the GMAT (the numerical mean of everyone who takes the test) is 547. That score won’t turn any heads for you. How hard is it to get a GMAT score of a higher caliber? Well, this is the “it depends …” part. If you regularly score in the 99th percentile of standardized tests, then getting over a 700 on the GMAT shouldn’t be too difficult with moderate preparation. If you regularly flub standardized tests, then acing the GMAT will be that much more difficult. If you remember the percentile of any previous standardized test, the percentile of your SAT score for example, then imagine you score at the same percentile on the GMAT—you can use this official chart to gauge what an equivalent score on the GMAT might be. You could also take the Magoosh GMAT Diagnostic Test, to give yourself a rough idea of your starting point. Whatever you score cold, on a dry run before any preparation—assume it will not hard to score this much after preparation on the real test. The question is: how do you improve your score? How hard is it to improve your score? Pushing yourself beyond what you already have achieved, pushing yourself toward your own excellence—this is always hard. Improving on the GMAT takes focus, responsibility, dedication, determination, and commitment. Again, if these are qualities you don’t like to exercise, then the whole idea of management in the modern business world might not be for you. If you are ready to do the hard work of improving, then avail yourself of the best GMAT resources. How much you will improve depends very much on how disciplined and how thorough you are willing to be in your preparation. Many folks dream about a spectacular performance, but do only moderate preparation. Remember the Great Law of Mediocrity: if you do only what most people do, you will get only what most people get. If you want to stand out, you have to take outstanding action. If you are willing to do outstanding work in your preparation for the GMAT, that’s very hard, but with good material, the results will really pay off. So, how hard is the GMAT? Hard and not so hard. An ordinary soldier fears his enemy, but a samurai in kensho would experience no separation between self & other, friend & enemy, life & death. While that mindset might seem somewhat extreme, consider that what’s hard about the GMAT—the intellectual challenges, the time pressure, etc.—is not too different from what’s hard about being a manager charged with important decisions in the business world: in other word, what’s “hard” about the GMAT is, in many respects, the same as what’s “hard” about the life & career you are choosing for yourself by pursuing an MBA. If you pursue this life, that level of difficulty and challenge will become, as it were, your “new normal”—get used to this “new normal” now, and what’s had appeared “hard” about the GMAT will be simply normal. When you routinely expect challenge as a matter of course, nothing is “hard.” That perspective is exactly what I would wish for you as you prepare for the GMAT! The post How Hard is the GMAT? appeared first on Magoosh GMAT Blog. |
| FROM Magoosh Blog: How Much Does the GMAT Cost? |
![]() Getting into and going to graduate school is costly, and the GMAT cost is an added expense. The fee is a hefty one and is more expensive than many similar standardized exams (except the MCAT…). Further, the actual GMAT cost is not the only budget item you have to consider. Most students purchase some sort of practice materials, and a few students even take the exam more than once. Added together, there’s no question that taking the GMAT will hurt your wallet. Actual GMAT Cost is $250 — globally No matter what country you live in, the base cost of the GMAT is the same — $250. Depending on your country, you may also need to pay some taxes on top of this price, though. Paying this $250 fee entitles you to one sitting of the GMAT. Note, however, that if you choose to pay by phone you will be charged an additional $10. So, if you have easy access to the internet, register online! Rescheduling Fees The $250 base fee gives you one administration of the exam. GMAC, however, will add to your GMAT cost if you choose to do something like reschedule your exam. A rescheduling costs $50 if you reschedule your exam more than 7 days before your scheduled test. You can also get a refund of $80 (from your initial $250). If you decide to reschedule at the very last minute, you’re out of luck. You’ll be charged another full $250. You also will not be entitled to a refund of your initial payment. That makes your GMAT cost essentially double — $500 for one sitting. You cannot reschedule within 24 hours. Your account history will instead register a “no-show.” Note that this will not be sent to schools in your score report, however. Score Reports and Cancellations Besides rescheduling fees, GMAC also charges for score reports. On test day, you are given five (5) free score reports. Any more will cost you $28 each. Finally, if you cancel your scores and then later decide you want to un-cancel them, you’ll be charged a $50 reinstatement fee. GMAT Prep Materials While most of the GMAT cost comes from GMAC directly, you’ll also want to buy some prep materials! Keep in mind that the range on these materials is enormous. A full, in-person course will run you thousands of dollars. Something more self-guided, like a book or online test prep (Magoosh!) could cost you less than $150. You can see some of our Magoosh plans here. There are even some free resources (and they’re high-quality!): [*]GMATPrep Software from GMAC[/*] [*]Advice from Online Forums[/*] Graduate School Itself is Costly Always remember to put your GMAT cost in perspective. The whole point of taking the GMAT is to get into graduate school, after all. And that’s very expensive! Since graduate school itself will be pricey, you might want to consider this when budgeting in your GMAT cost. If you’re concerned about expenses, you might consider planning to avoid a rescheduling fee or a retake. You might also be prepared to send in your score reports to maximize your five free ones. Any fee you can avoid will help! The post How Much Does the GMAT Cost? appeared first on Magoosh GMAT Blog. |
| FROM Magoosh Blog: GMAT Test Dates | 2016, 2017, 2018 and Beyond! |
![]() If you are planning to apply to full-time MBA programs next year to start classes in the next 12-18 months, this is the perfect time to start preparing for your GMAT test date. Even if you aren’t planning to apply for another few years, it’s not too early to take the test! GMAT scores are valid for five years so the sooner you can get this test out of the way, the more time you will have to focus on other aspects of your application, and the less stressed out you will be when deadlines start rolling around. These timelines will help guide you as you start planning your preparation calendar for the next year. These timelines are based on the most common deadlines for rounds of applications at top MBA programs. Most top schools set MBA application deadlines three times a year, in three rounds. Check with specific schools for exact deadlines for Round 1, Round 2, and Round 3. And check out this article for help figuring out which round you should apply in. MBA Applications Round 1 December - FebruaryMarchApril - MayJuneJuly - AugustSeptember - October StudyTake GMATStudyRetake GMATEssays, etc...Round 1 due MBA Applications Round 2 March - MayJuneJuly - AugustSeptemberOctober-NovemberDecember - January StudyTake GMATStudyRetake GMATEssays, etc...Round 2 due MBA Applications Round 3 June - AugustSeptemberOctober - NovemberDecemberJanuary - FebruaryMarch - April StudyTake GMATStudyRetake GMATEssays, etc...Round 3 due When do I need to register for a GMAT test date? You can register to the test anywhere between six months to 24 hours in advance of your GMAT test date (or GMAT test dates if you are retaking the test; remember you need to allow for a 31-day window between test days!). Unlike the SAT, the GMAT is offered on an ongoing basis, but if you wait too late to register, spots may fill up and you may not get the dates/times you prefer. When should I plan on taking the GMAT? Assuming…
How long do I need to study for a GMAT exam date? The amount of time you’ll need to study will depend on your strengths and weaknesses, but according to a GMAC survey in 2014, students who scored 700+ prepared for an average of 121 hours. Factoring in your full-time job and real life, this gives you about 3 months of study time. We have super-detailed study schedules that I would highly recommend you take a look at to help you plan for your GMAT date. The post GMAT Test Dates | 2016, 2017, 2018 and Beyond! appeared first on Magoosh GMAT Blog. |
| FROM Magoosh Blog: Challenging GMAT Math Practice Questions |
|
