Last visit was: 20 Nov 2025, 01:27 It is currently 20 Nov 2025, 01:27
Close
GMAT Club Daily Prep
Thank you for using the timer - this advanced tool can estimate your performance and suggest more practice questions. We have subscribed you to Daily Prep Questions via email.

Customized
for You

we will pick new questions that match your level based on your Timer History

Track
Your Progress

every week, we’ll send you an estimated GMAT score based on your performance

Practice
Pays

we will pick new questions that match your level based on your Timer History
Not interested in getting valuable practice questions and articles delivered to your email? No problem, unsubscribe here.
Close
Request Expert Reply
Confirm Cancel
User avatar
rajathpanta
Joined: 13 Feb 2010
Last visit: 24 Apr 2015
Posts: 144
Own Kudos:
483
 [85]
Given Kudos: 282
Status:Prevent and prepare. Not repent and repair!!
Location: India
Concentration: Technology, General Management
GPA: 3.75
WE:Sales (Telecommunications)
Posts: 144
Kudos: 483
 [85]
5
Kudos
Add Kudos
80
Bookmarks
Bookmark this Post
Most Helpful Reply
User avatar
Bunuel
User avatar
Math Expert
Joined: 02 Sep 2009
Last visit: 19 Nov 2025
Posts: 105,408
Own Kudos:
Given Kudos: 99,987
Products:
Expert
Expert reply
Active GMAT Club Expert! Tag them with @ followed by their username for a faster response.
Posts: 105,408
Kudos: 778,429
 [31]
8
Kudos
Add Kudos
23
Bookmarks
Bookmark this Post
User avatar
goutamread
Joined: 30 Jun 2012
Last visit: 18 Apr 2013
Posts: 31
Own Kudos:
133
 [10]
Given Kudos: 36
Status:Active
Location: India
Posts: 31
Kudos: 133
 [10]
9
Kudos
Add Kudos
1
Bookmarks
Bookmark this Post
General Discussion
User avatar
Pansi
Joined: 04 Jul 2011
Last visit: 01 Dec 2019
Posts: 42
Own Kudos:
320
 [1]
Given Kudos: 87
Status:Fighting hard
GMAT Date: 10-01-2012
Posts: 42
Kudos: 320
 [1]
Kudos
Add Kudos
Bookmarks
Bookmark this Post
I spent some time on this question, got stuck and could not move towards a solution - Should not the sum of the digits of the number [(10^x)^y - 64] be a multiple of 9. Please clarify if the question formed the way it is now is the best way. I think I have misinterpreted something here.
User avatar
rajathpanta
Joined: 13 Feb 2010
Last visit: 24 Apr 2015
Posts: 144
Own Kudos:
Given Kudos: 282
Status:Prevent and prepare. Not repent and repair!!
Location: India
Concentration: Technology, General Management
GPA: 3.75
WE:Sales (Telecommunications)
Kudos
Add Kudos
Bookmarks
Bookmark this Post
Pansi
I spent some time on this question, got stuck and could not move towards a solution - Should not the sum of the digits of the number [(10^x)^y - 64] be a multiple of 9. Please clarify if the question formed the way it is now is the best way. I think I have misinterpreted something here.

Well, It is a multiple of 9. How will you arrive at xy with that approach?

Try finding patterns. (thats the clue)
User avatar
Vips0000
User avatar
Current Student
Joined: 15 Sep 2012
Last visit: 02 Feb 2016
Posts: 521
Own Kudos:
1,291
 [2]
Given Kudos: 23
Status:Done with formalities.. and back..
Location: India
Concentration: Strategy, General Management
Schools: Olin - Wash U - Class of 2015
WE:Information Technology (Computer Software)
Products:
Schools: Olin - Wash U - Class of 2015
Posts: 521
Kudos: 1,291
 [2]
1
Kudos
Add Kudos
1
Bookmarks
Bookmark this Post
Pansi
I spent some time on this question, got stuck and could not move towards a solution - Should not the sum of the digits of the number [(10^x)^y - 64] be a multiple of 9. Please clarify if the question formed the way it is now is the best way. I think I have misinterpreted something here.

