Last visit was: 24 Apr 2026, 20:37 It is currently 24 Apr 2026, 20:37
Close
GMAT Club Daily Prep
Thank you for using the timer - this advanced tool can estimate your performance and suggest more practice questions. We have subscribed you to Daily Prep Questions via email.

Customized
for You

we will pick new questions that match your level based on your Timer History

Track
Your Progress

every week, we’ll send you an estimated GMAT score based on your performance

Practice
Pays

we will pick new questions that match your level based on your Timer History
Not interested in getting valuable practice questions and articles delivered to your email? No problem, unsubscribe here.
Close
Request Expert Reply
Confirm Cancel
User avatar
iwantroca
Joined: 16 Sep 2023
Last visit: 26 Jun 2025
Posts: 3
Own Kudos:
35
 [14]
Given Kudos: 30
Posts: 3
Kudos: 35
 [14]
3
Kudos
Add Kudos
11
Bookmarks
Bookmark this Post
User avatar
sujoykrdatta
Joined: 26 Jun 2014
Last visit: 23 Apr 2026
Posts: 587
Own Kudos:
1,191
 [5]
Given Kudos: 14
Status:Mentor & Coach | GMAT Q51 | CAT 99.98
GMAT 1: 740 Q51 V39
Expert
Expert reply
GMAT 1: 740 Q51 V39
Posts: 587
Kudos: 1,191
 [5]
4
Kudos
Add Kudos
Bookmarks
Bookmark this Post
User avatar
Kinshook
User avatar
Major Poster
Joined: 03 Jun 2019
Last visit: 24 Apr 2026
Posts: 5,986
Own Kudos:
Given Kudos: 163
Location: India
GMAT 1: 690 Q50 V34
WE:Engineering (Transportation)
Products:
GMAT 1: 690 Q50 V34
Posts: 5,986
Kudos: 5,859
Kudos
Add Kudos
Bookmarks
Bookmark this Post
User avatar
RenB
Joined: 13 Jul 2022
Last visit: 02 Mar 2026
Posts: 389
Own Kudos:
1,471
 [1]
Given Kudos: 304
Location: India
Concentration: Finance, Nonprofit
GMAT Focus 1: 715 Q90 V84 DI82
GPA: 3.74
WE:Corporate Finance (Consulting)
1
Kudos
Add Kudos
Bookmarks
Bookmark this Post
iwantroca
­In a garden, there are flowers of two colors, blue and red. The ratio of the number of blue roses to the number of red tulips is 3 : 7. The ratio of red roses to the number of blue tulips is 2 : 1. If the ratio of the number of blue flowers to the number of red flowers is 35 : 76, then what is the ratio of the number of roses to the number of tulips?

A. 47 : 51
B. 41 : 43
C. 52 : 59 
D. 59 : 52
E. None of these   ­­­­­
­Bunuel, can you please guide me to more questions like these? On ratio and proportion?
User avatar
Bunuel
User avatar
Math Expert
Joined: 02 Sep 2009
Last visit: 24 Apr 2026
Posts: 109,818
Own Kudos:
Given Kudos: 105,873
Products:
Expert
Expert reply
Active GMAT Club Expert! Tag them with @ followed by their username for a faster response.
Posts: 109,818
Kudos: 811,088
Kudos
Add Kudos
Bookmarks
Bookmark this Post
RenB

iwantroca
­In a garden, there are flowers of two colors, blue and red. The ratio of the number of blue roses to the number of red tulips is 3 : 7. The ratio of red roses to the number of blue tulips is 2 : 1. If the ratio of the number of blue flowers to the number of red flowers is 35 : 76, then what is the ratio of the number of roses to the number of tulips?

A. 47 : 51
B. 41 : 43
C. 52 : 59 
D. 59 : 52
E. None of these   ­­­­­
­Bunuel, can you please guide me to more questions like these? On ratio and proportion?
­Hi Bunuel

Thanks for the explanation and extra practice questions you posted. I struggle a lot with questions of this type (where something is added or subtracted from another ratio). Is there a post on the theoretical concepts that I can use to learn this? I would like to get my concepts clear before diving into difficult problems of this nature. Thanks a lot in advance![/quote]

