Events & Promotions
| Last visit was: 19 May 2026, 21:20 |
It is currently 19 May 2026, 21:20 |
|
|
Customized
for You
Track
Your Progress
Practice
Pays
12:30 AM EDT
-01:30 AM EDT
08:00 AM PDT
-08:30 AM PDT
01:00 PM IST
-11:00 AM IST
12:00 PM PDT
-01:00 PM PDT
01:00 AM EDT
-02:00 AM EDT
10:00 AM PDT
-11:00 AM PDT
06:00 AM PDT
-06:15 PM PDT
Difficulty:
Question Stats:
81% (01:45) correct
19%
(02:19)
wrong
based on 7366
sessions
History

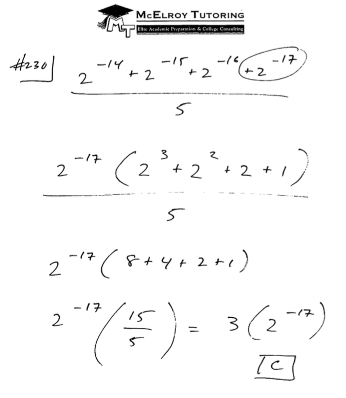
Solution.PNG [ 4.04 KiB | Viewed 145551 times ]
gmatclub 2-17.png [ 27.9 KiB | Viewed 137058 times ]
Screen Shot 2017-09-20 at 10.31.39 AM.png [ 98.14 KiB | Viewed 117054 times ]
Success stories and strategies from high-scoring candidates.