Well, simple reason is that the question is incorrect.

rajathpanta

Well, It is a multiple of 9. How will you arrive at xy with that approach?

Try finding patterns. (thats the clue)

Question is:
10^xy -64 = N,
where sum of digits of N=79

The pattern is like this:

100 -64 = 36
1000 -64 = 936
10000 -64 =9936

or,
1 followed by (n times 0) = (n-2)times 9 followed by 36

Therefore sumof digits on right side is always a multiple of 9 [9s and 6+3 =9]

However in question stem RHS is 79, which is not divisible by 9. And therefore you can not arrive at any of the answer choices given.

Rajathpanta- on a lighter note - if this too is from Aristotle, I'd suggest please change the source of questions. :D

Hope it helps!
User avatar
Shibs
Joined: 04 Aug 2013
Last visit: 24 Aug 2015
Posts: 4
Own Kudos:
1
 [1]
Given Kudos: 7
Posts: 4
Kudos: 1
 [1]
Kudos
Add Kudos
1
Bookmarks
Bookmark this Post
Hi Bunuel,

Could you please xplain the last bit oft he equations which takes us to a 279?

Thanks


quote="Bunuel"]
rajathpanta
The sum of the digits of [(10^x)^y]-64=79. What is the value of xy

A. 28
B. 29
C. 30
D. 31
E. 32

The question should read:
The sum of the digits of [(10^x)^y]-64=279. What is the value of xy

A. 28
B. 29
C. 30
D. 31
E. 32

Also, it should be mentioned that xy is a positive integers.

First of all \((10^x)^y=10^{xy}\).

\(10^{xy}\) has \(xy+1\) digits: 1 and \(xy\) zeros. For example: 10^2=100 --> 3 digits: 1 and 2 zeros;

\(10^{xy}-64\) will have \(xy\) digits: \(xy-2\) 9's and 36 in the and. For example: 10^4-49=10,000-49=9,951 --> 4 digits: 4-2=two 9's and 51 in the end;

We are told that the sum of all the digits of \(10^{xy}-64\) is 279 --> \(9(xy-2)+3+6=279\) --> \(9(xy-2)=270\) --> \(xy=32\).

Answer: E.

Similar questions to practice:
the-sum-of-all-the-digits-of-the-positive-integer-q-is-equal-126388.html
10-25-560-is-divisible-by-all-of-the-following-except-126300.html
if-10-50-74-is-written-as-an-integer-in-base-10-notation-51062.html

Hope it's clear.[/quote]
User avatar
Bunuel
User avatar
Math Expert
Joined: 02 Sep 2009
Last visit: 19 Nov 2025
Posts: 105,408
Own Kudos:
778,429
 [2]
Given Kudos: 99,987
Products:
Expert
Expert reply
Active GMAT Club Expert! Tag them with @ followed by their username for a faster response.
Posts: 105,408
Kudos: 778,429
 [2]
2
Kudos
Add Kudos
Bookmarks
Bookmark this Post
Shibs
Hi Bunuel,

Could you please xplain the last bit oft he equations which takes us to a 279?

Thanks


quote="Bunuel"]
rajathpanta
The sum of the digits of [(10^x)^y]-64=79. What is the value of xy

A. 28
B. 29
C. 30
D. 31
E. 32

The question should read:
The sum of the digits of [(10^x)^y]-64=279. What is the value of xy

A. 28
B. 29
C. 30
D. 31
E. 32

Also, it should be mentioned that xy is a positive integers.

First of all \((10^x)^y=10^{xy}\).

\(10^{xy}\) has \(xy+1\) digits: 1 and \(xy\) zeros. For example: 10^2=100 --> 3 digits: 1 and 2 zeros;

\(10^{xy}-64\) will have \(xy\) digits: \(xy-2\) 9's and 36 in the and. For example: 10^4-49=10,000-49=9,951 --> 4 digits: 4-2=two 9's and 51 in the end;

We are told that the sum of all the digits of \(10^{xy}-64\) is 279 --> \(9(xy-2)+3+6=279\) --> \(9(xy-2)=270\) --> \(xy=32\).