Here are fifteen challenging questions for GMAT math practice, with explanations below. Can you keep the GMAT Quant pace, doing these in under 90 seconds each? As always, no calculator! 1) Let abcd be a general four-digit number and all the digits are non-zero. How many four-digits numbers abcd exist such that the four digits are all distinct and such that a + b + c = d? (A) 6 (B) 7 (C) 24 (D) 36 (E) 42 2) Let abcd be a general four-digit number. How many odd four-digits numbers abcd exist such that the four digits are all distinct, no digit is zero, and the product of a and b is the two digit number cd? (A) 4 (B) 6 (C) 12 (D) 24 (E) 36 3) There are 500 cars on a sales lot, all of which have either two doors or four doors. There are 165 two-door cars on the lot. There are 120 four-door cars that have a back-up camera. Eighteen percent of all the cars with back-up cameras have standard transmission. If 40% of all the cars with both back-up cameras and standard transmission are two-door cars, how many four-door cars have both back-up cameras and standard transmission? (A) 18 (B) 27 (C) 36 (D) 45 (E) 54 4) At Mnemosyne Middle School, there are 700 students: all the students are boys or girls in the 4th or 5th grade. There are 320 students in the 4th grade, and there are 210 girls in the 5th grade. Fifty percent of the 5th graders and 40% of the 4th graders take Mandarin Chinese. Ninety 5th grade boys do not take Mandarin Chinese. The number of 4th grade girls taking Mandarin Chinese is less than half of the number of 5th grade girls taking Mandarin Chinese. Which of the following could be the number of 5th grade boys in Mandarin Chinese? (A) 10 (B) 40 (C) 70 (D) 100 (E) 130 5) A hundred identical cubic boxes are currently arranged in four cubes: a single cubic box, a 2 x 2 x 2 cube, a 3 x 3 x 3 cube, and a 4 x 4 x 4 cube. These four are not touching each other. All outward faces are painted and all inward faces are not painted. These four cubes are going to be dismantled and reassembled as a flat 10 x 10 square. The top and all the edges of this 10 x 10 square must be painted, but there is no requirement for paint on the bottom. How many individual faces will have to be painted to accommodate the requirements of this new design? (A) 0 (B) 5 (C) 9 (D) 16 (E) 27 6) Twelve points are spaced evenly around a circle, lettered from A to L. Let N be the total number of isosceles triangles, including equilateral triangles, that can be constructed from three of these points. A different orientation of the same lengths counts as a different triangle, because a different combination of points form the vertices. What is the value of N? (A) 48 (B) 52 (C) 60 (D) 72 (E) 120 7) Theresa is a basketball player practicing her free throws. On her first free throw, she has a 60% chance of making the basket. If she has just made a basket on her previous throw, she has a 80% of making the next basket. If she has just failed to make a basket on her previous throw, she has a 40% of making the next basket. What is the probability that, in five throws, she will make at least four baskets? ![]() 8) Suppose a “Secret Pair” number is a four-digit number in which two adjacent digits are equal and the other two digits are not equal to either one of that pair or each other. For example, 2209 and 1600 are “Secret Pair” numbers, but 1333 or 2552 are not. How many “Secret Pair” numbers are there? (A) 720 (B) 1440 (C) 1800 (D) 1948 (E) 2160 9) In the coordinate plane, a circle with its center on the negative x-axis has a radius of 12 units, and passes through (0, 6) and (0, – 6). What is the area of the part of this circle in the first quadrant? ![]() 10) In the coordinate plane, line L passes above the points (50, 70) and (100, 89) but below the point (80, 84). Which of the following could be the slope of line L? (A) 0 (B) 1/2 (C) 1/4 (D) 2/5 (E) 6/7 11) At the beginning of the year, an item had a price of A. At the end of January, the price was increased by 60%. At the end of February, the new price was decreased by 60%. At the end of March, the new price was increased by 60%. At the end of April, the new price was decreased by 60%. On May 1st, the final price was approximately what percent of A? (A) 41% (B) 64% (C) 100% (D) 136% (E) 159% 12) Suppose that, at current exchange rates, $1 (US) is equivalent to Q euros, and 1 euro is equivalent to 7Q Chinese Yuan. Suppose that K kilograms of Chinese steel, worth F Chinese Yuan per kilogram, sold to a German company that paid in euros, can be fashioned into N metal frames for chairs. These then are sold to an American company, where plastic seats & backs will be affixed to these frames. If the German company made a total net profit of P euros on this entire transaction, how much did the US company pay in dollars for each frame? ![]() 13) At the Zamenhof Language School, at least 70% of the students take English each year, at least 40% take German each year, and between 30% and 60% take Italian each year. Every student must take at least one of these three languages, and no student is allowed to take more than two languages in the same year. What is the possible percentage range for students taking both English and German in the same year? (A) 0% to 70% (B) 0% to 100% (C) 10% to 70% (D) 10% to 100% (E) 40% to 70% 14) On any given day, the probability that Bob will have breakfast is more than 0.6. The probability that Bob will have breakfast and will have a sandwich for lunch is less than 0.5. The probability that Bob will have breakfast or will have a sandwich for lunch equals 0.7. Let P = the probability that, on any given day, Bob will have a sandwich for lunch. If all the statements are true, what possible range can be established for P? (A) 0 < P < 0.6 (B) 0 ≤ P < 0.6 (C) 0 ≤ P ≤ 0.6 (D) 0 < P < 0.7 (E) 0 ≤ P < 0.7 ![]() (A) – 64 (B) – 7 (C) 38 (D) 88 (E) 128 Explanations for this problem are at the end of this article. More Practice Here are twenty-eight other articles on this blog with free GMAT Quant practice questions. Some have easy questions, some have medium, and few have quite challenging questions. 1) GMAT Geometry: Is It a Square? 2) GMAT Shortcut: Adding to the Numerator and Denominator 3) GMAT Quant: Difficult Units Digits Questions 4) GMAT Quant: Coordinate Geometry Practice Questions 5) GMAT Data Sufficiency Practice Questions on Probability 6) GMAT Quant: Practice Problems with Percents 7) GMAT Quant: Arithmetic with Inequalities 8) Difficult GMAT Counting Problems 9) Difficult Numerical Reasoning Questions 10) Challenging Coordinate Geometry Practice Questions 11) GMAT Geometry Practice Problems 12) GMAT Practice Questions with Fractions and Decimals 13) Practice Problems on Powers and Roots 14) GMAT Practice Word Problems 15) GMAT Practice Problems: Sets 16) GMAT Practice Problems: Sequences 17) GMAT Practice Problems on Motion 18) Challenging GMAT Problems with Exponents and Roots 19) GMAT Practice Problems on Coordinate Geometry 20) GMAT Practice Problems: Similar Geometry Figures 20) GMAT Practice Problems: Variables in the Answer Choices 21) Counting Practice Problems for the GMAT 22) GMAT Math: Weighted Averages 23) GMAT Data Sufficiency: More Practice Questions 24) Intro to GMAT Word Problems, Part I 25) GMAT Data Sufficiency Geometry Practice Questions 26) GMAT Data Sufficiency Logic: Tautological Questions 27) GMAT Quant: Rates and Ratios 28) Absolute Value Inequalities Summary These are hard problems. When you read the solutions, don’t merely read them passively. Study the strategies used, and do what you can to retain them. Learn from your mistakes! ![]() Practice Problem Explanations 1) We need sets of three distinct integers {a, b, c} that have a sum of one-digit number d. There are seven possibilities:
2) The fact that abcd is odd means that cd must be an odd number and that a & b both must be odd. That limits the choices significantly. We know that neither a nor b can equal 1, because any single digit number times 1 is another single digit number, and we need a two-digit product—there are no zeros in abcd. We also know that neither a nor b can equal 5, because any odd multiple of 5 ends in 5, and we would have a repeated digit: the requirement is that all four digits be distinct. Therefore, for possible values for a & b, we are limited to three odd digits {3, 7, 9}. We can take three different pairs, and in each pair, we can swap the order of a & b. Possibilities:
