Last visit was: 21 Apr 2026, 00:22 It is currently 21 Apr 2026, 00:22
Close
GMAT Club Daily Prep
Thank you for using the timer - this advanced tool can estimate your performance and suggest more practice questions. We have subscribed you to Daily Prep Questions via email.

Customized
for You

we will pick new questions that match your level based on your Timer History

Track
Your Progress

every week, we’ll send you an estimated GMAT score based on your performance

Practice
Pays

we will pick new questions that match your level based on your Timer History
Not interested in getting valuable practice questions and articles delivered to your email? No problem, unsubscribe here.
Close
Request Expert Reply
Confirm Cancel
User avatar
Bunuel
User avatar
Math Expert
Joined: 02 Sep 2009
Last visit: 20 Apr 2026
Posts: 109,715
Own Kudos:
Given Kudos: 105,795
Products:
Expert
Expert reply
Active GMAT Club Expert! Tag them with @ followed by their username for a faster response.
Posts: 109,715
Kudos: 810,322
 [367]
23
Kudos
Add Kudos
343
Bookmarks
Bookmark this Post
Most Helpful Reply
avatar
DG1989
Joined: 16 Feb 2023
Last visit: 24 Dec 2024
Posts: 140
Own Kudos:
310
 [101]
Given Kudos: 9
Location: India
Concentration: Finance, Technology
Schools: Kellogg '26
GPA: 4
Schools: Kellogg '26
Posts: 140
Kudos: 310
 [101]
54
Kudos
Add Kudos
46
Bookmarks
Bookmark this Post
User avatar
Paras96
Joined: 11 Sep 2022
Last visit: 30 Dec 2023
Posts: 456
Own Kudos:
337
 [26]
Given Kudos: 2
Location: India
Paras: Bhawsar
GMAT 1: 590 Q47 V24
GMAT 2: 580 Q49 V21
GMAT 3: 700 Q49 V35
GPA: 3.2
WE:Project Management (Other)
GMAT 3: 700 Q49 V35
Posts: 456
Kudos: 337
 [26]
22
Kudos
Add Kudos
4
Bookmarks
Bookmark this Post
General Discussion
User avatar
gmatophobia
User avatar
Quant Chat Moderator
Joined: 22 Dec 2016
Last visit: 19 Apr 2026
Posts: 3,173
Own Kudos:
11,438
 [9]
Given Kudos: 1,862
Location: India
Concentration: Strategy, Leadership
Posts: 3,173
Kudos: 11,438
 [9]
7
Kudos
Add Kudos
1
Bookmarks
Bookmark this Post
Bunuel
The value of \((\sqrt{8!} + \sqrt{9!})^2\) is an integer. What is the greatest integer n such that \(2^n\) is a factor of \((\sqrt{8!} + \sqrt{9!})^2\)?

A. 3
B. 6
C. 8
D. 11
E. 14

\(x = 8! \)

\((\sqrt{8!} + \sqrt{9*8!})^2\)

\((\sqrt{x} + \sqrt{9x})^2\)

\(x + 9x + 2\sqrt{x}*\sqrt{9x} \)

\(10x + 2\sqrt{x * 9x}\)

\(10x + 2\sqrt{9x^2}\)

\(10x + 6x\)

\(16x\)

\(16*8!\)

Power or 2 in 16 = 4 (because \(2^4 = 16\))

Power of 2 in 8! = 7
8/2 = 4
4/2 = 2
2/2 = 1

4 + 2 + 1 = 7
Power of 2 in (\(16*8!\)) = \(2^4 * 2^7 = 2^{11}\)

Option D
User avatar
JeffTargetTestPrep
User avatar
Target Test Prep Representative
Joined: 04 Mar 2011
Last visit: 05 Jan 2024
Posts: 2,974
Own Kudos:
8,708
 [19]
Given Kudos: 1,646
Status:Head GMAT Instructor
Affiliations: Target Test Prep
Expert
Expert reply
Posts: 2,974
Kudos: 8,708
 [19]
9
Kudos
Add Kudos
10
Bookmarks
Bookmark this Post
Bunuel
The value of \((\sqrt{8!} + \sqrt{9!})^2\) is an integer. What is the greatest integer n such that \(2^n\) is a factor of \((\sqrt{8!} + \sqrt{9!})^2\)?