Answer: E.

Similar questions to practice:
the-sum-of-all-the-digits-of-the-positive-integer-q-is-equal-126388.html
10-25-560-is-divisible-by-all-of-the-following-except-126300.html
if-10-50-74-is-written-as-an-integer-in-base-10-notation-51062.html

Hope it's clear.

\(10^{xy}-64\) will have \(xy\) digits: \(xy-2\) 9's and 36 in the and. Threfore the sum of the digits is \(9(xy-2)+3+6=279\).

Hope it's clear.
User avatar
Paris75
Joined: 26 Aug 2013
Last visit: 22 Jul 2024
Posts: 128
Own Kudos:
136
 [1]
Given Kudos: 401
Status:Student
Location: France
Concentration: Finance, General Management
Schools: EMLYON FT'16
GMAT 1: 650 Q47 V32
GPA: 3.44
Schools: EMLYON FT'16
GMAT 1: 650 Q47 V32
Posts: 128
Kudos: 136
 [1]
1
Kudos
Add Kudos
Bookmarks
Bookmark this Post
Hi,

this is my process (edited to be the most efficient possible):

\(1000-64= 936\). Whatever XY is you finish with \(36 ==> 3+6=9\)

Therefore, \(279-9=270\) and \(270/9=30\)

Now you add the last two digits (3 and 6)

Answer is \(30+2=32\)

Hope it helps
User avatar
ENGRTOMBA2018
Joined: 20 Mar 2014
Last visit: 01 Dec 2021
Posts: 2,325
Own Kudos:
3,837
 [4]
Given Kudos: 816
Concentration: Finance, Strategy
GMAT 1: 750 Q49 V44
GPA: 3.7
WE:Engineering (Aerospace and Defense)
Products:
GMAT 1: 750 Q49 V44
Posts: 2,325
Kudos: 3,837
 [4]
3
Kudos
Add Kudos
1
Bookmarks
Bookmark this Post
rajathpanta
The sum of the digits of [(10^x)^y]-64=279. What is the value of xy ?

A. 28
B. 29
C. 30
D. 31
E. 32

Sum of the digits of (10^x)^y - 64 = 279.

We know that (X^a)^b = X^(ab)

Thus, the given form becomes = 10^(xy) - 64.

Now start with xy=2, 10^2 - 64 = 36, sum of the digits = 6+3=9 (realize that the sum of digits is 9*(xy-1))
xy=3 ---> 1000-64=936 = 18 (realize that the sum of digits is 9*(xy-1))
xy=4 ---> 10000-64=9936 = 27 (realize that the sum of digits is 9*(xy-1))
xy=5 ---> 100000-64 = 99936 (realize that the sum of digits is 9*(xy-1))... etc so this is your pattern. The sum of the digits = 9*(xy-1)

Now sum of the digits given = 279.

Thus, based on the pattern above, the sum of the digits must be ---> 9*(xy-1) = 279 ---> xy = 32.

E is thus the correct answer.

Hope this helps.
User avatar
mvictor
User avatar
Board of Directors
Joined: 17 Jul 2014
Last visit: 14 Jul 2021
Posts: 2,124
Own Kudos:
Given Kudos: 236
Location: United States (IL)
Concentration: Finance, Economics
GMAT 1: 650 Q49 V30
GPA: 3.92
WE:General Management (Transportation)
Products:
GMAT 1: 650 Q49 V30
Posts: 2,124
Kudos: 1,263
Kudos
Add Kudos
Bookmarks
Bookmark this Post
gosh..the structure of the question is hideous...
i solved it this way..
the sum is 279. the last 2 digits must be 3 and 6, or 9. so the rest will be a bunch of 9's. how many 9's? 30.
now, 30 of nines + 36 -> 32 digits +1 since we need to round up - 33 in total, we thus must have 10^32.
User avatar
EMPOWERgmatRichC
User avatar
Major Poster
Joined: 19 Dec 2014
Last visit: 31 Dec 2023
Posts: 21,784
Own Kudos:
12,807
 [6]
Given Kudos: 450
Status:GMAT Assassin/Co-Founder
Affiliations: EMPOWERgmat
Location: United States (CA)
GMAT 1: 800 Q51 V49
GRE 1: Q170 V170
Expert
Expert reply
GMAT 1: 800 Q51 V49
GRE 1: Q170 V170
Posts: 21,784
Kudos: 12,807
 [6]
5
Kudos
Add Kudos
1
Bookmarks
Bookmark this Post
Hi All,