Answer = (B) 3) Total number of cars = 500 2D cars total = 165, so 4D cars total = 335 120 4D cars have BUC “Eighteen percent of all the cars with back-up cameras have standard transmission.” 18% = 18/100 = 9/50 This means that the number of cars with BUC must be a multiple of 50. How many 2D cars can we add to 120 4D cars to get a multiple of 50? We could add 30, or 80, or 130, but after that, we would run out of 2D cars. These leaves three possibilities for the total number with BUC: If a total of 150 have BUC, then 18% or 27 of them also have ST. If a total of 200 have BUC, then 18% or 36 of them also have ST. If a total of 250 have BUC, then 18% or 45 of them also have ST. Then we are told: “40% of all the cars with both back-up cameras and standard transmission are two-door car.” 40% = 40/100 = 2/5 This means that number of cars with both back-up cameras and standard transmission must be divisible by 5. Of the three possibilities we have, only the third words. Total cars with BUC cams = 250 (120 with 4D and 130 with 2D) 18% or 45 of these also have ST. 40% of that is 18, the number of 2D cars with both BUC and ST. Thus, the number of 4D cars with both BUC and ST would be 45 – 18 = 27 Answer = (B) 4) 700 student total 4G = total number of fourth graders 5G = total number of fifth graders We are told 4G = 320, so 5G = 700 – 320 = 380 5GM, 5GF = fifth grade boys and girls, respectively We are told 5GF = 210, so 5GM = 380 – 210 = 170 4GC, 5GC = total number of 4th or 5th graders, respectively taking Chinese We are told 5GC = 0.5(5G) = 0.5(380) = 190 4GC = 0.4(4G) = 0.4(320) = 128 4GFM, 4GMC, 5GFC, 5GMC = 4th/5th grade boys & girls taking Chinese We are told that, of the 170 fifth grade boys, 90 do not take Chinese, so 170 = 90 = 80 do. Thus 5GMC = 80. 5GMC + 5GFC = 5GC 80 + 5GFC = 190 5GFC = 110 We are told: 4GFM < (0.5)(5GFC) 4GFM < (0.5)(100) 4GFM < 55 Thus, 4GFM could be as low as zero or as high as 54. 4GMC = 4GC – 4GFM If 4GFM = 0, then 4GMC = 128 – 0 = 128 If 4GFM = 54, then 4GMC = 128 – 54 = 74 Thus, fourth grade boys taking Mandarin Chinese could take on any value N, such that 74 ≤ N ≤ 128. Of the answer choices listed, the only one that works is 100. Answer = (D) 5) The single cube has paint on all six sides. Each of the eight boxes in the 2 x 2 x 2 cube has paint on three sides (8 corner pieces). In the 3 x 3 x 3 cube, there are 8 corner pieces, 12 edge pieces (paint on two sides), 6 face pieces (paint on one side), and one interior piece (no paint). In the 4 x 4 x 4 cube, there are 8 corner pieces, 24 edge pieces, 24 face pieces, and 8 interior pieces. This chart summarizes what we have: ![]() For the 10 x 10 flat square, we will need 4 corner pieces that have paint on three sides, 32 edge pieces that have paint on two sides (top & side), and 64 middle pieces that have paint on one side (the top). We could use either the single total box or any of the 24 corner boxes for the four corners of the square. That leaves 21 of these, and 35 edge boxes, more than enough to cover the 32 edges of the square. The remaining ones, as well as all 30 face boxes, can be turned paint-side-up to fill in the center. The only boxes that will need to be painted, one side each, are the 9 interior boxes. Thus, we have 9 sides to paint. Answer = (C) 6) Here’s a diagram. ![]() First, let’s count the equilateral triangles. They are {AEI, BFJ, CGK, DHL}. There are only four of them. Now, consider all possible isosceles triangles, excluding equilateral triangles, with point A as the vertex. We could have BAL, CAK, DAJ, and FAH. All four of those have a line of symmetry that is vertical (through A and G). Thus, we could make those same four triangles with any other point as the vertex, and we would never repeat the same triangle in the same orientation. That’s 4*12 = 48 of these triangles, plus the 4 equilaterals, is 52 total triangles. Answer = (B) 7) There are five basic scenarios for this: Case I: (make)(make)(make)(make)(any) If she makes the first four, then it doesn’t matter if she makes or misses the fifth! Case II: (miss)(make)(make)(make)(make) Case III: (make)(miss)(make)(make)(make) Case IV: (make)(make)(miss)(make)(make) Case V: (make)(make)(make)(miss)(make) Put in the probabilities: Case I: (0.6)(0.8)(0.8)(0.8) Case II: (0.4)(0.4)(0.8)(0.8)(0.8) Case III: (0.6)(0.2)(0.4)(0.8)(0.8) Case IV: (0.6)(0.8)(0.2)(0.4)(0.8) Case V: (0.6)(0.8)(0.8)(0.2)(0.4) Since all the answers are fractions, change all of those to fractions. Multiply the first by (5/5) so it has the same denominator as the other products. Case I: (3/5)(4/5)(4/5)(4/5)(5/5) = 960/5^5 Case II: (2/5)(2/5)(4/5)(4/5)(4/5) = 256/5^5 Case III: (3/5)(1/5)(2/5)(4/5)(4/5) = 96/5^5 Case IV: (3/5)(4/5)(1/5)(2/5)(4/5) = 96/5^5 Case V: (3/5)(4/5)(4/5)(1/5)(2/5) = 96/5^5 Add the numerators. Since 96 = 100 – 4, 3*96 = 3(100 – 4) = 300 – 12 = 288. 288 + 256 + 960 = 1504 P = 1504/5^5 Answer = (E) 8) There are three cases: AABC, ABBC, and ABCC. In case I, AABC, there are nine choices for A (because A can’t be zero), then 9 for B, then 8 for C. 9*9*8 = 81*8 = 648. In case II, ABBC, there are 9 choices for A, 9 for B, and 8 for C. Again, 648. In case III, ABCC, there are 9 choices for A, 9 for B, and 8 for C. Again, 648. 48*3 = (50 – 2)*3 = 150 – 6 = 144 3*648 = 3(600 + 48) = 1800 + 144 = 1948 Answer = (D) 9) ![]() We know that the distance from A (0,6) to B (0, – 6) is 12, so triangle ABO is equilateral. This means that angle AOB is 60°. The entire circle has an area of ![]() A 60° angle is 1/6 of the circle, so the area of sector AOB (the “slice of pizza” shape) is ![]() The area of an equilateral triangle with side s is ![]() Equilateral triangle AOB has s = 12, so the area is ![]() If we subtract the equilateral triangle from the sector, we get everything to the right of the x-axis. ![]() Again, that’s everything to the right of the x-axis, the parts of the circle that lie in Quadrants I & IV. We just want the part in Quadrant I, which would be exactly half of this. ![]() Answer = (C) 10) One point is (50, 70) and one is (100, 89): the line has to pass above both of those. Well, round the second up to (100, 90)—if the line goes above (100, 90), then it definitely goes about (100, 89)! What is the slope from (50, 70) to (100, 90)? Well, the rise is 90 – 70 = 20, and the run is 100 – 50 = 50, so the slope is rise/run = 20/50 = 2/5. A line with a slope of 2/5 could pass just above these points. Now, what about the third point? For the sake of argument, let’s say that the line has a slope of 2/5 and goes through the point (50, 71), so it will pass above both of the first two points. Now, move over 5, up 2: it would go through (55, 73), then (60, 75), then (65, 77), then (70, 79), then (75, 81), then (80, 83). This means it would pass under the third point, (80, 84). A slope of 2/5 works for all three points. We don’t have to do all the calculations, but none of the other slope values works. Answer = (D) 11) The trap answer is 100%: a percent increase and percent decrease by the same percent do not cancel out. Let’s say that the A = $100 at the beginning of the year. End of January, 60% increase. New price = $160 End of February, 60% decrease: that’s a decrease of 60% of $160, so that only 40% of $160 is left. 10% of $160 = $16 40% of $160 = 4(16) = $64 That’s the price at the end of February. End of March, a 60% increase: that’s a increase of 60% of $64. 10% of $64 = $6.40 60% of $64 = 6(6 + .40) = 36 + 2.4 = $38.40 Add that to the starting amount, $64: New price = $64 + $38.40 = $102.40 End of April, 60% decrease: that’s a decrease of 60% of $102.40, so that only 40% of $102.40 is left. At this point, we are going to approximate a bit. Approximate $102.40 as $100, so 40% of that would be $40. The final price will be slightly more than $40. Well, what is slightly more than $40, as a percent of the beginning of the year price of $100? That would be slightly more than 40%. Answer = (A) 12) The K kilograms, worth F Chinese Yuan per kilogram, are worth a total of KF Chinese Yuan. The German company must pay this amount. Since 1 euro = (7Q) Chinese Yuan, then (1/(7Q)) euro = 1 Chinese Yuan, and (KF/7Q) euros = KF Chinese Yuan. That’s the amount that the Germans pay to the Chinese. ![]() That is the German company’s outlay, in euros. Now, they make N metal chairs, and sell them, making a gross profit of P euros. ![]() That must be the total revenue of the German company, in euros. This comes from the sale to the American company. Since $1 = Q euros, $(1/Q) = 1 euro, so we change that entire revenue expression to euros to dollars, we divide all terms by Q. ![]() That must be the total dollar amount that leaves the American company and goes to the German company. This comes from the sale of N metal frames for chairs, so each one must have been 1/N of that amount. ![]() Answer = (A) 13) First, we will focus on the least, the lowest value. Suppose the minimum of 70% take English, and the minimum of 40% take German. Even if all 30% of the people not taking English take German, that still leaves another 10% of people taking German who also have to be taking English. Thus, 10% is the minimum of this region. Now, the maximum. Both the German and English percents are “at least” percents, so either could be cranked up to 100%. The trouble is, though, that both can’t be 100%, because some folks have to take Italian, and nobody can take three languages at once. The minimum taking Italian is 30%. Let’s assume all 100% take German, and that everyone not taking Italian is taking English: that’s 70% taking English, all of whom also would be taking German. Thus, 70% is the maximum of this region. Answer = (C) 14) Let A = Bob eats breakfast, and B = Bob has a sandwich for lunch. The problem tells us that: P(A) > 0.6 P(A and B) < 0.5 P(A or B) = 0.7 First, let’s establish the minimum value. If Bob never has a sandwich for lunch, P(B) = 0, then it could be that P(A and B) = 0, which is less than 0.5, and it could be that P(A) = 0.7, which is more than 0.6, so that P(A or B) = 0.7. All the requirements can be satisfied if P(B) = 0, so it’s possible to equal that minimum value. Now, the maximum value. Since P(A or B) = 0.7, both P(A) and P(B) must be contained in this region. See the conceptual diagram. ![]() The top line, 1, is the entire probability space. The second line, P(A or B) = 0.7, fixes the boundaries for A and B. P(A) is the purple arrow, extending from the right. P(B) is the green arrow extending from the left. The bottom line, P(A and B) < 0.5, is the constraint on their possible overlap. Let’s say that P(A) is just slightly more than 0.6. That means the region outside of P(A), but inside of P(A or B) is slightly less than 1. That’s the part of P(B) that doesn’t overlap with P(A). Then, the overlap has to be less than 0.5. If we add something less than 1 to something less than 5, we get something less than 6. P(B) can’t equal 0.6, but it can any value arbitrarily close to 0.6. Thus, 0 ≤ P(B) < 0.6. Answer = (B) 15) ![]() Answer = (E) The post Challenging GMAT Math Practice Questions appeared first on Magoosh GMAT Blog. |