A. 3
B. 6
C. 8
D. 11
E. 14

(√8! + √9!)^2 = 8! + 2√(8!×9!) + 9! =

8! + 2√(8!×8!×9) + 9! =

8! + 2×8!×3 + 9! =

8!(1 + 6 + 9) =

8!×16 =

8!×2^4

We need to find the greatest integer n such that (8!×2^4)/2^n = integer. The expression above is an integer if n is not greater than the total number of 2s in the prime factored form of the numerator.

We can quickly determine the total number of 2s in the prime factored form of 8! with the following technique:

8/2 = 4; 4/2 = 2; 2/2 = 1

The total number of 2s is 4 + 2 + 1 = 7, so we have:

n ≤ 7 + 4 [We add 4 because there are 4 additional 2s in 2^4.]

n ≤ 11

We see that the maximum value of integer n is 11.

Answer: D
1
Kudos
Add Kudos
Bookmarks
Bookmark this Post
Can someone explain the last step please?

This one:
Power of 2 in 8!
8/2 + 8/4+ 8/8 = 4+2+1 =7
Power of 16 = 4
User avatar
Bunuel
User avatar
Math Expert
Joined: 02 Sep 2009
Last visit: 20 Apr 2026
Posts: 109,715
Own Kudos:
810,322
 [1]
Given Kudos: 105,795
Products:
Expert
Expert reply
Active GMAT Club Expert! Tag them with @ followed by their username for a faster response.
Posts: 109,715
Kudos: 810,322
 [1]
Kudos
Add Kudos
1
Bookmarks
Bookmark this Post
sanyashah
Can someone explain the last step please?

This one:
Power of 2 in 8!
8/2 + 8/4+ 8/8 = 4+2+1 =7
Power of 16 = 4

This is explained here Everything about Factorials on the GMAT.
User avatar
ashdank94
Joined: 20 Feb 2023
Last visit: 19 Sep 2024
Posts: 34
Own Kudos:
Given Kudos: 128
Posts: 34
Kudos: 26
Kudos
Add Kudos
Bookmarks
Bookmark this Post
Hello, could someone help me understand why the 16 has 4 2's? When I divide it by 2 it gives me 8 so I add it to the 7 2's I get in 8!
User avatar
Bunuel
User avatar
Math Expert
Joined: 02 Sep 2009
Last visit: 20 Apr 2026
Posts: 109,715
Own Kudos:
810,322
 [2]
Given Kudos: 105,795
Products:
Expert
Expert reply
Active GMAT Club Expert! Tag them with @ followed by their username for a faster response.
Posts: 109,715
Kudos: 810,322
 [2]
1
Kudos
Add Kudos
1
Bookmarks
Bookmark this Post
ashdank94
Hello, could someone help me understand why the 16 has 4 2's? When I divide it by 2 it gives me 8 so I add it to the 7 2's I get in 8!

When finding the highest integer power of a prime number p, in the n!, the factorial of a positive integer n, we calculate the following:

    \(\frac{n}{p}+\frac{n}{p^2}+\frac{n}{p^3}+...+\frac{n}{p^k}\), where \(k\) must be chosen such that \(p^k\leq{n}\)

Example:
What is the power of 2 in 25!?

    \(\frac{25}{2}+\frac{25}{4}+\frac{25}{8}+\frac{25}{16}=12+6+3+1=22\).

Observe that we take only the quotient of the division above, that is for example, 25/8 = 3.

However, in the problem at hand we have 16, not the factorial of 16, so since 16 = 2^4, then the highest integer power of 2 in 16 is 4. We need not use the formula above. If it were 16! instead, then the highest integer power of 2 in 16! would have been 16/2 + 16/4 + 16/8 + 16/16 = 8 + 4 + 2 + 1 = 15.