This question has some awkward wording to it, but here's its intent: the number 10^(xy) - 64 has digits that add up to 279.

So, we need to figure out what THAT number is.

Here's what you need to "see" to solve this problem:

IF xy = 3, then 1,000 - 64 = 936 and the sum of digits = 18 = (2)(9)
If xy = 4, then 10,000 - 64 = 9,936 and the sum of digits = 27 = (3)(9)
If xy = 5, then 100,000 - 64 = 99,936 and the sum of digits = 36 = (4)(9)

Notice the pattern? The sum of digits is increasing by 9 every time.

So, how many times does 9 divide into 279? 31 times

As a reminder of the pattern:
xy = 3 --> (2)(9)
xy = 4 --> (3)(9)
xy = 5 --> (4)(9)

So, (31)(9) --> xy = 32

Final Answer:
GMAT assassins aren't born, they're made,
Rich
User avatar
GMATBusters
User avatar
GMAT Tutor
Joined: 27 Oct 2017
Last visit: 14 Nov 2025
Posts: 1,924
Own Kudos:
6,647
 [2]
Given Kudos: 241
WE:General Management (Education)
Expert
Expert reply
Posts: 1,924
Kudos: 6,647
 [2]
1
Kudos
Add Kudos
1
Bookmarks
Bookmark this Post
The Question can be solved as follows:


Attachment:
photo_2020-07-16_13-50-28.jpg
photo_2020-07-16_13-50-28.jpg [ 61.21 KiB | Viewed 11049 times ]
User avatar
saubhikbhaumik
Joined: 17 Feb 2024
Last visit: 27 Jul 2025
Posts: 10
Own Kudos:
Given Kudos: 91
Location: India
Posts: 10
Kudos: 1
Kudos
Add Kudos
Bookmarks
Bookmark this Post
but 10^32 - 64 is not 279. How come this is the answer then?
Bunuel
rajathpanta
The sum of the digits of [(10^x)^y]-64=79. What is the value of xy

A. 28
B. 29
C. 30
D. 31
E. 32

The question should read:
The sum of the digits of [(10^x)^y]-64=279. What is the value of xy

A. 28
B. 29
C. 30
D. 31
E. 32

Also, it should be mentioned that xy is a positive integers.

First of all \((10^x)^y=10^{xy}\).

\(10^{xy}\) has \(xy+1\) digits: 1 and \(xy\) zeros. For example: 10^2=100 --> 3 digits: 1 and 2 zeros;

\(10^{xy}-64\) will have \(xy\) digits: \(xy-2\) 9's and 36 in the and. For example: 10^4-49=10,000-49=9,951 --> 4 digits: 4-2=two 9's and 51 in the end;

We are told that the sum of all the digits of \(10^{xy}-64\) is 279 --> \(9(xy-2)+3+6=279\) --> \(9(xy-2)=270\) --> \(xy=32\).

Answer: E.

Similar questions to practice:
https://gmatclub.com/forum/the-sum-of-a ... 26388.html
https://gmatclub.com/forum/10-25-560-is ... 26300.html
https://gmatclub.com/forum/if-10-50-74- ... 51062.html

Hope it's clear.
User avatar
Bunuel
User avatar
Math Expert
Joined: 02 Sep 2009
Last visit: 19 Nov 2025
Posts: 105,408
Own Kudos:
Given Kudos: 99,987
Products:
Expert
Expert reply
Active GMAT Club Expert! Tag them with @ followed by their username for a faster response.
Posts: 105,408
Kudos: 778,429
Kudos
Add Kudos
Bookmarks
Bookmark this Post
saubhikbhaumik
but 10^32 - 64 is not 279. How come this is the answer then?
Bunuel
rajathpanta
The sum of the digits of [(10^x)^y]-64=79. What is the value of xy

A. 28
B. 29
C. 30
D. 31
E. 32

The question should read:
The sum of the digits of [(10^x)^y]-64=279. What is the value of xy

A. 28
B. 29
C. 30
D. 31
E. 32

Also, it should be mentioned that xy is a positive integers.