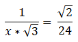
| FROM Magoosh Blog: GMAT Math: How to Divide by a Square Root |
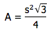
A lot of students, especially those away from math for a long time, get lost when trying to divide by a square root. However, dividing by square roots is not something that should intimidate you. With a short refresher course, you’ll be able to divide by square roots in no time. First, consider these three practice questions.![]() 1. In the equation above, x = ![]() ![]() 2. Triangle ABC is an equilateral triangle with an altitude of 6. What is its area? ![]() ![]() 3. In the equation above, x = ![]() The second one throws in a little geometry. You may want to review the properties of the 30-60-90 Triangle and the Equilateral Triangle if those are unfamiliar. The first one is just straightforward arithmetic. The third is quite hard. For any of these, it may well be that, even if you did all your multiplication and division correctly, you wound up with an answers of the form — something divided by the square root of something — and you are left wondering: why doesn’t this answer even appear among the answer choices? If this has you befuddled, you have found exactly the right post. Fractions and radicals When we first met fractions, in our tender prepubescence, both the numerators and denominators were nice easy positive integers. As we now understand, any kind of real number, any number on the entire number line, can appear in the numerator or denominator of a fraction. Among other things, radicals —- that is, square-root expressions —- can appear in either the numerator or denominator. There’s no particular issue if we have the square-root in a numerator. For example, ![]() is a perfectly good fraction. In fact, those of you who ever took trigonometry might even recognize this special fraction. Suppose, though, we have a square root in the denominator: what then? Let’s take the reciprocal of this fraction. ![]() This is no longer a perfectly good fraction. Mathematically, this is a fraction “in poor taste”, because we are dividing by a square-root. This fraction is crying out for some kind of simplification. How do we simplify this? Dealing with square roots in the denominator By standard mathematical convention, a convention the GMAT follows, we don’t leave square-roots in the denominator of a fraction. If a square-root appears in the denominator of a fraction, we follow a procedure called rationalizing the denominator. We know that any square root times itself equals a positive integer. Thus, if we multiplied a denominator of the square root of 3 by itself, it would be 3, no longer a radical. The trouble is —- we can’t go around multiplying the denominator of fractions by something, leaving the numerator alone, and expect the fraction to maintain its value. BUT, remember the time-honored fraction trick — we can always multiply a fraction by A/A, by something over itself, because the new fraction would equal 1, and multiplying by 1 does not change the value of anything. Thus, to simplify a fraction with the square root of 3 in the denominator, we multiply by the square root of 3 over the square root of 3! ![]() That last expression is numerically equal to the first expression, but unlike the first, it is now in mathematical “good taste”, because there’s no square root in the denominator. The denominator has been rationalized (that is to say, the fraction is now a rational number). Sometimes, some canceling occurs between the number in the original numerator and the whole number that results from rationalizing the denominator. Consider the following example: ![]() That pattern of canceling in the simplification process may give you some insight into practice problem #1 above. Square roots and addition in the denominator This is the next level of complexity when it comes to dividing by square roots. Suppose we are dividing a number by an expression that involves adding or subtracting a square root. For example, consider this fraction: ![]() This is a fraction in need of rationalization. BUT, if we just multiply the denominator by itself, that WILL NOT eliminate the square root — rather, it will simply create a more complicated expression involving a square root. Instead, we use the difference of two squares formula, ![]() = (a + b)(a – b). Factors of the form (a + b) and (a – b) are called conjugates of one another. When we have (number + square root) in the denominator, we create the conjugate of the denominator by changing the addition sign to a subtraction sign, and then multiply both the numerator and the denominator by the conjugate of the denominator. In the example above, the denominator is three minus the square root of two. The conjugate of the denominator would be three plus the square root of two. In order to rationalize the denominator, we multiply both the numerator and denominator by this conjugate. ![]() Notice that the multiplication in the denominator resulted in a “differences of two squares” simplification that cleared the square roots from the denominator. That final term is a fully rationalized and fully simplified version of the original. Summary Having read these posts about dividing by square roots, you may want to give the three practice questions at the top of this article another try, before reading the explanations below. If you have any questions on dividing by square roots or the explanations below, please ask them in the comments sections! Practice question explanations 1) To solve for x, we will begin by cross-multiplying. Notice that ![]() because, in general, we can multiply and divide through radicals. ![]() Cross-multiplying, we get ![]() You may well have found this and wondered why it’s not listed as an answer. This is numerically equal to the correct answer, but of course, as this post explains, this form is not rationalized. We need to rationalize the denominator. ![]() Answer = (D) 2) We know the height of ABC and we need to find the base. Well, altitude BD divides triangle ABC into two 30-60-90 triangles. From the proportions in a 30-60-90 triangle, we know: ![]() Now, my predilection would be to rationalize the denominator right away. ![]() Now, AB is simplified. We know AB = AC, because the ABC is equilateral, so we have our base. ![]() Answer = (C) 3) We start by dividing by the expression in parentheses to isolate x. ![]() Of course, this form does not appear among the answer choices. Again, we need to rationalize the denominator, and this case is a little trickier because we have addition in the denominator along with the square root. Here we need to find the conjugate of the denominator —- changing the plus sign to a minus sign — and then multiply the numerator and denominator by this conjugate. This will result in —- ![]() Answer = (A) The post GMAT Math: How to Divide by a Square Root appeared first on Magoosh GMAT Blog. |
| FROM Magoosh Blog: Cornell GMAT (Johnson) Scores |
|
Nestled in the Finger Lakes region of upstate New York, Cornell University offers its students a bucolic landscape and an Ivy League education. The Johnson School of Management at Cornell is ranked in the top 25 best business schools by U.S. News and World Report. As such, the average Cornell GMAT score is high, and admissions are competitive. But, with the right preparation, you might get accepted to enjoy two years at the Johnson School in Ithaca. The Johnson School: Overview Cornell’s Johnson School distinguishes itself from other leading business schools because of its small and close-knit community. With 59 full-time faculty members and about 275 MBA students, the program is small compared to its peers, which often have over 1,000 students. The Johnson School is located in Sage Hall, where students will spend a majority of their business school time. But students at Johnson also have access to the larger Cornell University community, which allows them to interface with experts across multiple fields. The Johnson School is also renowned for its performance learning concept, which allows first year students to integrate course work with field experience across one semester. ![]() Sage Hall. Photo courtesy of Eustress. Cornell’s MBA Programs Cornell’s Johnson School offers a wide variety of academic programs, and not all of them are located in Ithaca, NY. So, if you’d prefer New York City to Ithaca’s pastoral rolling hills, then you’ll be happy to