Last visit was: 22 Apr 2026, 17:02 It is currently 22 Apr 2026, 17:02
Close
GMAT Club Daily Prep
Thank you for using the timer - this advanced tool can estimate your performance and suggest more practice questions. We have subscribed you to Daily Prep Questions via email.

Customized
for You

we will pick new questions that match your level based on your Timer History

Track
Your Progress

every week, we’ll send you an estimated GMAT score based on your performance

Practice
Pays

we will pick new questions that match your level based on your Timer History
Not interested in getting valuable practice questions and articles delivered to your email? No problem, unsubscribe here.
Close
Request Expert Reply
Confirm Cancel
User avatar
saswata4s
User avatar
Current Student
Joined: 28 May 2014
Last visit: 11 Apr 2023
Posts: 412
Own Kudos:
1,272
 [18]
Given Kudos: 103
GMAT 1: 730 Q49 V41
GMAT 1: 730 Q49 V41
Posts: 412
Kudos: 1,272
 [18]
4
Kudos
Add Kudos
14
Bookmarks
Bookmark this Post
Most Helpful Reply
User avatar
JeffTargetTestPrep
User avatar
Target Test Prep Representative
Joined: 04 Mar 2011
Last visit: 05 Jan 2024
Posts: 2,974
Own Kudos:
8,710
 [6]
Given Kudos: 1,646
Status:Head GMAT Instructor
Affiliations: Target Test Prep
Expert
Expert reply
Posts: 2,974
Kudos: 8,710
 [6]
1
Kudos
Add Kudos
5
Bookmarks
Bookmark this Post
General Discussion
avatar
Harshit401
Joined: 21 Jan 2017
Last visit: 14 Feb 2017
Posts: 9
Own Kudos:
2
 [2]
Posts: 9
Kudos: 2
 [2]
2
Kudos
Add Kudos
Bookmarks
Bookmark this Post
avatar
mbah191
Joined: 01 Apr 2015
Last visit: 15 Oct 2019
Posts: 19
Own Kudos:
Given Kudos: 11
Location: United States
Posts: 19
Kudos: 7
Kudos
Add Kudos
Bookmarks
Bookmark this Post
Hi Jeff,
I'm not sure I understand the shortcut. Can you explain why we can do this? Thanks!
-Max
User avatar
saukrit
Joined: 05 Jul 2018
Last visit: 08 Apr 2026
Posts: 378
Own Kudos:
425
 [2]
Given Kudos: 326
Status:Current student at IIMB
Affiliations: IIM Bangalore
Location: India
Concentration: General Management, Technology
GMAT 1: 600 Q47 V26
GRE 1: Q162 V149
GPA: 3.6
WE:Information Technology (Consulting)
Products:
GMAT 1: 600 Q47 V26
GRE 1: Q162 V149
Posts: 378
Kudos: 425
 [2]
1
Kudos
Add Kudos
Bookmarks
Bookmark this Post
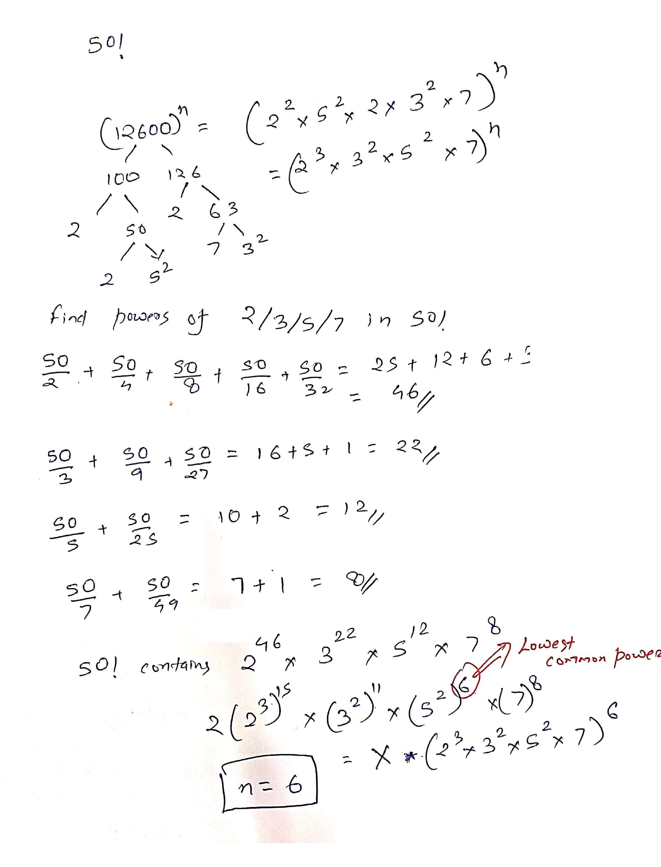
Please refer the image explanation below
Attachments

50! answer.jpg
50! answer.jpg [ 353.32 KiB | Viewed 21387 times ]

User avatar
TheGuyDangerous
User avatar
Current Student
Joined: 10 Sep 2019
Last visit: 11 Dec 2022
Posts: 137
Own Kudos:
37
 [4]
Given Kudos: 59
Location: India
Concentration: Social Entrepreneurship, Healthcare
GMAT 1: 680 Q49 V33
GMAT 2: 720 Q50 V37
GRE 1: Q167 V159
GPA: 2.59
WE:Project Management (Non-Profit and Government)
Products:
4
Kudos
Add Kudos
Bookmarks
Bookmark this Post
Prime factorization of 12600 = 2^3*3^2*5^2*7

Thought the biggest number (which would have the smallest power) is 7, let's find the number of powers of the prime factors 7 & 5 in 50!

for 7,

50/7 + 50/49 = 7 + 1 = 8 => 7^8

for 5,

50/5 + 50/25 = 10 + 2 = 12 => 5^12

There's a 5^2 & 7^1 in 12600 so 6 powers of 12600 are possible in 50!

Ans B
User avatar
bumpbot
User avatar
Non-Human User
Joined: 09 Sep 2013
Last visit: 04 Jan 2021
Posts: 38,965
Own Kudos:
Posts: 38,965
Kudos: 1,117
Kudos
Add Kudos
Bookmarks
Bookmark this Post
Automated notice from GMAT Club BumpBot:

A member just gave Kudos to this thread, showing it’s still useful. I’ve bumped it to the top so more people can benefit. Feel free to add your own questions or solutions.

This post was generated automatically.
Moderators:
Math Expert
109754 posts
Tuck School Moderator
853 posts