3. Fractions, Decimals, Ratios and Proportions



For other topics check Ultimate GMAT Quantitative Megathread

Hope it helps.­
User avatar
Kinshook
User avatar
Major Poster
Joined: 03 Jun 2019
Last visit: 24 Apr 2026
Posts: 5,986
Own Kudos:
Given Kudos: 163
Location: India
GMAT 1: 690 Q50 V34
WE:Engineering (Transportation)
Products:
GMAT 1: 690 Q50 V34
Posts: 5,986
Kudos: 5,859
Kudos
Add Kudos
Bookmarks
Bookmark this Post
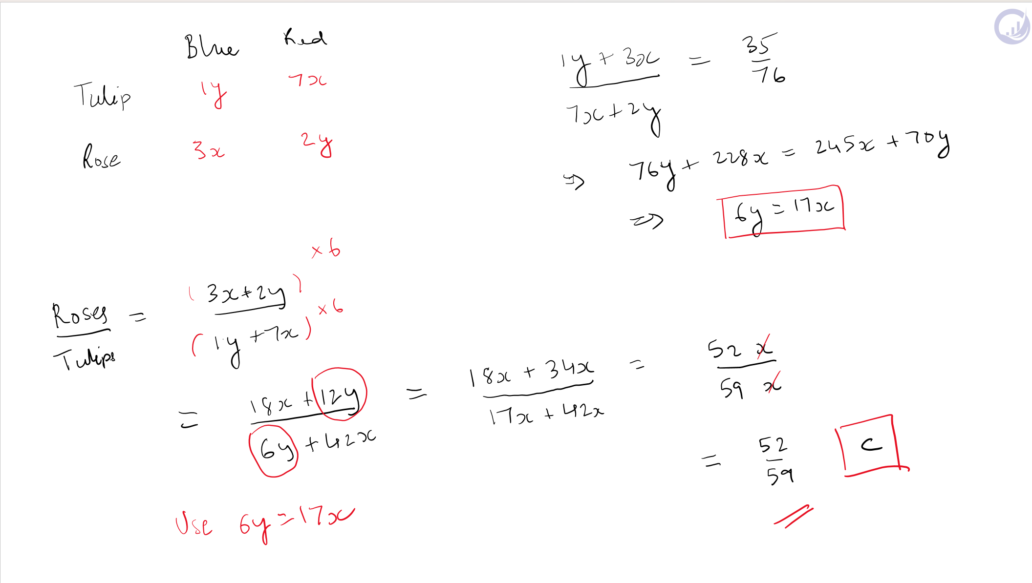
iwantroca

In a garden, there are flowers of two colors, blue and red. The ratio of the number of blue roses to the number of red tulips is 3 : 7. The ratio of red roses to the number of blue tulips is 2 : 1.

If the ratio of the number of blue flowers to the number of red flowers is 35 : 76, then what is the ratio of the number of roses to the number of tulips?

Let the number of blue roses and the number of red tulips be 3k & 7k respectively.

Let the number of red roses and the number of blue tulips is be 2m & m respectively

The number of Blue roses = 3k
The number of Blue tulips = m
The number of Blue flowers = 3k + m

The number of Red roses = 2m
The number of Red tulips = 7k
The number of Red flowers = 7k + 2m

The ratio of the number of blue flowers to the number of red flowers is 35 : 76
3k + m : 7k + 3m = 35: 76

35 (7k + 2m) = 76 (3k + m)
245k + 70m = 228k + 76m
17k = 6m
Let k = 6x ; m = 17x

The ratio of the number of roses to the number of tulips = 3k + 2m : 7k + m = 18x + 34x : 42x + 17x = 52 : 59

IMO C
User avatar
HarshavardhanR
Joined: 16 Mar 2023
Last visit: 24 Apr 2026
Posts: 489
Own Kudos:
Given Kudos: 67
Status:Independent GMAT Tutor
Affiliations: Ex - Director, Subject Matter Expertise at e-GMAT
Products:
Expert
Expert reply
Active GMAT Club Expert! Tag them with @ followed by their username for a faster response.
Posts: 489
Kudos: 576
Kudos
Add Kudos
Bookmarks
Bookmark this Post


I think the question should mention that there are no flower types apart from roses and tulips, for clarity.

---
Harsha
Attachment:
GMAT-Club-Forum-elyy5bt2.png
GMAT-Club-Forum-elyy5bt2.png [ 169.97 KiB | Viewed 465 times ]
Moderators:
Math Expert
109818 posts
Tuck School Moderator
853 posts