Last visit was: 23 Apr 2026, 19:20 It is currently 23 Apr 2026, 19:20
Close
GMAT Club Daily Prep
Thank you for using the timer - this advanced tool can estimate your performance and suggest more practice questions. We have subscribed you to Daily Prep Questions via email.

Customized
for You

we will pick new questions that match your level based on your Timer History

Track
Your Progress

every week, we’ll send you an estimated GMAT score based on your performance

Practice
Pays

we will pick new questions that match your level based on your Timer History
Not interested in getting valuable practice questions and articles delivered to your email? No problem, unsubscribe here.
Close
Request Expert Reply
Confirm Cancel
avatar
tomchris
Joined: 31 Oct 2010
Last visit: 03 Mar 2011
Posts: 5
Own Kudos:
55
 [48]
Given Kudos: 1
Status:The only power in this world is your mind...
Concentration: Finance and Investments
Schools:LSE,WARWICK,EDINBURG,HEC,EDHEC,RSM
GPA: 6.8 out of 10
Posts: 5
Kudos: 55
 [48]
3
Kudos
Add Kudos
45
Bookmarks
Bookmark this Post
Most Helpful Reply
User avatar
shahideh
Joined: 25 May 2011
Last visit: 11 Mar 2012
Posts: 58
Own Kudos:
158
 [29]
Given Kudos: 71
Posts: 58
Kudos: 158
 [29]
24
Kudos
Add Kudos
5
Bookmarks
Bookmark this Post
User avatar
Bunuel
User avatar
Math Expert
Joined: 02 Sep 2009
Last visit: 23 Apr 2026
Posts: 109,785
Own Kudos:
Given Kudos: 105,853
Products:
Expert
Expert reply
Active GMAT Club Expert! Tag them with @ followed by their username for a faster response.
Posts: 109,785
Kudos: 810,874
 [12]
6
Kudos
Add Kudos
6
Bookmarks
Bookmark this Post
General Discussion
avatar
tomchris
Joined: 31 Oct 2010
Last visit: 03 Mar 2011
Posts: 5
Own Kudos:
Given Kudos: 1
Status:The only power in this world is your mind...
Concentration: Finance and Investments
Schools:LSE,WARWICK,EDINBURG,HEC,EDHEC,RSM
GPA: 6.8 out of 10
Posts: 5
Kudos: 55
Kudos
Add Kudos
Bookmarks
Bookmark this Post
is it so obvious ?
x+40/x+10 = 4/1
User avatar
KarishmaB
Joined: 16 Oct 2010
Last visit: 23 Apr 2026
Posts: 16,441
Own Kudos:
79,397
 [9]
Given Kudos: 484
Location: Pune, India
Expert
Expert reply
Active GMAT Club Expert! Tag them with @ followed by their username for a faster response.
Posts: 16,441
Kudos: 79,397
 [9]
8
Kudos
Add Kudos
1
Bookmarks
Bookmark this Post
tomchris
Printer a takes 40 more minutes to print the pages of a book than do the printers a and b together , whereas printer b takes 10 more minutes to print the same pages than do the printers a and b together . What is the ratio of the time taken by printer
a to the time taken by printer b to print these pages ?

A) 1:2
B) 2:1
C) 3:1
d) 4:1
E) 10:1

Bunuel has already given the algebraic approach.
Now let's try to solve it logically.

Lets say they work for x minutes together and complete the work.
a, working alone, takes 40 mins extra - work done by A is 40 mins is the amount of work that was done by b in x minutes when they worked together.
So time taken by a: time taken by b = 40:x .... (I)
Similarly, when b works alone, he takes 10 mins extra - the same work was done by a in x mins when they worked together
time taken by a:time taken by b = x:10 ......(II)
From (I) and (II), 40/x = x/10 or x = 20
So time taken by a: time taken by b = 40:x = 40:20 = 2:1
Answer (B)
User avatar
Skag55
Joined: 26 Feb 2013
Last visit: 01 Aug 2014
Posts: 121
Own Kudos:
Given Kudos: 25
Posts: 121
Kudos: 191
Kudos
Add Kudos
Bookmarks
Bookmark this Post
I tried to pick a number but that's wrong, why?