Check foe more here: Everything about Factorials on the GMAT.

Hope it's clear.
User avatar
KarishmaB
Joined: 16 Oct 2010
Last visit: 20 Apr 2026
Posts: 16,438
Own Kudos:
79,368
 [4]
Given Kudos: 484
Location: Pune, India
Expert
Expert reply
Active GMAT Club Expert! Tag them with @ followed by their username for a faster response.
Posts: 16,438
Kudos: 79,368
 [4]
4
Kudos
Add Kudos
Bookmarks
Bookmark this Post
 
Bunuel
The value of \((\sqrt{8!} + \sqrt{9!})^2\) is an integer. What is the greatest integer n such that \(2^n\) is a factor of \((\sqrt{8!} + \sqrt{9!})^2\)?

A. 3
B. 6
C. 8
D. 11
E. 14
­\((\sqrt{8!} + \sqrt{9!})^2\)

\(=(\sqrt{8!} + \sqrt{9*8!})^2\)

\(=(\sqrt{8!} + 3*\sqrt{8!})^2\)

\(=(4 * \sqrt{8!})^2\)

\(= 16*8!\)

\(= 2^4 * 8!\)

We know how to find the highest power in a factorial. The logic is discussed in the link of the post given below.
8/2 + 4/2 + 2/2 = 7

Hence we get have 4 2s from 2^4 and 7 2s from 8! giving us a total of 11 2s

Answer (D)

How to find maximum power in a factortial:
https://anaprep.com/number-properties-h ... actorials/
 ­
User avatar
DanTheGMATMan
Joined: 02 Oct 2015
Last visit: 18 Apr 2026
Posts: 380
Own Kudos:
267
 [4]
Given Kudos: 9
Expert
Expert reply
Posts: 380
Kudos: 267
 [4]
4
Kudos
Add Kudos
Bookmarks
Bookmark this Post
Try following this here:
­
User avatar
andrewjohn8
Joined: 12 Sep 2023
Last visit: 06 May 2025
Posts: 34
Own Kudos:
555
 [1]
Given Kudos: 628
Location: United States (NC)
GMAT Focus 1: 645 Q80 V88 DI78
WE:Real Estate (Finance)
GMAT Focus 1: 645 Q80 V88 DI78
Posts: 34
Kudos: 555
 [1]
1
Kudos
Add Kudos
Bookmarks
Bookmark this Post
Thought I'd add my solution since I believe I didn't see it anywhere.

I factored out the Sqrt(8!) first.

(sqrt(8!(1 + sqrt(9))^2

which reduces to

((sqrt(8!)*(4))^2

8!*16

Then to do the same method as others have shown to get that there are 7 factors of 2 in 8! plus the 4 factors of 2 in 16 means there are at most 11 factors of 2.­
User avatar
Danou
Joined: 14 Feb 2024
Last visit: 09 Mar 2025
Posts: 29
Own Kudos:
Given Kudos: 24
Posts: 29
Kudos: 112
Kudos
Add Kudos
Bookmarks
Bookmark this Post
gmatophobia

Bunuel
The value of \((\sqrt{8!} + \sqrt{9!})^2\) is an integer. What is the greatest integer n such that \(2^n\) is a factor of \((\sqrt{8!} + \sqrt{9!})^2\)?

A. 3
B. 6
C. 8
D. 11
E. 14
\(x = 8! \)

\((\sqrt{8!} + \sqrt{9*8!})^2\)

\((\sqrt{x} + \sqrt{9x})^2\)

\(x + 9x + 2\sqrt{x}*\sqrt{9x} \)

\(10x + 2\sqrt{x * 9x}\)

\(10x + 2\sqrt{9x^2}\)

\(10x + 6x\)

\(16x\)

\(16*8!\)

Power or 2 in 16 = 4 (because \(2^4 = 16\))