First of all \((10^x)^y=10^{xy}\).

\(10^{xy}\) has \(xy+1\) digits: 1 and \(xy\) zeros. For example: 10^2=100 --> 3 digits: 1 and 2 zeros;

\(10^{xy}-64\) will have \(xy\) digits: \(xy-2\) 9's and 36 in the and. For example: 10^4-49=10,000-49=9,951 --> 4 digits: 4-2=two 9's and 51 in the end;

We are told that the sum of all the digits of \(10^{xy}-64\) is 279 --> \(9(xy-2)+3+6=279\) --> \(9(xy-2)=270\) --> \(xy=32\).

Answer: E.

Similar questions to practice:
https://gmatclub.com/forum/the-sum-of-a ... 26388.html
https://gmatclub.com/forum/10-25-560-is ... 26300.html
https://gmatclub.com/forum/if-10-50-74- ... 51062.html

Hope it's clear.

We are told that the sum of all the digits of \(10^{xy}-64\) is 279.
User avatar
MoeKo
Joined: 12 Feb 2025
Last visit: 30 Mar 2025
Posts: 14
Own Kudos:
Given Kudos: 169
Posts: 14
Kudos: 1
Kudos
Add Kudos
Bookmarks
Bookmark this Post
My dumb quick method

[(10^x)^y] = 10^xy

1........00 - 64 = 9..... 36
last two digits: 3 + 6 = 9
279 - 9 = 270

So we need 9........ to be 270.
9*30 = 270. So number of 9 is 30. Don't forget 3 & 6.

Then 9*30 + 3 + 6 = 279

Answer is E.32






rajathpanta
The sum of the digits of [(10^x)^y]-64=279. What is the value of xy ?

A. 28
B. 29
C. 30
D. 31
E. 32
User avatar
Kinshook
User avatar
Major Poster
Joined: 03 Jun 2019
Last visit: 19 Nov 2025
Posts: 5,793
Own Kudos:
Given Kudos: 161
Location: India
GMAT 1: 690 Q50 V34
WE:Engineering (Transportation)
Products:
GMAT 1: 690 Q50 V34
Posts: 5,793
Kudos: 5,514
Kudos
Add Kudos
Bookmarks
Bookmark this Post
rajathpanta

The sum of the digits of [(10^x)^y]-64=279. What is the value of xy ?

Let xy = t

The sum of the digits of [(10^x)^y]-64=279
The sum of the digits of 10^xy - 64 = 10^t - 64 = 279

10^t has t zeros and 1 at t+1th digit
The sum of digits of 10^t - 64 = 999.....t-2 times 36 = 9(t-2) + 3 + 6 = 9(t-1) = 279
t - 1 = 279/9 = 31
t = xy = 32

IMO E
User avatar
HarshavardhanR
Joined: 16 Mar 2023
Last visit: 19 Nov 2025
Posts: 427
Own Kudos:
Given Kudos: 60
Status:Independent GMAT Tutor
Affiliations: Ex - Director, Subject Matter Expertise at e-GMAT
Expert
Expert reply
Active GMAT Club Expert! Tag them with @ followed by their username for a faster response.
Posts: 427
Kudos: 461
Kudos
Add Kudos
Bookmarks
Bookmark this Post