know that there are options for you! The two-year MBA, though, is located in Ithaca. The MBA program does not use a standard curriculum. If you’re more interested in working than academic coursework, then the Johnson School might be right for you. Your first year will not be occupied entirely with standard core coursework. At Cornell, core courses finish after the first semester, with the second semester diving right into performance learning, where field work is integrated with course work. The second year is spent primarily on concentration electives. For students with more specific interests or more advanced qualifications, Johnson offers a tech-focused MBA, a healthcare-focused MBA, and a PhD program. It even offers the world’s only program that is part-time and conducted dually in both English and Mandarin Chinese, through a partnership with Tsinghua University. Rankings and Prestige There’s little doubt: the Johnson School is a top business program. Forbes has placed the Johnson School as the 10th best MBA program in the United States. In terms of worldwide rankings, The Financial Times ranked Johnson as number 27. As part of Cornell University, the Johnson School is an Ivy League business program. Irrespective of the MBA program’s prestige, there’s no question that Cornell is a leading research institution worldwide. By going to Johnson, you’ll have the opportunity to interact with researchers and students from other parts of campus. You will definitely benefit from the exciting research that happens across Cornell. Acceptance Rates and Cornell GMAT Scores Because the Johnson School is well-regarded, it comes with difficult admissions prospects, including high Cornell GMAT scores. For the class of 2018, the average Cornell GMAT score was 700, with an average GPA of 3.39. On average, students also arrived on campus with 5 years of work experience behind them. Official acceptance rates are hard to come by. The Johnson School itself says that, overall, it admitted around 12% of applicants. But that includes PhD students and all other programs. Online reports suggest that the acceptance rate for the two-year MBA program is closer to 22%. Why Johnson Might Be Right For You If you’re looking for an intimate graduate program in a rural college town, then the Johnson School might be perfect for you. Keep in mind, though, the competition will be fierce: Cornell GMAT scores are high, and acceptance rates are low. If you are admitted, though, you are sure to benefit from a world-class education! The post Cornell GMAT (Johnson) Scores appeared first on Magoosh GMAT Blog. |
| FROM Magoosh Blog: How to Recover from An Interview Gone Wrong |
|
This post was originally published on the StudySoup blog. You did it- you got the interview! You found the perfect attire for making a strong first impression. You’ve stayed up late researching every piece of information on the company you can find. And you’ve practiced your answers to the most common interview questions at least one hundred times. Then the big day comes….and you completely blow it. Interviews are high pressure situations, and no matter how much we prepare, sometimes they just don’t go well. We get stuck in traffic causing us to be late, our nerves overtake us and we freeze on a question, or we just don’t connect with the interviewer. There are so many things that can go wrong during an interview. But the good news is that, most of the time, not all is lost! Here are some of the most common mistakes made and how you can recover from them. You Were Late This is definitely not an ideal way to start off an interview. But if handled correctly, it’s absolutely a mistake you can recover from. To avoid this in the first place, be sure to plan your route ahead of time and give yourself a little extra time on the big day in case the unexpected happens. But even the best laid plans can’t always get us there in time. The best way to handle being late is to be honest about what happened. Acknowledge it right off the bat. Apologize for it and take responsibility, even if you feel the situation was out of your control. But be sure to not turn it into an excuse. Use this opportunity to demonstrate ownership to the hiring manager. It’s a chance to prove that you can handle stressful and less-than-ideal situations gracefully, accept your mistakes, and put your best foot forward to turn it around. You Weren’t Prepared Preparation is the key to interview success. When a candidate comes in unprepared to answer questions surrounding an opportunity, it’s a signal to the hiring manager that they aren’t truly interested in the job or perhaps aren’t even qualified. Interview preparation should go beyond a simple google search and a glance at the company website. Time should be set aside to investigate company culture, understand the organization’s mission and values, catch up on recent news articles and press releases, and understand the job description like the back of your own hand. But even after hours of in-depth preparation, it’s still possible to get an interview question that completely throws you off. Sometimes this is even done on purpose. When this happens to you, the key is to stay calm and to not panic. If you get a question you’re not prepared to answer, simply ask if you can have a moment to think it through. To buy yourself some extra time, you can always ask to have the question repeated or you can ask clarifying questions. This is a great way to give the hiring manager insight into your thought process while gaining additional information that you can use to formulate your answer. If you don’t manage to pull it together and leave the interview feeling like you missed an opportunity on a question, don’t give up yet! Follow up thank you notes are a great place to provide additional answers and a wonderful way to show the hiring manager that you’re passionate about the role and that you care about making a great impression. You Rambled Of all the mistakes made during interviews, rambling may just be the most common. It’s a habit for many people, especially during stressful situations. Practicing your answers in the days leading up to your interview can help with this. But what if, after all that practice, your nerves still get the best of you? The first step is to learn to recognize the signs that you’re beginning to ramble. Does your interviewer seem bored? Is your mouth a little dry from talking too much? Have you lost your train of thought? These are all signs that you’re not getting to the point quickly enough. A good rule of thumb is that it should take you no longer than two minutes to provide a solid answer to an interview question. To ensure that you’re keeping your answers concise, be sure to practice them ahead of time, using a watch to track how long each response takes. If you recognize that you’ve begun to ramble once you’re in the interview, don’t be afraid to stop yourself. Apologize that you’re a little nervous and that you seemed to have gotten off track. Take a deep breath, ask for a moment to gather your thoughts if you need it, and continue on with a straightforward and concise answer. Your interviewer will appreciate the fact that you stopped yourself to provide clarity. You Appeared to Be Too Nervous It’s completely normal to feel nervous during an interview. So there’s nothing wrong with walking into one a little jittery. But it can become a problem if your nerves completely take over, preventing you from understanding questions and providing clear answers. The best thing you can do to avoid this is to prepare for the interview beforehand. Taking the time to practice tough questions and to plan a way to demonstrate your skills can minimize nerves. If you feel your heart starting to beat a little faster and your palms getting a little sweaty, the first step is to just simply take a few deep breaths. The next thing is to recognize that the interviewer knows exactly how you feel. Don’t forget that they’ve been in your shoes before, interviewing with this same company! Try breaking the ice with them by having a casual conversation about their weekend plans or even about the weather. This is a great way to get things started before you dive into the interview itself. If you’re still nervous after this initial chat, that’s okay too. Hiring managers actually appreciate when candidates are jittery because it demonstrates a passion for the role. Just don’t let it get in the way of providing strong answers. What If You Can’t Recover? Interview mistakes are very common and perfectly normal. And most can be recovered from. In fact, you may be surprised to learn that most hiring managers are perfectly willing to look past many of these errors listed here. But every once in awhile, an interview gone wrong just can’t be turned around and you have to move on. But even if you can’t get a hiring manager to overlook your mistakes, there are several things you can do to help you do better next time. Take time to reflect on the experience, focusing not only on what went wrong but also on what went right. Recognize what you did well and where you were able to successfully demonstrate your strengths. Think through the questions you struggled with. Now that you aren’t in a high pressure situation, how would you answer them? This is a great way to help you prepare yourself for next time. The post How to Recover from An Interview Gone Wrong appeared first on Magoosh GMAT Blog. |