Power of 2 in 8! = 7
8/2 = 4
4/2 = 2
2/2 = 1

4 + 2 + 1 = 7
Power of 2 in (\(16*8!\)) = \(2^4 * 2^7 = 2^{11}\)

Option D
­I am having trouble understanding why there 7 "power of 2" in 8!. Could you further break it down please :)
User avatar
KarishmaB
Joined: 16 Oct 2010
Last visit: 20 Apr 2026
Posts: 16,438
Own Kudos:
Given Kudos: 484
Location: Pune, India
Expert
Expert reply
Active GMAT Club Expert! Tag them with @ followed by their username for a faster response.
Posts: 16,438
Kudos: 79,368
Kudos
Add Kudos
Bookmarks
Bookmark this Post
Danou
­I am having trouble understanding why there 7 "power of 2" in 8!. Could you further break it down please :)
­Discussed in detail here:
https://anaprep.com/number-properties-h ... actorials/
User avatar
Dbrunik
Joined: 13 Apr 2024
Last visit: 20 Apr 2026
Posts: 259
Own Kudos:
136
 [1]
Given Kudos: 267
Location: United States (MN)
Concentration: Finance, Technology
GMAT Focus 1: 625 Q84 V82 DI77
GMAT Focus 1: 625 Q84 V82 DI77
Posts: 259
Kudos: 136
 [1]
1
Kudos
Add Kudos
Bookmarks
Bookmark this Post
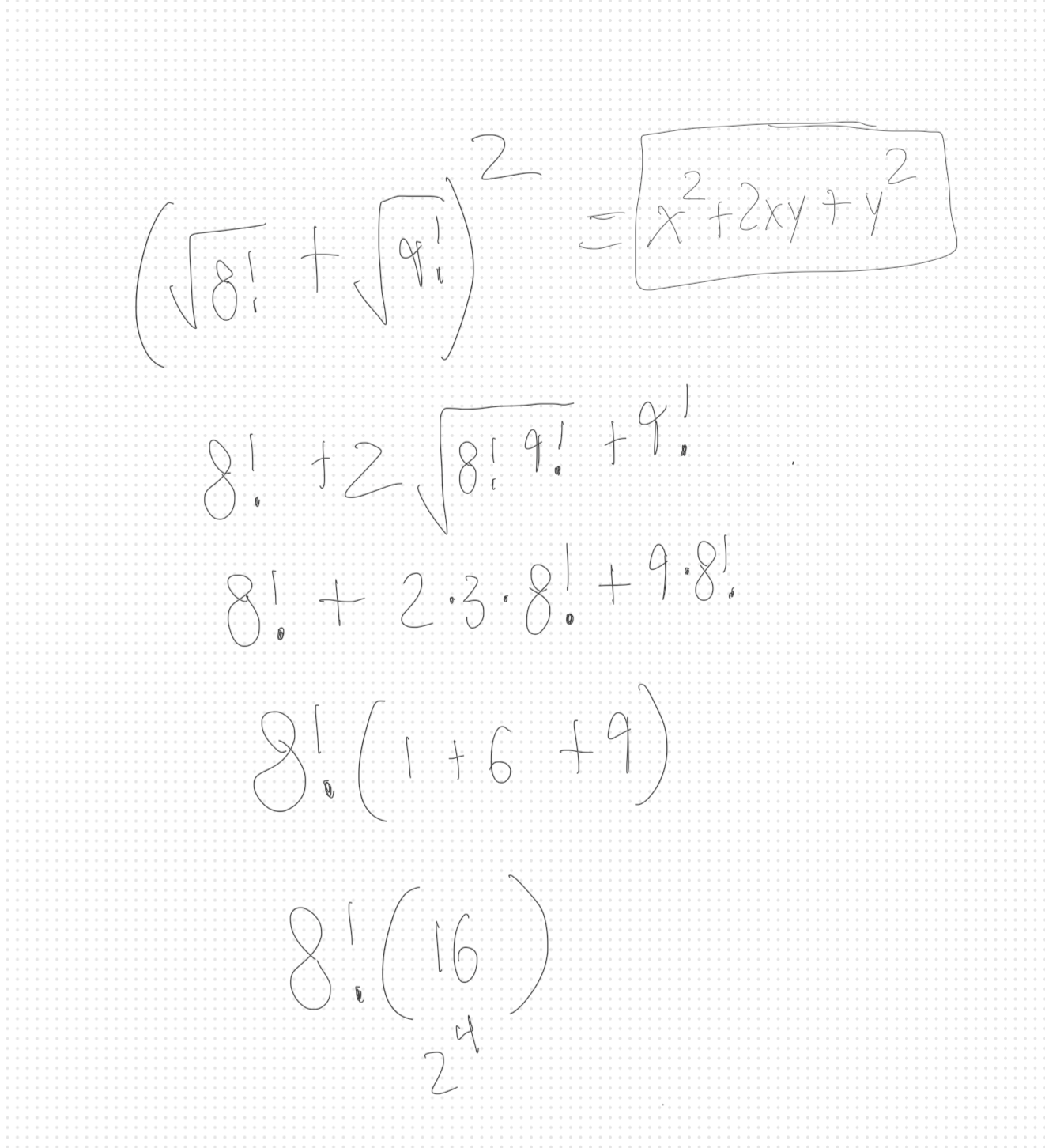
""\((\sqrt{8!} + \sqrt{9!})^2\) = (8! + 9! + 2 * \(\sqrt{8! * 9!}\))