a+b complete the job in 10 minutes
a in 10+40, b in 10 + 10
User avatar
Bunuel
User avatar
Math Expert
Joined: 02 Sep 2009
Last visit: 23 Apr 2026
Posts: 109,785
Own Kudos:
810,874
 [1]
Given Kudos: 105,853
Products:
Expert
Expert reply
Active GMAT Club Expert! Tag them with @ followed by their username for a faster response.
Posts: 109,785
Kudos: 810,874
 [1]
1
Kudos
Add Kudos
Bookmarks
Bookmark this Post
Skag55
I tried to pick a number but that's wrong, why?

a+b complete the job in 10 minutes
a in 10+40, b in 10 + 10

This is wrong on many levels.

You cannot pick some random numbers and hope that they will give you the required ratio. Do your numbers satisfy the stem saying that "printer a takes 40 more minutes to print the pages of a book than do the printers a and b together, whereas printer b takes 10 more minutes to print the same pages than do the printers a and b together"?

Also, you made the same mistake as you did here: two-water-pumps-working-simultaneously-at-their-respective-155865.html#p1270965

Seems that you need to brush up fundamentals. Check here: machines-x-and-v-produced-identical-bottles-at-different-104208.html#p812628

Hope it helps.
User avatar
b2bt
Joined: 25 Sep 2012
Last visit: 14 Apr 2024
Posts: 192
Own Kudos:
Given Kudos: 242
Location: India
Concentration: Strategy, Marketing
GMAT 1: 660 Q49 V31
GMAT 2: 680 Q48 V34
Products:
GMAT 2: 680 Q48 V34
Posts: 192
Kudos: 651
Kudos
Add Kudos
Bookmarks
Bookmark this Post
VeritasPrepKarishma
tomchris
Printer a takes 40 more minutes to print the pages of a book than do the printers a and b together , whereas printer b takes 10 more minutes to print the same pages than do the printers a and b together . What is the ratio of the time taken by printer
a to the time taken by printer b to print these pages ?

A) 1:2
B) 2:1
C) 3:1
d) 4:1
E) 10:1

Bunuel has already given the algebraic approach.
Now let's try to solve it logically.

Lets say they work for x minutes together and complete the work.
a, working alone, takes 40 mins extra - work done by A is 40 mins is the amount of work that was done by b in x minutes when they worked together.
So Speed of a: speed of b = 40:x .... (I)
Similarly, when b works alone, he takes 10 mins extra - the same work was done by a in x mins when they worked together
Speed of a:Speed of b = x:10 ......(II)
From (I) and (II), 40/x = x/10 or x = 20
So Speed of a: speed of b = 40:x = 40:20 = 2:1
Answer (B)


I didn't understand how we concluded this >>> So Speed of a: speed of b = 40:x .... (I)
Can you please shed some light...
User avatar
Skag55
Joined: 26 Feb 2013
Last visit: 01 Aug 2014
Posts: 121
Own Kudos:
Given Kudos: 25
Posts: 121
Kudos: 191
Kudos
Add Kudos
Bookmarks
Bookmark this Post
Bunuel
Skag55
I tried to pick a number but that's wrong, why?

a+b complete the job in 10 minutes
a in 10+40, b in 10 + 10

This is wrong on many levels.

You cannot pick some random numbers and hope that they will give you the required ratio. Do your numbers satisfy the stem saying that "printer a takes 40 more minutes to print the pages of a book than do the printers a and b together, whereas printer b takes 10 more minutes to print the same pages than do the printers a and b together"?

Also, you made the same mistake as you did here: two-water-pumps-working-simultaneously-at-their-respective-155865.html#p1270965

Seems that you need to brush up fundamentals. Check here: machines-x-and-v-produced-identical-bottles-at-different-104208.html#p812628

Hope it helps.

