Last visit was: 23 Apr 2026, 15:58 It is currently 23 Apr 2026, 15:58
Close
GMAT Club Daily Prep
Thank you for using the timer - this advanced tool can estimate your performance and suggest more practice questions. We have subscribed you to Daily Prep Questions via email.

Customized
for You

we will pick new questions that match your level based on your Timer History

Track
Your Progress

every week, we’ll send you an estimated GMAT score based on your performance

Practice
Pays

we will pick new questions that match your level based on your Timer History
Not interested in getting valuable practice questions and articles delivered to your email? No problem, unsubscribe here.
Close
Request Expert Reply
Confirm Cancel
User avatar
katkot
Joined: 01 Feb 2024
Last visit: 21 Jul 2024
Posts: 11
Own Kudos:
273
 [116]
Given Kudos: 7
Posts: 11
Kudos: 273
 [116]
10
Kudos
Add Kudos
106
Bookmarks
Bookmark this Post
Most Helpful Reply
User avatar
Guntabulla
Joined: 24 Jul 2023
Last visit: 30 Jan 2026
Posts: 23
Own Kudos:
90
 [33]
Given Kudos: 16
Location: India
GPA: 9
Posts: 23
Kudos: 90
 [33]
26
Kudos
Add Kudos
5
Bookmarks
Bookmark this Post
User avatar
KarishmaB
Joined: 16 Oct 2010
Last visit: 23 Apr 2026
Posts: 16,441
Own Kudos:
79,396
 [11]
Given Kudos: 484
Location: Pune, India
Expert
Expert reply
Active GMAT Club Expert! Tag them with @ followed by their username for a faster response.
Posts: 16,441
Kudos: 79,396
 [11]
9
Kudos
Add Kudos
2
Bookmarks
Bookmark this Post
General Discussion
User avatar
sachi-in
Joined: 12 Oct 2023
Last visit: 07 Apr 2026
Posts: 120
Own Kudos:
338
 [3]
Given Kudos: 146
Posts: 120
Kudos: 338
 [3]
2
Kudos
Add Kudos
1
Bookmarks
Bookmark this Post
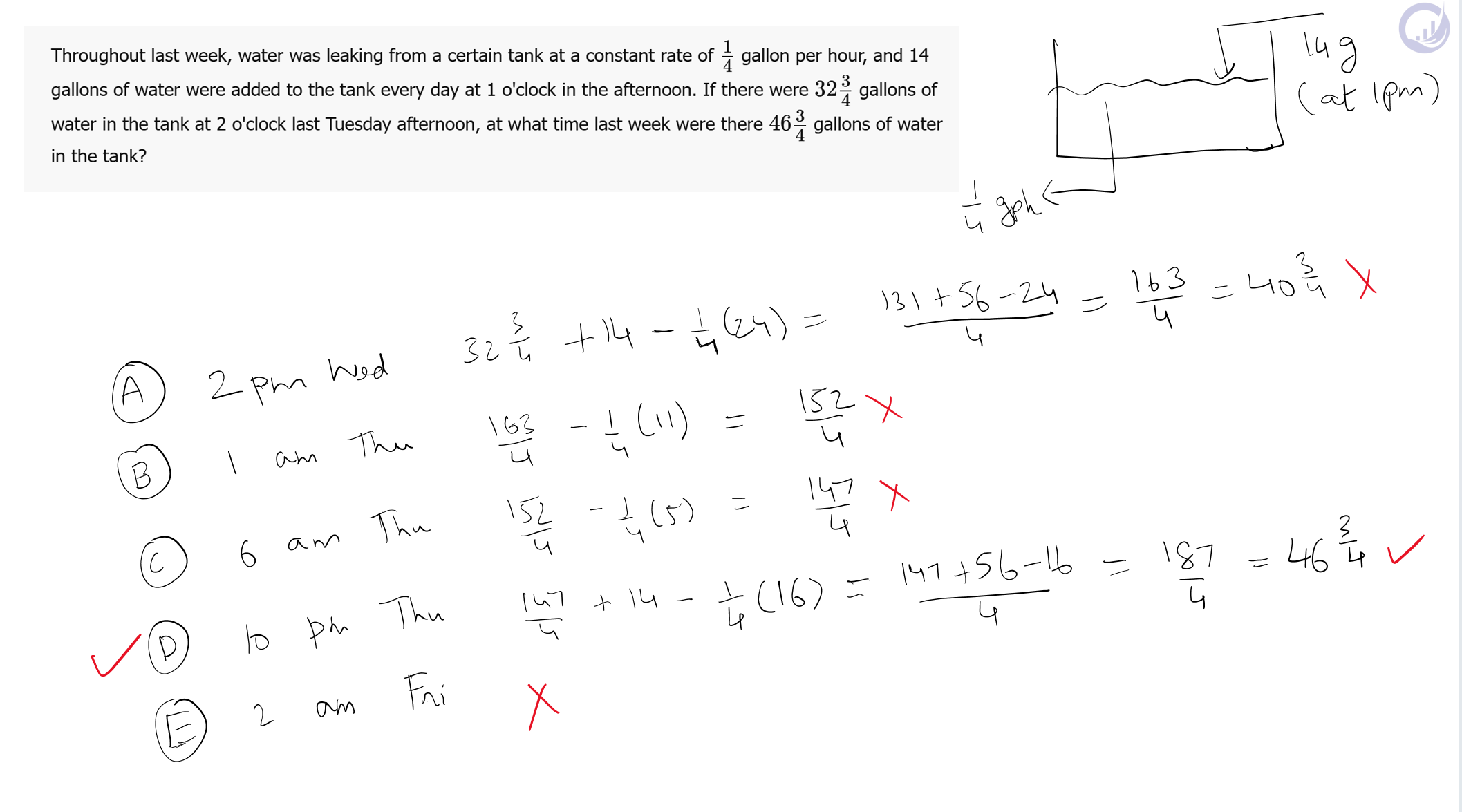
­Each 24 hours 24/4 = 6 gal is lost
Each day at 2 O'clock 14 gal is gained