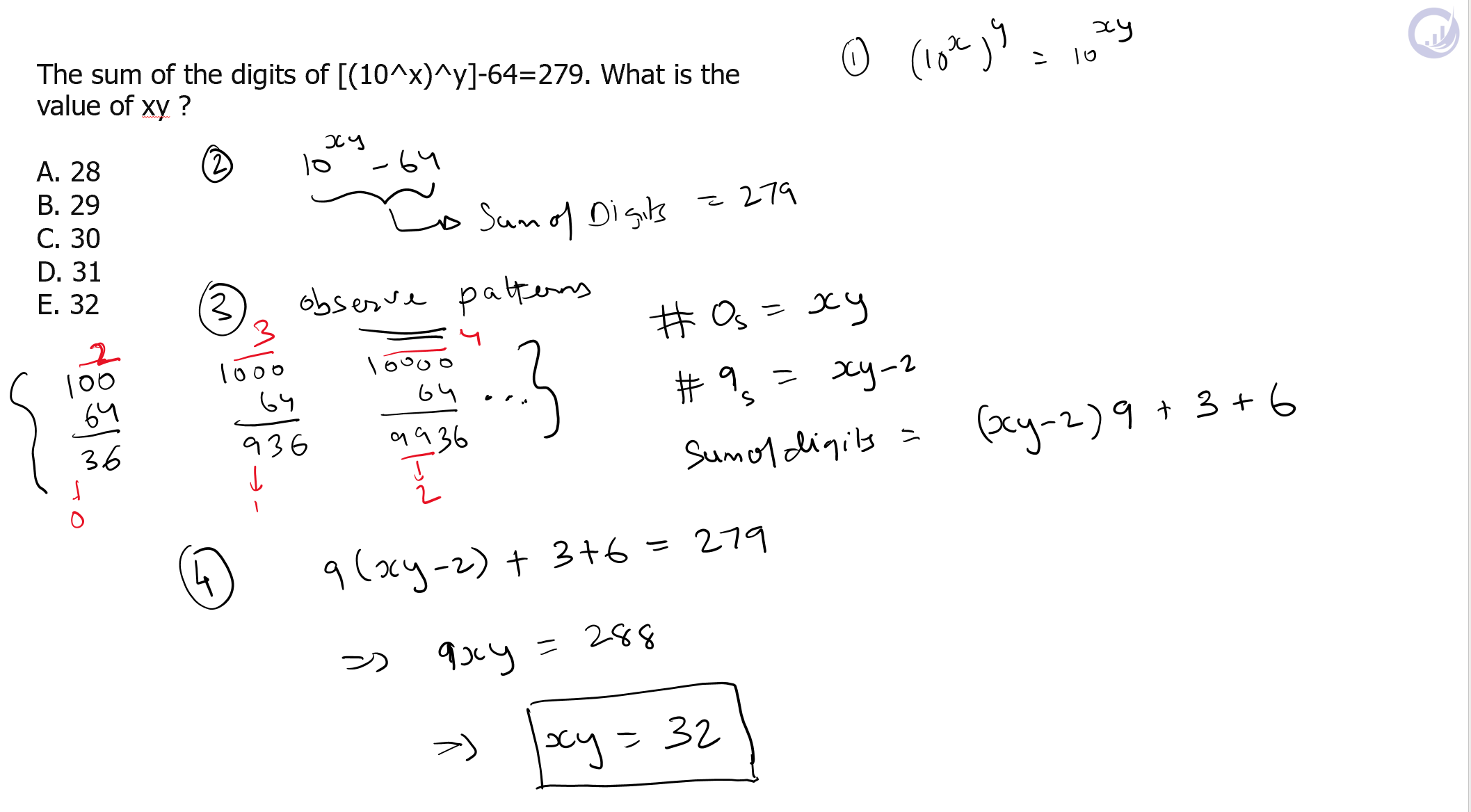
---
Harsha
Attachment:
GMAT-Club-Forum-t7jfrp4s.png
GMAT-Club-Forum-t7jfrp4s.png [ 179.29 KiB | Viewed 807 times ]
User avatar
lehung97
Joined: 23 Jun 2025
Last visit: 14 Nov 2025
Posts: 6
Own Kudos:
1
 [1]
Given Kudos: 18
Products:
Posts: 6
Kudos: 1
 [1]
1
Kudos
Add Kudos
Bookmarks