Yeah, I'm trying to :oops:
Thanks!
User avatar
KarishmaB
Joined: 16 Oct 2010
Last visit: 23 Apr 2026
Posts: 16,441
Own Kudos:
79,397
 [2]
Given Kudos: 484
Location: Pune, India
Expert
Expert reply
Active GMAT Club Expert! Tag them with @ followed by their username for a faster response.
Posts: 16,441
Kudos: 79,397
 [2]
2
Kudos
Add Kudos
Bookmarks
Bookmark this Post
b2bt
VeritasPrepKarishma
tomchris
Printer a takes 40 more minutes to print the pages of a book than do the printers a and b together , whereas printer b takes 10 more minutes to print the same pages than do the printers a and b together . What is the ratio of the time taken by printer
a to the time taken by printer b to print these pages ?

A) 1:2
B) 2:1
C) 3:1
d) 4:1
E) 10:1

Bunuel has already given the algebraic approach.
Now let's try to solve it logically.

Lets say they work for x minutes together and complete the work.
a, working alone, takes 40 mins extra - work done by A is 40 mins is the amount of work that was done by b in x minutes when they worked together.
So Speed of a: speed of b = 40:x .... (I)
Similarly, when b works alone, he takes 10 mins extra - the same work was done by a in x mins when they worked together
Speed of a:Speed of b = x:10 ......(II)
From (I) and (II), 40/x = x/10 or x = 20
So Speed of a: speed of b = 40:x = 40:20 = 2:1
Answer (B)


I didn't understand how we concluded this >>> So Speed of a: speed of b = 40:x .... (I)
Can you please shed some light...

This method makes use of ratios. I have discussed the use of ratios in work problems here: https://www.gmatclub.com/forum/veritas-prep-resource-links-no-longer-available-399979.html#/2011/03 ... -problems/

Imagine the case in which both printers are working together and printing, say 100 pages in x mins. Let's say printer a prints 40 pages and printer b prints 60 pages in this time.

Say, you get another 100 pages to print but you notice that printer b is busy. So you use only printer a to print the 100 pages. This time it takes you more time (obviously) - it takes you (x + 40) mins.
What can we conclude? We can say that printer a takes 40 mins to do the work that printer b was doing in x mins. Printer b was printing those 60 pages in x mins but now printer a has to do that work too and it takes an extra 40 mins to print those pages printed by b previously.

Time taken by printer a to do some work : time taken by printer b to do the same work = 40:x (Actually, I am working with time taken all through but writing speed. Will edit it)
Similarly, Time taken by printer a to do some work:time taken by printer b to do the same work = x:10
x = 20
Time taken by printer a to do some work : time taken by printer b to do the same work = 40:20 = 2:1
User avatar
TGC
Joined: 03 Aug 2012
Last visit: 19 Jul 2017
Posts: 572
Own Kudos:
3,621
 [2]
Given Kudos: 322
Concentration: General Management, General Management
GMAT 1: 630 Q47 V29
GMAT 2: 680 Q50 V32
GPA: 3.7
WE:Information Technology (Finance: Investment Banking)
GMAT 2: 680 Q50 V32
Posts: 572
Kudos: 3,621
 [2]
2
Kudos
Add Kudos
Bookmarks
Bookmark this Post
Another approach:

A: t+40
A and B : t
B: t+10

Equation Rate(A and B) = Rate(A) + Rate(B)

1/(t+40) + 1/(t+10) = 1/t

2t^2 +50t = t^2+50t+400

t^2=400
t=20

Ratio is t+40/(t+20) hence (B)
avatar
tyagigar
Joined: 11 Jul 2013
Last visit: 26 Nov 2023
Posts: 24
Own Kudos:
Given Kudos: 35
Products:
Posts: 24
Kudos: 9
Kudos
Add Kudos
Bookmarks
Bookmark this Post
VeritasPrepKarishma
tomchris
Printer a takes 40 more minutes to print the pages of a book than do the printers a and b together , whereas printer b takes 10 more minutes to print the same pages than do the printers a and b together . What is the ratio of the time taken by printer
a to the time taken by printer b to print these pages ?