Days:  Tue 2      Wed 2    Thu 2
Galln:  32.75      40.75     48.75

Each hour 0.25 or 1/4 gal is lost
hence to lose 2 gallons it will take 8 hrs from Thursday 2 O'clock
User avatar
sheriffs
Joined: 05 Feb 2024
Last visit: 18 Jul 2024
Posts: 7
Own Kudos:
8
 [6]
Posts: 7
Kudos: 8
 [6]
4
Kudos
Add Kudos
1
Bookmarks
Bookmark this Post
The tank starts with 32.75 gallons of water at 2 o'clock last Tuesday afternoon.
Water is leaking from the tank at a constant rate of 0.25 gallons per hour, so the tank loses 0.25 gallons of water per hour.
Every day at 1 o'clock in the afternoon, 14 gallons of water are added to the tank.
We want to find out when there were 46.75 gallons of water in the tank.
Now, let's create a equation to represent the situation:

Let T be the time in hours since last Tuesday afternoon.

The amount of water in the tank at time T is:

32.75 + 0.25T (since the tank starts with 32.75 gallons and loses 0.25 gallons per hour)

We want to find when the amount of water in the tank reaches 46.75 gallons:

32.75 + 0.25T = 46.75

Subtract 32.75 from both sides:

0.25T = 14

Divide both sides by 0.25:

T = 56

So, it will take 56 hours for the tank to go from 32.75 gallons to 46.75 gallons.

Now, we need to find the time when this happens.

56 hours is equal to 2.33 days (since there are 24 hours in a day).

So, the tank will have 46.75 gallons of water after 2.33 days from last Tuesday afternoon.

The correct answer is D. 10 o'clock Thursday evening.
User avatar
thr3at
Joined: 05 Mar 2024
Last visit: 17 Jan 2025
Posts: 29
Own Kudos:
14
 [4]
Given Kudos: 42
Posts: 29
Kudos: 14
 [4]
2
Kudos
Add Kudos
2
Bookmarks
Bookmark this Post
 
sheriffs
The tank starts with 32.75 gallons of water at 2 o'clock last Tuesday afternoon.
Water is leaking from the tank at a constant rate of 0.25 gallons per hour, so the tank loses 0.25 gallons of water per hour.
Every day at 1 o'clock in the afternoon, 14 gallons of water are added to the tank.
We want to find out when there were 46.75 gallons of water in the tank.
Now, let's create a equation to represent the situation:

Let T be the time in hours since last Tuesday afternoon.