| FROM Magoosh Blog: UVA’s GMAT Score (Darden School of Business) |
![]() Photo courtesy of Workman. The University of Virginia’s Darden School of Business is a leading business graduate program. That means that the GMAT score for University of Virginia is competitive. Admissions will not be easy. But for strong students, UVA’s business programs offer a variety of choices, but all focus on the same high quality core curriculum. Academic Programs The Darden School offers three different MBA programs: the standard MBA, the Executive MBA, and the Global Executive MBA. What makes these three options unique? In some sense, what they have in common is what makes Darden’s offerings unique. The three programs all use the same exact core curriculum, which is completed in the first four terms of the first year of each program. This core curriculum is taught using case studies, simulations, and experiential exercises. It includes a variety of different core skills, in management, accounting, marketing, and analysis. That’s why your GMAT score for University of Virginia is so important: you’ll need to arrive on campus with strong quantitative and logical thinking skills to navigate the core curriculum. If the core curriculum of UVA’s programs are identical, what makes the three different MBA options unique? The standard MBA is for younger students who are earlier in their career. They typically arrive on campus with only 4 years of work experience. The program is full-time, and students are not expected to hold a job concurrently (though a summer internship is required). Most students spend their 21 months in Charlottesville, VA, though study abroad options are available. The Executive MBA and the Global Executive MBA, while being the same length (21 months) as the standard MBA, differ in the type of student they attract. In these two programs, students typically have closer to 10 years of quality work experience. They’re highly competent executives in their own right. The programs only require sporadic residency in Charlottesville, and many courses incorporate distance learning. The Global Executive option incorporates residences around the world as a requirement — in China, Europe, India, Brazil, and elsewhere. It’s the ideal program for executives with international experience and ambitions. Besides its unique array of programs, Darden also distinguishes itself in its size. While some graduate business schools can have thousands of students, Darden has less than 350. That allows a great opportunity to get to know classmates one-on-one, and utilize day-to-day networking to the fullest. The program is also known for a large military contingent, with slightly less than 10% of students having served in the military. Military leadership classes are available. GMAT Score for University of Virginia Darden School The typical GMAT score for University of Virginia’s Darden School varies by program. The most competitive, and the largest, program is the standard MBA program. Executive and Global Executive programs are much smaller, and also feature slightly lower average GMAT scores. According to UVA itself, the typical GMAT score for University of Virginia’s Darden School is as follows:
Ranking and Prestige According to U.S. News and World Report, the University of Virginia’s Darden School of Business is ranked as the 11th best MBA program in the country. But some rankings place the Darden School even higher. The Economist, for example, places the Darden School as the second best MBA program, second only to the University of Chicago. Impressive! Since the program is so highly regarded, it’s no surprise that GMAT scores for University of Virginia are high. Getting into a top-ranked program isn’t easy. Conclusion If you’re seeking a small but highly ranked MBA program, then the University of Virginia might be perfect for you. While the expected GMAT score for University of Virginia is high, if you can meet the standards, then you’ll enjoy close contact with your peers in a small program with a strong core curriculum. You’ll also enjoy numerous opportunities for international engagement. Career opportunities after UVA are numerous, so you’ll definitely get your money’s worth if you choose to enroll at Darden! The post UVA’s GMAT Score (Darden School of Business) appeared first on Magoosh GMAT Blog. |
| FROM Magoosh Blog: The 5-Step Guide to Writing Your MBA Goals Essay |
|
The 5-Step Guide to Writing Your MBA Goals Essay You’re getting ready to apply to b-school this fall, targeting the Round 1 deadlines. You may also have other responsibilities like work or family, or trying to improve your GMAT scores. What you don’t have is extra time. Let’s take advantage of the time you do have to prepare for the application process in the most efficient way possible. Based on Accepted’s years of helping students determine their goals and write compelling essays, we’ve put together 5 steps for preparing to write an absorbing, remarkable MBA goals essay: Step 1: Distinguish between short-term, long-term, and intermediate goals. The first thing you must do is start defining your MBA goal. The more time you spend now thinking about your goal and how best to express it, the easier and faster the actual essay writing will be later. You can start by listing specific roles and industries that you will discuss in your MBA goals essay. Make sure you go beyond the obvious, or at least find a unique way of expressing a less-than-original goal. Think of ways to communicate your goal with as much detail as possible. These details will make your essay stand out from all those others in the pile. Details will make your essay interesting, readable, and individualized. As you think about your short-term, intermediate, and long-term goals, ask yourself: What would be your ideal position and industry at each of these stages? These may change as you move from short term to long term. Using specific job titles and companies will show how much thought you’ve put into your future. Step 2: Continue to identify the details of your short- and long-term and the intermediate goals by thinking about what specific goals you’d like to accomplish at each stage. Talk about the impact you want to make on the people that you come into contact with and the industry in each phase. Step 3: Do your research so that your goals are realistic. Now is the time to look up hiring trends, services, organization, market status, products, etc. You should also speak to people in your target industry about what their goals were, and about the steps they took to achieve them. Step 4: Become familiar with the challenges of the industry you’ve chosen. Be aware of any current events that have affected your industry. And again, speak to others who have achieved similar goals (or who are currently en route to achieving similar goals) and gather information about the obstacles they’ve hit and overcome along the way. Step 5: Be prepared to discuss why you’re attracted to your target industry/position. Keep your motivation in mind to help you write a more engrossing story with a stronger message. Both of these will help your essay stand out. Keep these tips in mind during the pre-writing stage of your goals essay. They will help you convey a clear, convincing, and unique depiction of what your goals are, as well as make the actual essay-writing process move along more quickly and smoothly. Use your time wisely and you will be done with your apps before you know it. Need more guidance on identifying your MBA goals and organizing them in an essay? Download Accepted’s admissions guide, Why MBA, to write a goals essay that will help you get you accepted! The post The 5-Step Guide to Writing Your MBA Goals Essay appeared first on Magoosh GMAT Blog. |
| FROM Magoosh Blog: GMAT for Non-Native English Speakers |