This line is quite confusing. specifically the part with the two factorials under the radical (2xy)


here is a better way to break it down.




DG1989
Bunuel
The value of \((\sqrt{8!} + \sqrt{9!})^2\) is an integer. What is the greatest integer n such that \(2^n\) is a factor of \((\sqrt{8!} + \sqrt{9!})^2\)?

A. 3
B. 6
C. 8
D. 11
E. 14

\((\sqrt{8!} + \sqrt{9!})^2\) = (8! + 9! + 2 * \(\sqrt{8! * 9!}\))
= 8! + 9! + 2 * \(\sqrt{8! * 8! * 9}\)
= 8! + 9! + 2 * 3 * \(\sqrt{8! * 8!}\)
= 8! + 9! + 2 * 3 * 8!
= 8! * (1 + 9 + 6)
= 16 * 8!
= \(2^4\) * 8!

Now maximum power of 2 in 8! = 7
Hence total power of 2 in the given expression = \(2^4 * 2^7\)
= \(2^{11}\)

Thus for n = 11, \(2^n\) is a factor of \((\sqrt{8!} + \sqrt{9!})^2\)

Option D is the correct answer

Attachments

factorial factoring .png
factorial factoring .png [ 241.09 KiB | Viewed 27660 times ]

User avatar
hastyporpoise55
Joined: 02 Nov 2023
Last visit: 05 Mar 2025
Posts: 6
Given Kudos: 3
Posts: 6
Kudos: 0
Kudos
Add Kudos
Bookmarks
Bookmark this Post
Hi - would appreciate if anyone is able to clarify this for me ... i understand most of the logic in the above workings, except line 2 ... how does 2 (8!^1/2 * 9!^1/2) equate to what you then equated it to? thanks!

Dbrunik
""\((\sqrt{8!} + \sqrt{9!})^2\) = (8! + 9! + 2 * \(\sqrt{8! * 9!}\))


This line is quite confusing. specifically the part with the two factorials under the radical (2xy)


here is a better way to break it down.




DG1989
Bunuel
The value of \((\sqrt{8!} + \sqrt{9!})^2\) is an integer. What is the greatest integer n such that \(2^n\) is a factor of \((\sqrt{8!} + \sqrt{9!})^2\)?

A. 3
B. 6
C. 8
D. 11
E. 14

\((\sqrt{8!} + \sqrt{9!})^2\) = (8! + 9! + 2 * \(\sqrt{8! * 9!}\))
= 8! + 9! + 2 * \(\sqrt{8! * 8! * 9}\)
= 8! + 9! + 2 * 3 * \(\sqrt{8! * 8!}\)
= 8! + 9! + 2 * 3 * 8!
= 8! * (1 + 9 + 6)
= 16 * 8!
= \(2^4\) * 8!