The amount of water in the tank at time T is:

32.75 + 0.25T (since the tank starts with 32.75 gallons and loses 0.25 gallons per hour)

We want to find when the amount of water in the tank reaches 46.75 gallons:

32.75 + 0.25T = 46.75

Subtract 32.75 from both sides:

0.25T = 14

Divide both sides by 0.25:

T = 56

So, it will take 56 hours for the tank to go from 32.75 gallons to 46.75 gallons.

Now, we need to find the time when this happens.

56 hours is equal to 2.33 days (since there are 24 hours in a day).

So, the tank will have 46.75 gallons of water after 2.33 days from last Tuesday afternoon.

The correct answer is D. 10 o'clock Thursday evening.
­Hello,

Can you please correct me where I am wrong.

Combined efficiency of the pipes  ( in and Out) per hour = 14/24 (14g every 24 hours) - 1/4 ( ever hour gallons of water removed)
= 1/3

We have to fill 14G of water (46.75 - 32.75)

Time (in Hours)= 14/0.33= 42

In terms of days= 42/24=~ 1.8 
 1.8 days = 1 day + 18 hours. 

Please correct me where I am wrong. 
 
 
User avatar
jpmendgon
Joined: 02 Nov 2024
Last visit: 13 Feb 2025
Posts: 1
Own Kudos:
1
 [1]
Given Kudos: 2
Posts: 1
Kudos: 1
 [1]
1
Kudos
Add Kudos
Bookmarks
Bookmark this Post
I believe this is wrong, the question is misleading.
At Thursday 1pm 14 gallons were added to 35 existing gallons to make 49 gallons.
So, at the moment the 14 gallons were being added the tank came to a moment with 46,75 gallons.
Am I making a mistake here?
User avatar
hchnr
Joined: 14 Mar 2024
Last visit: 12 Feb 2025
Posts: 2
Given Kudos: 12
Posts: 2
Kudos: 0
Kudos
Add Kudos
Bookmarks
Bookmark this Post
let x be the days to reach our goal to \(46 \frac{3}{4}\)
we know that for one day (starting from 1pm) we have 8 gallons of water every day (14-24*\(\frac{1}{4}\)=8)
so we want to know \(32 \frac{3}{4}\) +8x = \(46 \frac{3}{4}\)
x= 7/4 days
7/4 days *24 = 42 hours
so 14:00 Tuesday + 42 hours = 22:00 Thursday
katkot
Throughout last week, water was leaking from a certain tank at a constant rate of \(\frac{1}{4}\) gallon per hour, and 14 gallons of water were added to the tank every day at 1 o'clock in the afternoon. If there were \(32 \frac{3}{4}\) gallons of water in the tank at 2 o'clock last Tuesday afternoon, at what time last week were there \(46 \frac{3}{4}\) gallons of water in the tank?

A. 2 o'clock Wednesday afternoon
B. 1 o'clock Thursday morning
C. 6 o'clock Thursday morning
D. 10 o'clock Thursday evening
E. 2 o'clock Friday morning­
User avatar
ndwz
Joined: 02 Jul 2024
Last visit: 26 Mar 2026
Posts: 55
Own Kudos:
3
 [1]
Given Kudos: 22
Posts: 55
Kudos: 3
 [1]
Kudos
Add Kudos
1
Bookmarks
Bookmark this Post
same doubt.. can someone please explain why we don't add 42 hrs to 2PM Tuesday to get an answer of 8AM Thursday
thr3at

sheriffs
The tank starts with 32.75 gallons of water at 2 o'clock last Tuesday afternoon.
Water is leaking from the tank at a constant rate of 0.25 gallons per hour, so the tank loses 0.25 gallons of water per hour.
Every day at 1 o'clock in the afternoon, 14 gallons of water are added to the tank.
We want to find out when there were 46.75 gallons of water in the tank.
Now, let's create a equation to represent the situation:

Let T be the time in hours since last Tuesday afternoon.