A) 1:2
B) 2:1
C) 3:1
d) 4:1
E) 10:1

Bunuel has already given the algebraic approach.
Now let's try to solve it logically.

Lets say they work for x minutes together and complete the work.
a, working alone, takes 40 mins extra - work done by A is 40 mins is the amount of work that was done by b in x minutes when they worked together.
So time taken by a: time taken by b = 40:x .... (I)
Similarly, when b works alone, he takes 10 mins extra - the same work was done by a in x mins when they worked together
time taken by a:time taken by b = x:10 ......(II)
From (I) and (II), 40/x = x/10 or x = 20
So time taken by a: time taken by b = 40:x = 40:20 = 2:1
Answer (B)


can you please explain this part """"Lets say they work for x minutes together and complete the work.
a, working alone, takes 40 mins extra - work done by A is 40 mins is the amount of work that was done by b in x minutes when they worked together.
So time taken by a: time taken by b = 40:x .... (I)"""""
once again , i can not come to terms with the solution ( how can a:b equals 40 : x)
User avatar
KarishmaB
Joined: 16 Oct 2010
Last visit: 23 Apr 2026
Posts: 16,441
Own Kudos:
Given Kudos: 484
Location: Pune, India
Expert
Expert reply
Active GMAT Club Expert! Tag them with @ followed by their username for a faster response.
Posts: 16,441
Kudos: 79,397
Kudos
Add Kudos
Bookmarks
Bookmark this Post
tyagigar


can you please explain this part """"Lets say they work for x minutes together and complete the work.
a, working alone, takes 40 mins extra - work done by A is 40 mins is the amount of work that was done by b in x minutes when they worked together.
So time taken by a: time taken by b = 40:x .... (I)"""""
once again , i can not come to terms with the solution ( how can a:b equals 40 : x)

Take another example:

Say you are your friend work together on a project (say, writing 8 pages) and complete it in 4 hours (both write one page each hour). If you work alone, you take 8 hrs to complete it (one page each hour). Why? Because you need extra 4 hrs to complete the work (4 pages) which was previously done by your friend. Here, the numbers assumed that you and your friend have the same speed of work and hence did equal work when you worked together.

Now imagine this, you are your friend work together on a project (8 pages) and complete it in 4 hours but if you work alone, you take 7 hrs to complete it? Why? Because you need extra 3 hrs to complete the work which was previously done by your friend. Now, we see that you are faster than your friend. In 3 hrs, you complete what he was supposed to do in 4 hrs (while you were also working). So you write more than 1 page an hour while your friend writes less than one page an hour. The work for which he takes 4 hrs, you take only 3 hrs.

Time taken by him:Time taken by you = 4:3

Does this make sense?

If yes, then come back to this question. It is the same concept.

Both take x mins together.
a takes 40 mins extra when working alone. This means that in 40 mins, a does the work b was supposed to complete in x mins.

Time taken by a:Time taken by b = 40:x
User avatar
JeffTargetTestPrep
User avatar
Target Test Prep Representative
Joined: 04 Mar 2011
Last visit: 05 Jan 2024
Posts: 2,974
Own Kudos:
Given Kudos: 1,646
Status:Head GMAT Instructor
Affiliations: Target Test Prep
Expert
Expert reply
Posts: 2,974
Kudos: 8,710
Kudos
Add Kudos
Bookmarks
Bookmark this Post
tomchris
Printer a takes 40 more minutes to print the pages of a book than do the printers a and b together, whereas printer b takes 10 more minutes to print the same pages than do the printers a and b together. What is the ratio of the time taken by printer a to the time taken by printer b to print these pages ?

