Last visit was: 17 May 2026, 21:26 It is currently 17 May 2026, 21:26
Close
GMAT Club Daily Prep
Thank you for using the timer - this advanced tool can estimate your performance and suggest more practice questions. We have subscribed you to Daily Prep Questions via email.

Customized
for You

we will pick new questions that match your level based on your Timer History

Track
Your Progress

every week, we’ll send you an estimated GMAT score based on your performance

Practice
Pays

we will pick new questions that match your level based on your Timer History
Not interested in getting valuable practice questions and articles delivered to your email? No problem, unsubscribe here.
Close
Request Expert Reply
Confirm Cancel
User avatar
guddo
Joined: 25 May 2021
Last visit: 17 May 2026
Posts: 1,183
Own Kudos:
11,869
 [28]
Given Kudos: 32
Posts: 1,183
Kudos: 11,869
 [28]
2
Kudos
Add Kudos
26
Bookmarks
Bookmark this Post
Most Helpful Reply
User avatar
KarishmaB
Joined: 16 Oct 2010
Last visit: 13 May 2026
Posts: 16,465
Own Kudos:
79,642
 [11]
Given Kudos: 485
Location: Pune, India
Expert
Expert reply
Active GMAT Club Expert! Tag them with @ followed by their username for a faster response.
Posts: 16,465
Kudos: 79,642
 [11]
10
Kudos
Add Kudos
1
Bookmarks
Bookmark this Post
General Discussion
User avatar
Bunuel
User avatar
Math Expert
Joined: 02 Sep 2009
Last visit: 17 May 2026
Posts: 110,522
Own Kudos:
815,440
 [4]
Given Kudos: 106,277
Products:
Expert
Expert reply
Active GMAT Club Expert! Tag them with @ followed by their username for a faster response.
Posts: 110,522
Kudos: 815,440
 [4]
3
Kudos
Add Kudos
1
Bookmarks
Bookmark this Post
User avatar
VivekSri
Joined: 01 May 2022
Last visit: 05 Feb 2026
Posts: 468
Own Kudos:
777
 [1]
Given Kudos: 117
Location: India
WE:Engineering (Consulting)
Posts: 468
Kudos: 777
 [1]
1
Kudos
Add Kudos
Bookmarks
Bookmark this Post
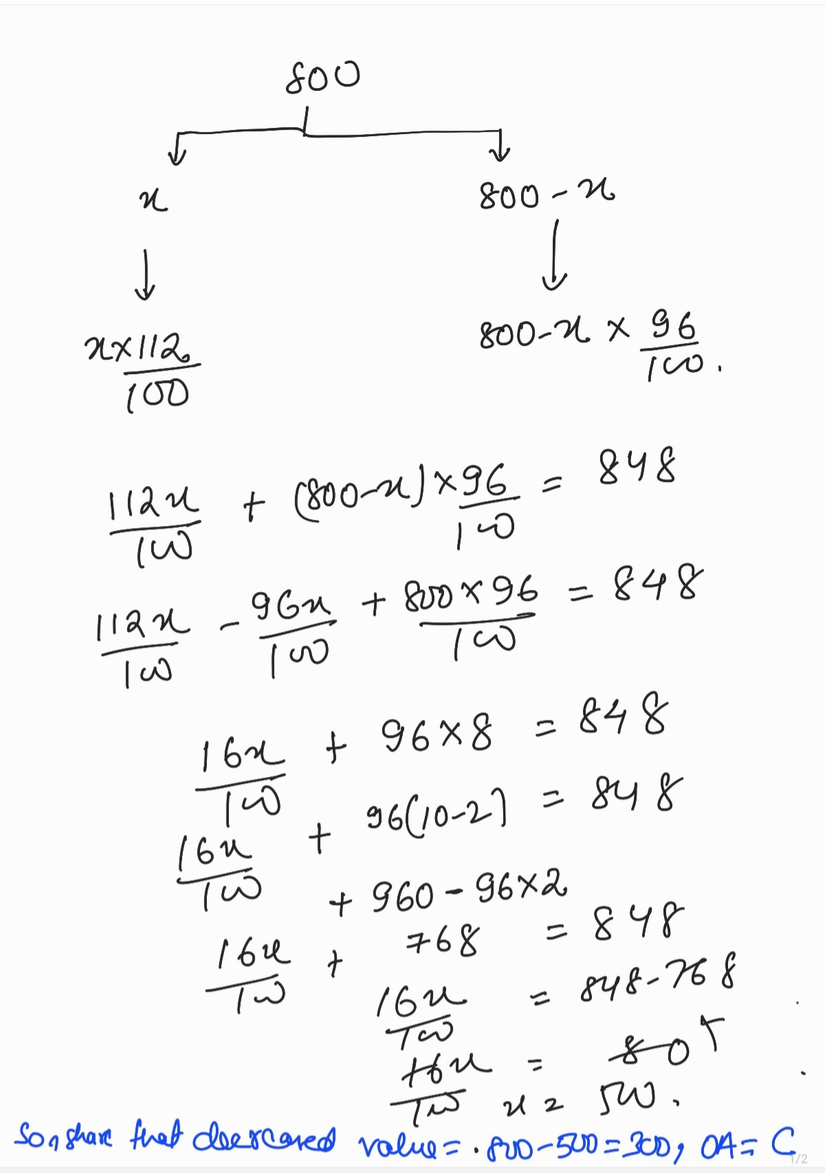
guddo
Victor invested a total of $800 in 2 stocks. At the end of 1 year, one stock had gained 12% in value, the other stock had lost 4% in value, and the total value of the 2 stocks was $848. How much did Victor invest in the stock that decreased in value?