The amount of water in the tank at time T is:

32.75 + 0.25T (since the tank starts with 32.75 gallons and loses 0.25 gallons per hour)

We want to find when the amount of water in the tank reaches 46.75 gallons:

32.75 + 0.25T = 46.75

Subtract 32.75 from both sides:

0.25T = 14

Divide both sides by 0.25:

T = 56

So, it will take 56 hours for the tank to go from 32.75 gallons to 46.75 gallons.

Now, we need to find the time when this happens.

56 hours is equal to 2.33 days (since there are 24 hours in a day).

So, the tank will have 46.75 gallons of water after 2.33 days from last Tuesday afternoon.

The correct answer is D. 10 o'clock Thursday evening.
­Hello,

Can you please correct me where I am wrong.

Combined efficiency of the pipes ( in and Out) per hour = 14/24 (14g every 24 hours) - 1/4 ( ever hour gallons of water removed)
= 1/3

We have to fill 14G of water (46.75 - 32.75)

Time (in Hours)= 14/0.33= 42

In terms of days= 42/24=~ 1.8
1.8 days = 1 day + 18 hours.

Please correct me where I am wrong.

User avatar
DanTheGMATMan
Joined: 02 Oct 2015
Last visit: 23 Apr 2026
Posts: 380
Own Kudos:
Given Kudos: 9
Expert
Expert reply
Posts: 380
Kudos: 267
Kudos
Add Kudos
Bookmarks
Bookmark this Post
Good rate problem. Take it one episode at at time:
avatar
ManifestDreamMBA
Joined: 17 Sep 2024
Last visit: 21 Feb 2026
Posts: 1,387
Own Kudos:
Given Kudos: 243
Posts: 1,387
Kudos: 897
Kudos
Add Kudos
Bookmarks
Bookmark this Post
My understanding is this isn't correct because we don't know if we will have full 24hr cycle for both, as assumed in the highlighted step here

Think of it this way.

If you get a box of 12 candies every 2 hour starting 10AM, and eat 4 candies every hour.

10AM - 12 candies
11AM - 8 candies left (ate 4)
12PM - 4 candies left + 12 candies = 16 candies left
You ate 12*2 - 16 = 8 candies, i.e. 4 per hour

But as per the formula below, 12/2 - 4 = 2 candies consumed every hour is not the same
ndwz
same doubt.. can someone please explain why we don't add 42 hrs to 2PM Tuesday to get an answer of 8AM Thursday
thr3at

sheriffs
The tank starts with 32.75 gallons of water at 2 o'clock last Tuesday afternoon.
Water is leaking from the tank at a constant rate of 0.25 gallons per hour, so the tank loses 0.25 gallons of water per hour.
Every day at 1 o'clock in the afternoon, 14 gallons of water are added to the tank.
We want to find out when there were 46.75 gallons of water in the tank.
Now, let's create a equation to represent the situation:

Let T be the time in hours since last Tuesday afternoon.

The amount of water in the tank at time T is:

32.75 + 0.25T (since the tank starts with 32.75 gallons and loses 0.25 gallons per hour)

We want to find when the amount of water in the tank reaches 46.75 gallons:

32.75 + 0.25T = 46.75

Subtract 32.75 from both sides:

0.25T = 14

Divide both sides by 0.25:

T = 56

So, it will take 56 hours for the tank to go from 32.75 gallons to 46.75 gallons.

Now, we need to find the time when this happens.

56 hours is equal to 2.33 days (since there are 24 hours in a day).

So, the tank will have 46.75 gallons of water after 2.33 days from last Tuesday afternoon.

The correct answer is D. 10 o'clock Thursday evening.
­Hello,

Can you please correct me where I am wrong.

Combined efficiency of the pipes ( in and Out) per hour = 14/24 (14g every 24 hours) - 1/4 ( ever hour gallons of water removed)
= 1/3


We have to fill 14G of water (46.75 - 32.75)

Time (in Hours)= 14/0.33= 42

In terms of days= 42/24=~ 1.8
1.8 days = 1 day + 18 hours.

Please correct me where I am wrong.