![]() Since the GMAT is typically used for admissions to American universities, it is conducted only in English. Taking the GMAT for non-native English speakers is therefore slightly more challenging than for native English speakers. Non-native speakers have to navigate the same challenges that English speakers encounter, but they need to do them in a second language. GMAT for Non-Native English Speakers Still Requires Strong English There’s no getting around this: if your English is weak, everything you do in English will also be weak. So there’s just no “easy” route to scoring well on the GMAT without a strong fluency in English. Further, your end goal is presumably to study in graduate school in an English-speaking country, most likely the United States. If your English isn’t strong enough for the GMAT, how are you going to follow your graduate school studies?! It won’t be easy! But with that said, there are definitely things you can do to improve your English in a measurable way, so don’t get too discouraged just yet! [*]Immerse in English every single day. As much as possible. List and talk in English. Do this as much as you possibly can. It’s the only way to truly improve your English. Seek out a friend with whom you can speak in English. Listen or watch English-speaking television or radio. [/*] [*]Read in English, too. Try to read complex articles from international magazines, like the Economist and the Wall Street Journal. You can see a full list of some good recommendations for articles here.[/*] [*]Think in English! I know that might be asking a lot. But to succeed on the GMAT for non-native English speakers, it is extremely important that you truly get into the “mindset” of someone who is 100% comfortable in the English language. Consider an ESL Course If immersing yourself in English on a daily basis isn’t a viable option, then you might want to take ESL courses. As I said above, it just isn’t possible to perform well on the GMAT if your English isn’t up to the task. If you’re having trouble improving your English, you might consider first focusing fully on improving your English before you even start studying for the GMAT. Depending on your means, there are many ESL course options, including: [*][/*] The most expensive option, which is to go abroad and spend some time in a course in an English-speaking country. These courses are indeed expensive, but they provide a full immersion experience.[/*] [*]Another option is to enroll in a local course. There are many reasonably affordable ESL classes across the world. If you’re in the United States, there are many free options we suggest here, and some of them probably apply even if you’re outside the United States! [*][/*] Online resources are another great option for ESL courses and tutoring. A quick Google search will turn up hundreds of options! These vary in terms of price and quality, so be sure to do some research before deciding. [/*] Work on Your Vocabulary Always carry a dictionary! One of the key components of fluency that students often lack is a rich repertoire of English vocabulary. If you find yourself using only “simple” words, then it’s probably the case that you need to up your vocabulary level. You can do this in a variety of ways. When you see a word you don’t understand, no matter where you see it, look it up in a dictionary right away. Make a flashcard with the definition. Memorize it. But also use it. Use the new words in speech and writing. Look for examples of how it’s used. Using these new words “in context” is a much better way of truly understanding the definition of a word. It’s better than just memorizing a definition on a flashcard. Sometimes, a definition just doesn’t capture the nuance of a word’s meanings, and the cases when it is and isn’t appropriate to use it. English is Important for Quant, Too If you’re applying to a quant-heavy program and are thinking about lightly studying or skipping the verbal section entirely, then think again. Even if you’re applying to quant-heavy programs (engineering, math, etc.), the verbal section of the GMAT is almost always still important to admissions. But good verbal skills are also important for the quant section. You have to read and decipher difficult instructions, and it’s easy to miss a small detail if your verbal skills aren’t up to par. This is especially so when reading charts and graphs. Oftentimes, information in the “fine print” will clarify what a graph means. But if you don’t fully understand that fine print, you’ll miss important info. In short, even if you’re applying to engineering or math or other STEM programs, you’re still going to need strong verbal skills to succeed on the quant portions of the GMAT. As a Non-Native Speaker, You Have Some Advantages! In some ways, people for whom English is a second language actually have an advantage on the GMAT. Many native English speakers have not thoroughly memorized grammar rules. This has to do with how they learned their language. As in any language, people learn their primary spoken language at home in their childhood. They don’t learn it by studying grammar rules and practicing using those rules. But for non-native speakers, English IS typically learned by rehearing a series of grammar rules. This means that non-native speakers are actually very well versed in grammar. So, taking the GMAT for non-native English speakers actually allows them to use a skill that they know better than their native English peers. Unlike (surprisingly many!) native speakers, you know grammar rules and can identify and fix problem sentences. Use this to your advantage! Conclusions You’re not alone — plenty of students for whom English is a second language take the GMAT. Only about one third of all GMAT test takers, for example, come from the United States. So, it’s actually quite possible that you’re in the majority if you’re taking the GMAT as a non-native speaker. While taking the GMAT for non-native speakers requires solid English skills, if you’re English is very strong, you shouldn’t have to study any differently than a native speaker. Further, keep your advantages over native speakers in mind. On grammar issues, for example, you might know more than a native speaker! The post GMAT for Non-Native English Speakers appeared first on Magoosh GMAT Blog. |
| FROM Magoosh Blog: GMAT Grammar: “On a White Bus” with Subordinate Conjunctions |
![]() First, three practice GMAT grammar subordinate conjunctions questions, each somehow involving buses! 1) While spark ignitions start the combustion in gasoline engines, typical in automobiles, high compression of gases, with high temperatures, are igniting the combustion in diesel engines. (A) high compression of gases, with high temperatures, are igniting the combustion in diesel engines (B) the high temperatures made by high compression of gases, igniting the fuel in diesel engines (C) diesel engines highly compress the gasses, and this high compression ignites the combustion of the fuel in the engine (D) high compression of gases, producing high temperatures, ignite the combustion in diesel engines (E) it is the high compression of gases, causing high temperatures, that ignites the fuel in diesel engines 2) Even though the original AEC Routemaster has been retired, still this red double-decker bus is familiar, and it has been an icon of culture in Britain. (A) still this red double-decker bus is familiar, and it has been an icon of culture in Britain (B) the familiarity of this red double-decker bus still remains, as does its role as a British cultural icon (C) this familiar red double-decker bus remaining a cultural icon in Britain (D) this familiar red double-decker bus remains a British cultural icon (E) the British are familiar with this red double-decker bus and still consider it to be one of their cultural icons 3) The end of the Montgomery Bus Boycott was the Browder v. Gayle (1956) ruling, an apparent victory for civil rights, with most blacks in Montgomery, with the experience of massive discrimination in all sectors of life, resigning themselves to the back of the bus by the early 1960s. (A) The end of the Montgomery Bus Boycott was the Browder v. Gayle (1956) ruling, which should have been a victory for civil rights, with most blacks in Montgomery, with the experience of massive discrimination in all sectors of life, resigning themselves to the back of the bus by the early 1960s (B) While the Montgomery Bus Boycott ended with an apparent victory for civil rights in the Browder v. Gayle (1956) ruling, most blacks in Montgomery, in the face of massive discrimination in all sectors of life, resigned themselves to the back of the bus by the early 1960s (C) The Browder v. Gayle (1956) ruling was apparently a victory for civil rights when it ended the Montgomery Bus Boycott, and because of this, most blacks in Montgomery by the early 1960s resigned themselves to the back of the bus, with the experiencing of massive discrimination in all sectors of life (D) Because of the Montgomery Bus Boycott, the civil rights movement incorrectly believed it had a victory to the Browder v. Gayle (1956) ruling, and by the early 1960s, the blacks with resignation moved to the back of the bus, because they experienced massive discrimination in all sectors of life (E) Despite a victory that was not a victory for civil rights in the Browder v. Gayle (1956) ruling, the ending of the Montgomery Bus Boycott, in the early 1960s, most blacks in Montgomery facing massive discrimination in all sectors of life and therefore resigning themselves to the back of the bus Explanations will come at the end of this blog. Clauses In the big world of grammar, there are two kinds of clauses: those that can stand alone on their own two feet and those who can. The first kind, independent clauses, can stand alone as complete sentences. The latter kind, dependent clauses or subordinate clauses, would not work on their own as a complete sentence: they have to be part of a larger sentence, a sentence that is anchored with at least one independent clause. Examples of independent clauses as stand-alone sentences: ![]() By contrast, here are three subordinate clauses utterly failing to constitute complete sentences when they stand alone. ![]() Notice that all three of those have the