Now maximum power of 2 in 8! = 7
Hence total power of 2 in the given expression = \(2^4 * 2^7\)
= \(2^{11}\)

Thus for n = 11, \(2^n\) is a factor of \((\sqrt{8!} + \sqrt{9!})^2\)

Option D is the correct answer
User avatar
Bunuel
User avatar
Math Expert
Joined: 02 Sep 2009
Last visit: 20 Apr 2026
Posts: 109,715
Own Kudos:
Given Kudos: 105,795
Products:
Expert
Expert reply
Active GMAT Club Expert! Tag them with @ followed by their username for a faster response.
Posts: 109,715
Kudos: 810,322
Kudos
Add Kudos
Bookmarks
Bookmark this Post
harrypurdie4
Hi - would appreciate if anyone is able to clarify this for me ... i understand most of the logic in the above workings, except line 2 ... how does 2 (8!^1/2 * 9!^1/2) equate to what you then equated it to? thanks!

9! = 8! * 9, so:

\(\sqrt{8! * 9!} = \sqrt{8! * (8! * 9)}=3\sqrt{8! * 8!}=3 *8!\).
User avatar
lindsey123
Joined: 19 Aug 2024
Last visit: 29 May 2025
Posts: 4
Given Kudos: 60
Posts: 4
Kudos: 0
Kudos
Add Kudos
Bookmarks
Bookmark this Post
thank you bunuel, this is really helpful!
Bunuel
ashdank94
Hello, could someone help me understand why the 16 has 4 2's? When I divide it by 2 it gives me 8 so I add it to the 7 2's I get in 8!

When finding the highest integer power of a prime number p, in the n!, the factorial of a positive integer n, we calculate the following:


\(\frac{n}{p}+\frac{n}{p^2}+\frac{n}{p^3}+...+\frac{n}{p^k}\), where \(k\) must be chosen such that \(p^k\leq{n}\)

Example:
What is the power of 2 in 25!?


\(\frac{25}{2}+\frac{25}{4}+\frac{25}{8}+\frac{25}{16}=12+6+3+1=22\).

Observe that we take only the quotient of the division above, that is for example, 25/8 = 3.

However, in the problem at hand we have 16, not the factorial of 16, so since 16 = 2^4, then the highest integer power of 2 in 16 is 4. We need not use the formula above. If it were 16! instead, then the highest integer power of 2 in 16! would have been 16/2 + 16/4 + 16/8 + 16/16 = 8 + 4 + 2 + 1 = 15.

Check foe more here: Everything about Factorials on the GMAT.

Hope it's clear.
User avatar
lavanya.18
Joined: 21 Apr 2024
Last visit: 12 Mar 2025
Posts: 120
Own Kudos:
Given Kudos: 679
Location: India
Concentration: Marketing, General Management
GPA: 7.5
Products:
Kudos
Add Kudos
Bookmarks
Bookmark this Post
8!+9!+2 root 8!*9!
......root 8!*8!*9
.......2*8! * root9
.......2*8!*3
.........6*8!
8!+9!+6*8!
7*8!+9!
8!(7+9)
8!*16
8!*2^4

now 8! has 2^7


4+7=11 power of 2 needed------ANS!
User avatar
Sushi_545
Joined: 25 Jan 2024
Last visit: 19 Apr 2026
Posts: 69
Own Kudos:
Given Kudos: 44
Posts: 69
Kudos: 15
Kudos
Add Kudos
Bookmarks
Bookmark this Post
Hi Bunuel,

what is wrong here?

8!= has 2 ^7 max power of 7
9! has 2^7 max power of 7

so (2^7/2(root(x)+root(y)))^2 translates to 2^7 (7 is the max power of 2)
 1   2   
Moderators:
Math Expert
109715 posts
Tuck School Moderator
853 posts