User avatar
DonBosco7
Joined: 03 Mar 2020
Last visit: 01 Apr 2026
Posts: 83
Own Kudos:
Given Kudos: 84
Posts: 83
Kudos: 20
Kudos
Add Kudos
Bookmarks
Bookmark this Post
katkot
Throughout last week, water was leaking from a certain tank at a constant rate of \(\frac{1}{4}\) gallon per hour, and 14 gallons of water were added to the tank every day at 1 o'clock in the afternoon. If there were \(32 \frac{3}{4}\) gallons of water in the tank at 2 o'clock last Tuesday afternoon, at what time last week were there \(46 \frac{3}{4}\) gallons of water in the tank?

A. 2 o'clock Wednesday afternoon
B. 1 o'clock Thursday morning
C. 6 o'clock Thursday morning
D. 10 o'clock Thursday evening
E. 2 o'clock Friday morning­
If you see how this question mocks your intelligence, you will probably feel so stupid because the answer is so simple and right there.
if you subtract 187/4 and 131/4, what do you get 56/4.
and the answer is exactly this figure i.e 56 hrs from 2 o'clock last tuesday, which comes out to be 10:00 PM thursday evening.
User avatar
DrMock
Joined: 08 Nov 2022
Last visit: 07 Apr 2026
Posts: 58
Own Kudos:
Given Kudos: 126
Location: India
GMAT Focus 1: 655 Q85 V83 DI80
GPA: 8.6
GMAT Focus 1: 655 Q85 V83 DI80
Posts: 58
Kudos: 20
Kudos
Add Kudos
Bookmarks
Bookmark this Post
This was the very first question I got in my mock 6 (and I start with quant). Was this an outlier or does GMAC rate problems differently?
User avatar
WhitEngagePrep
Joined: 12 Nov 2024
Last visit: 20 Nov 2025
Posts: 58
Own Kudos:
54
 [1]
Given Kudos: 19
Location: United States
Expert
Expert reply
Posts: 58
Kudos: 54
 [1]
1
Kudos
Add Kudos
Bookmarks
Bookmark this Post
DrMock
This was the very first question I got in my mock 6 (and I start with quant). Was this an outlier or does GMAC rate problems differently?
Hi DrMock!

Not sure what you mean by an outlier? Usually the first question you see is going to be a somewhat middle-level difficulty, but that isn't exact! Let me know what makes you think this might be an outlier?
thr3at
­Hello,

Can you please correct me where I am wrong.

Combined efficiency of the pipes ( in and Out) per hour = 14/24 (14g every 24 hours) - 1/4 ( ever hour gallons of water removed)
= 1/3

We have to fill 14G of water (46.75 - 32.75)

Time (in Hours)= 14/0.33= 42

In terms of days= 42/24=~ 1.8
1.8 days = 1 day + 18 hours.

Please correct me where I am wrong.
ndwz
same doubt.. can someone please explain why we don't add 42 hrs to 2PM Tuesday to get an answer of 8AM Thursday
The issue is that you're considering the once-a-day fill in as an hourly change, which it isn't. That 14 gallons hits the tank all at once at 1pm each day, not little by little throughout the day the way the leak is occurring (0.25 gallons / hour = 6 gallons for each 24 hour period. So you can't roll the two together into one step - you must treat this problem step by step!

I actually also found this easier if I backed up from 2pm on Tuesday to 1pm on Tuesday (since that's the moment that we add the 14 gallons each day). I also like to use the answer choices rather than being precise at first!

Tuesday 1pm = Tues 2pm + the 0.25 gallon that was lost in the hour = 32.75 + 0.25 = 33 gallons.

Tues 1pm = 33 g
Wed 1pm = 33 - 6 + 14 = 41 g

What can we eliminate now? We are still lower than 46.75 but for the next 24 hours we're just going to keep dropping... so we won't have another shot at getting an add until Thursday at 1pm. We can eliminate A, B, and C - since those are all before Thursday at 1pm.)

Thu 1pm = 41 - 6 + 14 = 49 g

What can we eliminate now? We've overshot, meaning, we need to lose gallons and not get another add. So we could eliminate anything from Friday 1pm onwards, but that isn't an option.