feeling of something left off, as if more of the sentence is about to occur. Subordinate clauses don’t work on their own; they are set up to play a supporting role to the independent clause. Kinds of Subordinate Clauses There are four basic categories of subordinate clauses (i) Substantive Clauses = these act as nouns, taking a noun-role in the sentence, such as subject, direct object, or object of a preposition. These are also called “noun clauses” or “nominal relative clauses.” (ii) Relative Clauses = these begin with a relative pronoun or adverb, and will act, respectively, as a noun-modifier or verb-modifier (iii) Clauses that begin with subordinate conjunctions = discussed below (iv) Comparative Clauses = typically begin with “than” and complete a comparison All four of these have in common the basic facts that they can’t stand alone as separate sentences and that their entire reason for existing is to support the larger sentence. Subordinate Conjunctions Subordinate conjunctions are words that begin a common category of subordinate clauses. All of these clauses function as adverbial clauses, that is, as verb-modifiers. One handy mnemonic for the subordinate conjunctions is “on a white bus”: O = only if, once N = now that A = although, after, as WH = while, when, whereas, whenever, wherever, whether H = how I = if, in case, in order that T = though E = even though, even if B = because, before U = until, unless S = since, so, so that You certainly don’t need to memorize this list. It’s helpful, especially for non-native speakers to recognize these words and be familiar with them. Any of these begins a clause that modifies the independent clause and could not stand on its own as a free-standing separate sentence. Got Verbs? By definition, any clause has a [noun] + [verb] unit at its core. Every clause, whether independent or subordinate, needs to have a full verb. Nevertheless, the following sentence is 100% correct. 10) Though polite and refined in person, Boris Karloff was known for playing monsters on screen. It appears that there’s a problem in the “though” clause: the subordinate conjunction “though” is followed by only adjectives. There’s neither a noun or a verb, it would seem. How can this be correct? In fact, it’s perfectly fine if simple words [pronoun] + [“to be” verb] are omitted. For example, with the omitted words, this sentence would be: 10a) Though [he was] polite and refined in person, Boris Karloff was known for playing monsters on screen. When the omitted words are included, we see that the “though” clause was a full bonafide clause all along. Summary While GMAT is not going to expect you to know these grammar terms, it’s important to have good instincts about clauses, both independent and dependent. Pay attention when you read to how these clauses behave—seeing what these clauses do in sentence after sentence will help you understand them more deeply. Practice Problem Explanations 1) Traditionally, most buses and truck had diesel engines, although many buses today run on alternative fuels. We have to consider all five answer separately. (A) the progressive “are igniting” is wrong. This is incorrect. (B) the famous missing verb mistake! This is incorrect. (C) wordy, repetitive, awkward. Far from ideal. (D) SVA mistake: “high compression (singular) . . . ignite (plural).” This is incorrect. (E) Correct and elegant. This uses the sophisticated idiom “it is A that does X.” (E) is much better than (C) and is the best answer. 2) The famous red AEC Routemaster double-decker buses! (A) this is not grammatically wrong, but it is wordy and awkward; we dearly hope to find a better answer than this so we don’t have to settle for this pathetic loser! (B) “still remains” is redundant. The GMAT has zero toleration for redundancy. This is incorrect. (C) the famous missing verb mistake! This is incorrect. (D) elegant, direct, flawless. (E) “consider X to be” is a idiom mistake. Also, this is wordy and awkward. This is incorrect. The best answer by far is (D) 3) This question is about a sad chapter in American history. The historic Montgomery Bus Boycott was not followed immediately with more progress; instead, there was the “three steps forward, then two steps back” pattern of so much of civil rights progress, even to this day. The answers are long and have to be considered separately. (A) This choice uses the “with” + [noun] + [participle] structure, in a construction that incorrectly replaces a full clause. This is incorrect. (B) No obvious flaws. This is promising. (C) The “because of this” in this choice is not an appropriate way to express the logical contrast in the prompt, so this changes the meaning. Also, “the experiencing” is very awkward. This is incorrect. (D) This also changes the meaning: it wasn’t “because of the Montgomery Bus Boycott” that something was incorrectly believed. This also lacks the strong logical contrast in the prompt. This is incorrect. (E) the famous missing verb mistake! This is incorrect. The only possible answer is (B). The post GMAT Grammar: “On a White Bus” with Subordinate Conjunctions appeared first on Magoosh GMAT Blog. |
| FROM Magoosh Blog: 3 Tips to Getting the Most Out of Business School |
|
This article is written by our friends at Peterson’s! Business school is intense. You’ll constantly have a lot to do in every avenue of your school life. Regardless of how prepared you are, there will be times when you are overwhelmed. That’s okay. Tough deadlines and fast-paced classes are a part of business school. It prepares you for the deadlines and fast-paced world of business. If you do it right, you’ll learn how to handle stress, get organized and manage your time. All things prospective employers are looking for! You’ll be spending a lot of money and time on this degree – not to mention sweat, stress, and sleepless nights – so you’ll want to make sure to get the most out of it as you possibly can. Here are three tips that can help you make the most of your education. 1. Be ready to hit the books from day one Remember back when you were a freshman in college, and you discovered how much more difficult and demanding your college courses were when compared to high school? That’s going to happen again. The increase in pace and intensity of your classes in business school will make you feel like a freshman again, struggling to keep up. In most schools, in your first year you’ll take classes that are in line with the core curriculum of a business degree, and then the electives that will be dedicated to your particular specialization will be taken mostly in your second term. There is a lot of ground to cover. Things will move quickly. It’s important to stay organized and caught up. Prepare for a ton of reading. 2. Be open-minded Those who are most successful in business school are those who are open to new ideas. Business school is not about studying just to get good grades. If your career requires a business degree, then you will be using a very large portion of what you learn on a regular basis. You’ll take some classes that might change your view of the world, or at least give you a new and valuable perspective. Business school isn’t just about consuming information that is thrown at you, it’s also about developing skills. It’s about learning how to think critically, to innovate, to be creative and make that creativity profitable. You’ll take risks in business school and because of that, you’ll learn the value of taking educated risks in your future career. 3. It’s not just about the academics Your classes will be challenging. No doubt they will take up a very large portion of your time and energy. Remember though, that hitting the books alone will not give you a complete experience. In a business degree there is value to the social aspects of school. Think about it. Those who are in class with you are future business leaders. You have the opportunity to network and make connections that you may carry with you for the rest of your career. Your classmates can also be a great source of wisdom. Remember, not all of us go to business school right after college. Some of your fellow students will have some business experience under their belt already. You may also find that your future opportunity is waiting for you. Many recruiters visit business schools, looking for fresh talent. You could find yourself offered an internship, which could turn into a very profitable positon once you have graduated. If you are planning on going the entrepreneurial route instead, you may find connections that can help you get your business started. Brian Pivik is the Content Manager at Peterson’s, and has been working in the content creation industry for 13 years. He’s a published author with an MA in Literary Criticism, and has edited academic, business, journalistic, and online writing for such companies as Microsoft and Photobucket. He has a deep passion for education and higher learning, and when he’s not spending time with his wife and daughter, likes to read and study obscure texts. The post 3 Tips to Getting the Most Out of Business School appeared first on Magoosh GMAT Blog. |
Success stories and strategies from high-scoring candidates.