Bookmark this Post
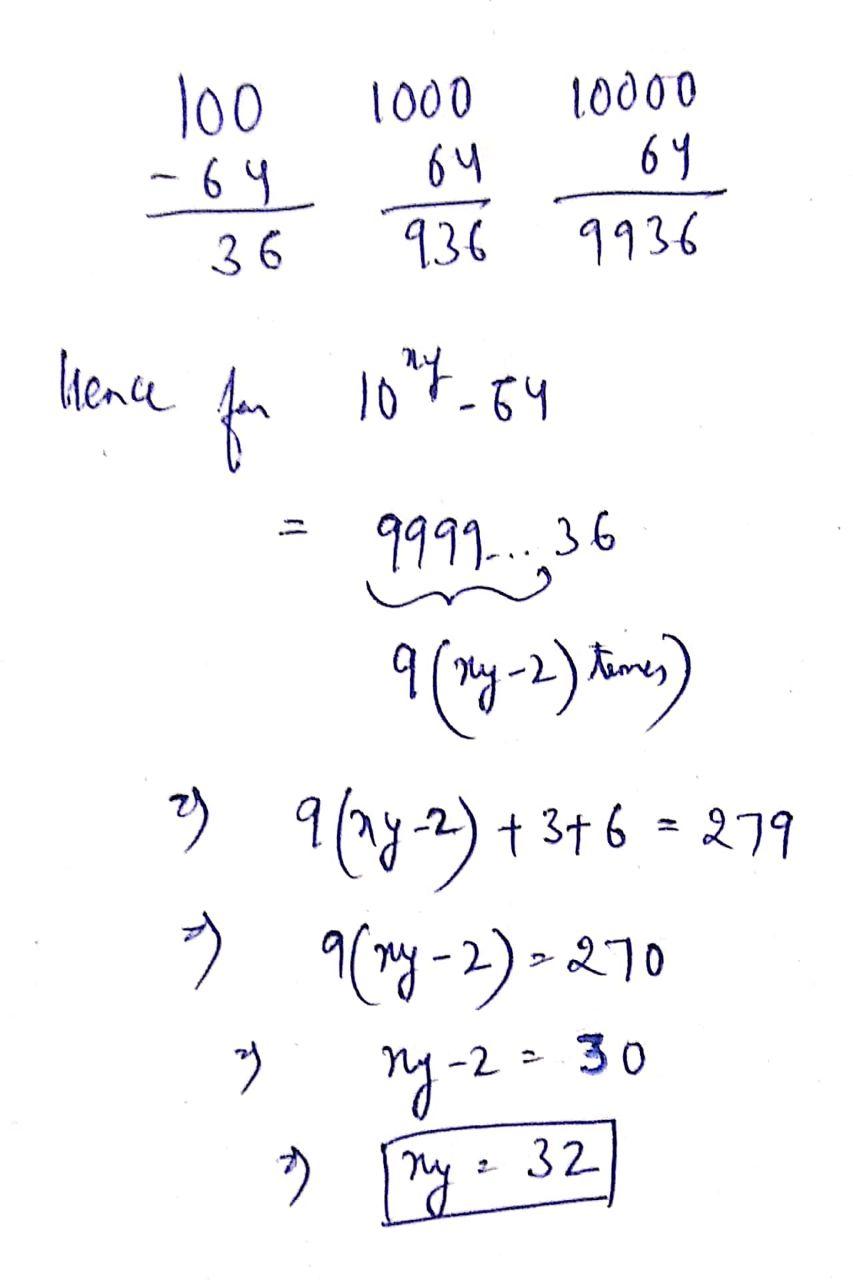
I paste it in image form as I cannot do the power in this chatbox. Hope the reasoning helps

'
Attachment:
GMAT-Club-Forum-gqywn0rs.png
GMAT-Club-Forum-gqywn0rs.png [ 67.19 KiB | Viewed 615 times ]
Moderators:
Math Expert
105408 posts
Tuck School Moderator
805 posts