From 49g we need to lose just over 2.25 gallons = 9 hours later, or 10pm!

Hope this helps!
:)
Whit
User avatar
DrMock
Joined: 08 Nov 2022
Last visit: 07 Apr 2026
Posts: 58
Own Kudos:
Given Kudos: 126
Location: India
GMAT Focus 1: 655 Q85 V83 DI80
GPA: 8.6
GMAT Focus 1: 655 Q85 V83 DI80
Posts: 58
Kudos: 20
Kudos
Add Kudos
Bookmarks
Bookmark this Post
Just that I'm getting an 805+ difficulty question off the top seems uncharacteristic.
WhitEngagePrep
DrMock
This was the very first question I got in my mock 6 (and I start with quant). Was this an outlier or does GMAC rate problems differently?
Hi DrMock!

Not sure what you mean by an outlier? Usually the first question you see is going to be a somewhat middle-level difficulty, but that isn't exact! Let me know what makes you think this might be an outlier?
thr3at
­Hello,

Can you please correct me where I am wrong.

Combined efficiency of the pipes ( in and Out) per hour = 14/24 (14g every 24 hours) - 1/4 ( ever hour gallons of water removed)
= 1/3

We have to fill 14G of water (46.75 - 32.75)

Time (in Hours)= 14/0.33= 42

In terms of days= 42/24=~ 1.8
1.8 days = 1 day + 18 hours.

Please correct me where I am wrong.
ndwz
same doubt.. can someone please explain why we don't add 42 hrs to 2PM Tuesday to get an answer of 8AM Thursday
The issue is that you're considering the once-a-day fill in as an hourly change, which it isn't. That 14 gallons hits the tank all at once at 1pm each day, not little by little throughout the day the way the leak is occurring (0.25 gallons / hour = 6 gallons for each 24 hour period. So you can't roll the two together into one step - you must treat this problem step by step!

I actually also found this easier if I backed up from 2pm on Tuesday to 1pm on Tuesday (since that's the moment that we add the 14 gallons each day). I also like to use the answer choices rather than being precise at first!

Tuesday 1pm = Tues 2pm + the 0.25 gallon that was lost in the hour = 32.75 + 0.25 = 33 gallons.

Tues 1pm = 33 g
Wed 1pm = 33 - 6 + 14 = 41 g

What can we eliminate now? We are still lower than 46.75 but for the next 24 hours we're just going to keep dropping... so we won't have another shot at getting an add until Thursday at 1pm. We can eliminate A, B, and C - since those are all before Thursday at 1pm.)

Thu 1pm = 41 - 6 + 14 = 49 g

What can we eliminate now? We've overshot, meaning, we need to lose gallons and not get another add. So we could eliminate anything from Friday 1pm onwards, but that isn't an option.

From 49g we need to lose just over 2.25 gallons = 9 hours later, or 10pm!

Hope this helps!
:)
Whit
User avatar
rak08
Joined: 01 Feb 2025
Last visit: 22 Apr 2026
Posts: 268
Own Kudos:
Given Kudos: 405
Location: India
GPA: 7.14
Posts: 268
Kudos: 28
Kudos
Add Kudos
Bookmarks
Bookmark this Post
whats wrong if i think like this :

let x = no. of days

32 3/4 + 14x - 6x = 46 3/4

when i solve this i get x = 1.75

adding this to 2:00 tuesday
+1 day = 2:00 wednesday
+0.75 * 24 = 18 hrs
which comes out 8:00 AM Thursday..

please guide.
User avatar
dhruvie
Joined: 07 Sep 2025
Last visit: 09 Feb 2026
Posts: 18
Own Kudos:
Given Kudos: 33
Posts: 18
Kudos: 4
Kudos
Add Kudos
Bookmarks
Bookmark this Post
Leak: 0.25 Gal/h
Add: 14 Gal ---> 1:00 pm every day

ParticularsWater Present (Gal)
Tues @ 2:00 pm32.75
Consumed till Wed @ 1:00 pm
(0.25 * 23 hrs)
(5.75)
Added on Wed @ 1:00 pm14.00
Wednesday @ 1:00 pm41.00
Consumed till Thursday @ 1:00 pm
(0.25 * 24 hrs)
(6.00)
Added on Thurs @ 1:00 pm 14.00
Thursday @ 1:00 pm49.00
Actually required level46.75
The reason we calculated this till Thursday is because water to decrease from 32.75 or 41.00 gallons will never result in 46.75 till there's enough addition.