A. 1:2
B. 2:1
C. 3:1
D. 4:1
E. 10:1

Let the time for both printers working together to print the pages be x. We see that printer a needs x + 40 minutes and printer b needs x + 10 minutes to print these pages.

Since rate = work/time, printer a completes 1/(x + 40) of the job per minute and printer b completes 1/(x + 10) of the job per minute. Together, they complete:

1/(x + 40) + 1/(x + 10) = (2x + 50)/[(x + 40)(x + 10)] of the job per minute

Since we know that they need x minutes to complete the job, the fraction of the job they can complete per minute (when they work together) is also equal to 1/x. We can equate the two expressions and solve for x:

(2x + 50)/[(x + 40)(x + 10)] = 1/x

2x^2 + 50x = (x + 40)(x + 10)

2x^2 + 50x = x^2 + 50x + 400

x^2 = 400

x = 20

So, it takes 20 minutes to get the job done when both printers work together. From the given information, printer a needs 20 + 40 = 60 minutes and printer b needs 20 + 10 = 30 minutes. The ratio of the time of printer a to that of printer b is 60:30 which is equivalent to 2:1.

Answer: B
User avatar
papagorgio
Joined: 08 May 2011
Last visit: 19 Jan 2021
Posts: 20
Own Kudos:
14
 [1]
Given Kudos: 22
Location: Canada
Posts: 20
Kudos: 14
 [1]
Kudos
Add Kudos
1
Bookmarks
Bookmark this Post
tomchris
Printer a takes 40 more minutes to print the pages of a book than do the printers a and b together, whereas printer b takes 10 more minutes to print the same pages than do the printers a and b together. What is the ratio of the time taken by printer a to the time taken by printer b to print these pages ?

A. 1:2
B. 2:1
C. 3:1
D. 4:1
E. 10:1

My solution was the very similar to JeffTargetTestPrep;


Equation:

"x" denotes "total time"

Step1:

\(\frac{1}{x+40} + \frac{1}{x+10} = \frac{1}{x}\)


Step 2: Expand

\(\frac{x+10+x+40}{x^2+10x+40x+400}=\frac{1}{x}\)


Step 3: Simplify

\(\frac{2x+50}{x^2+50x+400}=\frac{1}{x}\)

\(2x+50=\frac{x^2+50x+400}{x}\)

\(2x+50=x+50+\frac{400}{x}\)

\(x=\frac{400}{x}\)

\(x^2=400\)

\(x=20\)


Step 4: Put "x" (20) back into the original equation:

\(\frac{1}{20+40} + \frac{1}{20+10} = \frac{1}{20}\)


Final equation:

\(\frac{1}{60} +\frac{1}{30}= \frac{1}{20}\)

As you can see, the ratio for machine A to B is 60:30 or 2:1
User avatar
SVaidyaraman
Joined: 17 Dec 2012
Last visit: 11 Jul 2025
Posts: 566
Own Kudos:
Given Kudos: 20
Location: India
Expert
Expert reply
Posts: 566
Kudos: 1,833
Kudos
Add Kudos
Bookmarks
Bookmark this Post
tomchris
Printer a takes 40 more minutes to print the pages of a book than do the printers a and b together, whereas printer b takes 10 more minutes to print the same pages than do the printers a and b together. What is the ratio of the time taken by printer a to the time taken by printer b to print these pages ?