A. $100
B. $200
C. $300
D. $500
E. $600


Attachment:
The attachment 2024-01-25_23-19-12.png is no longer available

Attachments

Screenshot_20240126_102058_Samsung Notes.jpg
Screenshot_20240126_102058_Samsung Notes.jpg [ 197.32 KiB | Viewed 8343 times ]

User avatar
sayan640
Joined: 29 Oct 2015
Last visit: 17 May 2026
Posts: 1,110
Own Kudos:
Given Kudos: 790
GMAT 1: 570 Q42 V28
Products:
GMAT 1: 570 Q42 V28
Posts: 1,110
Kudos: 872
Kudos
Add Kudos
Bookmarks
Bookmark this Post
KarishmaB , gmatophobia , Can this question be solved using the method of alligation or any quick short cut ?
User avatar
sayan640
Joined: 29 Oct 2015
Last visit: 17 May 2026
Posts: 1,110
Own Kudos:
Given Kudos: 790
GMAT 1: 570 Q42 V28
Products:
GMAT 1: 570 Q42 V28
Posts: 1,110
Kudos: 872
Kudos
Add Kudos
Bookmarks
Bookmark this Post
Many thanks KarishmaB ...kudos
KarishmaB
 
guddo
Victor invested a total of $800 in 2 stocks. At the end of 1 year, one stock had gained 12% in value, the other stock had lost 4% in value, and the total value of the 2 stocks was $848. How much did Victor invest in the stock that decreased in value?

A. $100
B. $200
C. $300
D. $500
E. $600


Attachment:
2024-01-25_23-19-12.png
­
Yes, overall return from the stocks was \(\frac{48}{800} * 100 = 6%\)

Now use weighted averages:

\(\frac{w1}{w2} = \frac{(-4 - 6)}{(6 - 12)} = \frac{5}{3}\) (or draw the scale)

So $500 was invested in the stock that gave 12% and $300 was invested in the stock that gave -4%.

Answer (C)­

Weighted Averages video:
https://www.youtube.com/watch?v=_GOAU7moZ2Q
 ­

Posted from my mobile device
User avatar
sayan640
Joined: 29 Oct 2015
Last visit: 17 May 2026
Posts: 1,110
Own Kudos:
872
 [1]
Given Kudos: 790
GMAT 1: 570 Q42 V28
Products:
GMAT 1: 570 Q42 V28
Posts: 1,110
Kudos: 872
 [1]
1
Kudos
Add Kudos
Bookmarks
Bookmark this Post
For the sake of others , I am attaching the alligation diagram herewith.
+ 6 % is the overall gain . +12% is to be placed on one side. -4% is to be placed on another side. ( Refer to the diagram attached herewith)
KarishmaB , Kindly check.­
Attachments

alligatation_profitNdloss_800.png
alligatation_profitNdloss_800.png [ 12.83 KiB | Viewed 6553 times ]

User avatar
chillblade
Joined: 12 Nov 2024
Last visit: 22 Jul 2025
Posts: 6
Own Kudos:
Given Kudos: 31
Posts: 6
Kudos: 3
Kudos
Add Kudos
Bookmarks
Bookmark this Post
0.96x+1.12(800−x)=848
0.96x+1.12×800−1.12x=848
0.96x+896−1.12x=848
−0.16x+896=848
−0.16x=−48
x=300
User avatar
msignatius
Joined: 28 Aug 2025
Last visit: 17 May 2026
Posts: 131
Own Kudos:
Given Kudos: 31
Location: India
Concentration: Strategy, Marketing
GMAT Focus 1: 705 Q86 V85 DI84
GPA: 3.5
WE:Marketing (Consulting)
Products:
GMAT Focus 1: 705 Q86 V85 DI84
Posts: 131
Kudos: 100
Kudos
Add Kudos
Bookmarks
Bookmark this Post
This was doable with a bit of mental maths, so I'll highlight how I did that.

$800 in two stocks - one rises by 12%, the other falls by 4%. The total profit was $48.

The stock that decreased in value - can be quickly found going through the choices.

$100 - If this one lost 4% in value, it lost $4; we'd need the positive-return stock, which will naturally be of the remaining value ($800 - $100) to make 52 (-4 + 52 = 48) and reach the profit amount. Clearly, $700 at 12% profit will exceed 70, so this can't be it.

$200 - at a 4% loss, we have the double of $4, $8 as a loss, requiring the positive-return stock to make us $56; but that won't work when 12% of 600, we clearly know, is above $60.

$300 - at a 4% loss, have have the triple of $4, $12 as loss, requiring the positive-return stock to make us $60; and that's exactly what $500 at 12% makes us. Hence, the answer.
guddo
Victor invested a total of $800 in 2 stocks. At the end of 1 year, one stock had gained 12% in value, the other stock had lost 4% in value, and the total value of the 2 stocks was $848. How much did Victor invest in the stock that decreased in value?

A. $100
B. $200
C. $300
D. $500
E. $600


Attachment:
2024-01-25_23-19-12.png

Using official mocks already? Add GMAT Club Tests for harder practice, analytics, and explanations without overlapping Official Guide or official mock questions.
Try it now
User avatar
tanvi0915
Joined: 01 Oct 2025
Last visit: 17 May 2026
Posts: 30
Own Kudos:
21
 [1]
Given Kudos: 6
Posts: 30
Kudos: 21
 [1]
1
Kudos
Add Kudos
Bookmarks
Bookmark this Post
I used algebra to solve this question
x + y = 800
1.12x + 0.96 y = 848
Multiplying eqn 1 by 1.12 and solving to find y
therefore y = 300
Moderators:
Math Expert
110522 posts
Tuck School Moderator
852 posts