Now, water level to be depleted (to reach answer): 49.00 - 46.75 = 2.25 Gal

How much time till 2.25 gallons leaked: \(\frac{2.25}{0.25}\), i.e. 9 hours.

Hence answer is 10 pm on Thursday - Option D


katkot
Throughout last week, water was leaking from a certain tank at a constant rate of \(\frac{1}{4}\) gallon per hour, and 14 gallons of water were added to the tank every day at 1 o'clock in the afternoon. If there were \(32 \frac{3}{4}\) gallons of water in the tank at 2 o'clock last Tuesday afternoon, at what time last week were there \(46 \frac{3}{4}\) gallons of water in the tank?

A. 2 o'clock Wednesday afternoon
B. 1 o'clock Thursday morning
C. 6 o'clock Thursday morning
D. 10 o'clock Thursday evening
E. 2 o'clock Friday morning­
User avatar
HarshavardhanR
Joined: 16 Mar 2023
Last visit: 23 Apr 2026
Posts: 488
Own Kudos:
Given Kudos: 67
Status:Independent GMAT Tutor
Affiliations: Ex - Director, Subject Matter Expertise at e-GMAT
Products:
Expert
Expert reply
Active GMAT Club Expert! Tag them with @ followed by their username for a faster response.
Posts: 488
Kudos: 576
Kudos
Add Kudos
Bookmarks
Bookmark this Post


Harsha
Attachment:
GMAT-Club-Forum-mrytwkn8.png
GMAT-Club-Forum-mrytwkn8.png [ 287.3 KiB | Viewed 2579 times ]
User avatar
Wadree
Joined: 06 Sep 2024
Last visit: 07 Jan 2026
Posts: 68
Own Kudos:
Given Kudos: 230
Posts: 68
Kudos: 2
Kudos
Add Kudos
Bookmarks
Bookmark this Post
jpmendgon
I believe this is wrong, the question is misleading.
At Thursday 1pm 14 gallons were added to 35 existing gallons to make 49 gallons.
So, at the moment the 14 gallons were being added the tank came to a moment with 46,75 gallons.
Am I making a mistake here?
Ayoo.....i just thought bout dis...ur right....then answer would be 1 o'clock Thursday afternoon.....but it isn't in da options.....so it doesn't contradict that much......but if 1 o'clock in Thursday afternoon WAS in da options.....it would've been misleading.....🥀💔😭
User avatar
Wadree
Joined: 06 Sep 2024
Last visit: 07 Jan 2026
Posts: 68
Own Kudos:
Given Kudos: 230
Posts: 68
Kudos: 2
Kudos
Add Kudos
Bookmarks
Bookmark this Post
Leak in 1 hour = 1 / 4 gallon
Leak in 24 hour = 24 × [ 1 / 4 ] = 6 gallon
Added in 24 hour = 14 gallon
Net gain in 24 hour = 14 - 6 = 8 gallon

Lets think from 2 o'clock tuesday afternoon........
So.... current time 2 o'clock tuesday afternoon = 32.75 gallon.....after 24 hour.....its now 2 o'clock wednesday
afternoon = 32.75 + 8 = 40.75 gallon...... after another 24 hour goes by like this ........its now 2 o'clock thursday
afternoon = 40.75 + 8 = 48.75 gallon ......but we gotta make 46.75 gallon....so...extra at 2 o'clock thursday
afternoon = 48.75 - 46.75 = 2 gallon......
Now....time to leak 0.25 gallon = 1 hour
So...... time to leak 2 gallon = 8 hour ........
So....after 2 o'clock thursday afternoon.....it will take 8 more hour to leak extra 2 gallon and reach 46.75......
So......46.75 gallon will reach at 10 o'clock thursday evening.....

! nah id win!
 1   2   
Moderators:
Math Expert
109785 posts
Tuck School Moderator
853 posts