A. 1:2
B. 2:1
C. 3:1
D. 4:1
E. 10:1
1. Let the time taken when both print together be x.
2. Time taken by A is x+40 and time taken by B is x+10
3. 1/(x+40) +1/(x+10) = 1/x.
4. x=20, So the ratio is 2:1.
User avatar
GMATinsight
User avatar
Major Poster
Joined: 08 Jul 2010
Last visit: 23 Apr 2026
Posts: 6,976
Own Kudos:
16,908
 [1]
Given Kudos: 128
Status:GMAT/GRE Tutor l Admission Consultant l On-Demand Course creator
Location: India
GMAT: QUANT+DI EXPERT
Schools: IIM (A) ISB '24
GMAT 1: 750 Q51 V41
WE:Education (Education)
Products:
Expert
Expert reply
Schools: IIM (A) ISB '24
GMAT 1: 750 Q51 V41
Posts: 6,976
Kudos: 16,908
 [1]
1
Kudos
Add Kudos
Bookmarks
Bookmark this Post
tomchris
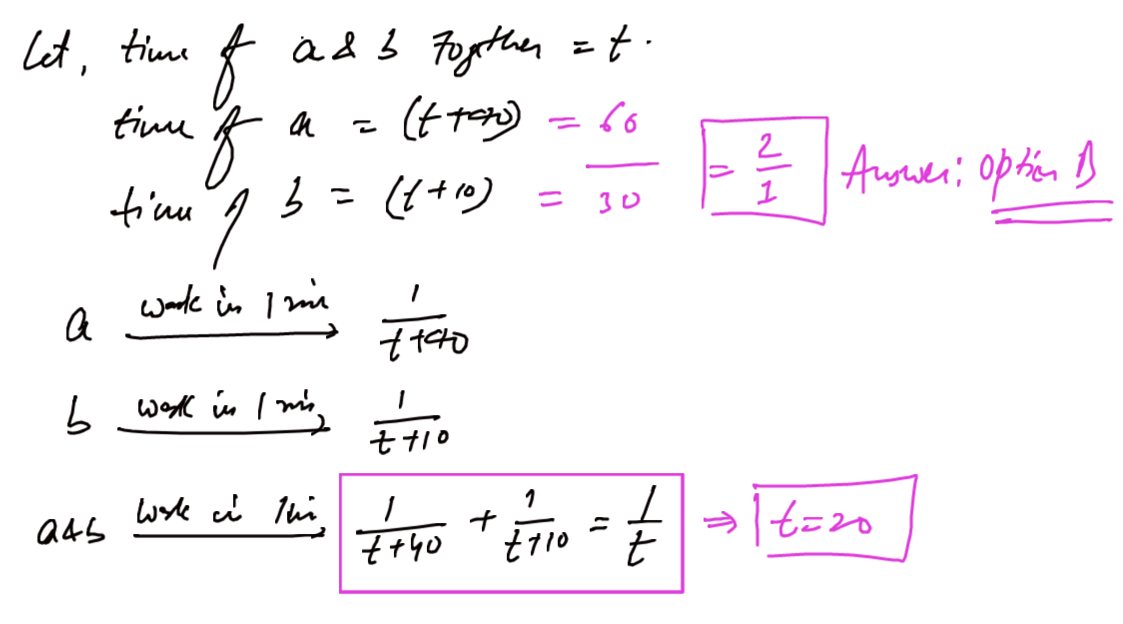
Printer a takes 40 more minutes to print the pages of a book than do the printers a and b together, whereas printer b takes 10 more minutes to print the same pages than do the printers a and b together. What is the ratio of the time taken by printer a to the time taken by printer b to print these pages ?

A. 1:2
B. 2:1
C. 3:1
D. 4:1
E. 10:1

Answer: option B


Check solution attached
Attachments

Screen Shot 2018-09-14 at 9.42.43 AM.png
Screen Shot 2018-09-14 at 9.42.43 AM.png [ 367.63 KiB | Viewed 8937 times ]

User avatar
bumpbot
User avatar
Non-Human User
Joined: 09 Sep 2013
Last visit: 04 Jan 2021
Posts: 38,964
Own Kudos:
Posts: 38,964
Kudos: 1,117
Kudos
Add Kudos
Bookmarks
Bookmark this Post
Automated notice from GMAT Club BumpBot:

A member just gave Kudos to this thread, showing it’s still useful. I’ve bumped it to the top so more people can benefit. Feel free to add your own questions or solutions.

This post was generated automatically.
Moderators:
Math Expert
109785 posts
Tuck School Moderator
853 posts