Last visit was: 22 Apr 2026, 20:31 It is currently 22 Apr 2026, 20:31
Close
GMAT Club Daily Prep
Thank you for using the timer - this advanced tool can estimate your performance and suggest more practice questions. We have subscribed you to Daily Prep Questions via email.

Customized
for You

we will pick new questions that match your level based on your Timer History

Track
Your Progress

every week, we’ll send you an estimated GMAT score based on your performance

Practice
Pays

we will pick new questions that match your level based on your Timer History
Not interested in getting valuable practice questions and articles delivered to your email? No problem, unsubscribe here.
Close
Request Expert Reply
Confirm Cancel
User avatar
Bunuel
User avatar
Math Expert
Joined: 02 Sep 2009
Last visit: 22 Apr 2026
Posts: 109,754
Own Kudos:
810,685
 [1]
Given Kudos: 105,823
Products:
Expert
Expert reply
Active GMAT Club Expert! Tag them with @ followed by their username for a faster response.
Posts: 109,754
Kudos: 810,685
 [1]
1
Kudos
Add Kudos
Bookmarks
Bookmark this Post
User avatar
MayankSingh
Joined: 08 Jan 2018
Last visit: 20 Dec 2024
Posts: 289
Own Kudos:
Given Kudos: 249
Location: India
Concentration: Operations, General Management
GMAT 1: 640 Q48 V27
GMAT 2: 730 Q51 V38
GPA: 3.9
WE:Project Management (Manufacturing)
Products:
Kudos
Add Kudos
Bookmarks
Bookmark this Post
User avatar
freedom128
Joined: 30 Sep 2017
Last visit: 01 Oct 2020
Posts: 939
Own Kudos:
Given Kudos: 402
GMAT 1: 720 Q49 V40
GPA: 3.8
Products:
GMAT 1: 720 Q49 V40
Posts: 939
Kudos: 1,377
Kudos
Add Kudos
Bookmarks
Bookmark this Post
User avatar
Archit3110
User avatar
Major Poster
Joined: 18 Aug 2017
Last visit: 22 Apr 2026
Posts: 8,627
Own Kudos:
5,190
 [1]
Given Kudos: 243
Status:You learn more from failure than from success.
Location: India
Concentration: Sustainability, Marketing
GMAT Focus 1: 545 Q79 V79 DI73
GMAT Focus 2: 645 Q83 V82 DI81
GPA: 4
WE:Marketing (Energy)
Products:
GMAT Focus 2: 645 Q83 V82 DI81
Posts: 8,627
Kudos: 5,190
 [1]
1
Kudos
Add Kudos
Bookmarks
Bookmark this Post
(13)−3(19)−2(127)−1(181)0=(13)−3(19)−2(127)−1(181)0=


A. (1/3)^−36

B. (1/3)^−10

C. (1/3)^−11

D. (1/9)^−10

E. (1/9)^−11



given expression can be written as ;
27*81*27*1 ;
IMO B ; (1/3)^−10
User avatar
Kinshook
User avatar
Major Poster
Joined: 03 Jun 2019
Last visit: 22 Apr 2026
Posts: 5,985
Own Kudos:
5,858
 [2]
Given Kudos: 163
Location: India
GMAT 1: 690 Q50 V34
WE:Engineering (Transportation)
Products:
GMAT 1: 690 Q50 V34
Posts: 5,985
Kudos: 5,858
 [2]
2
Kudos
Add Kudos
Bookmarks
Bookmark this Post
Quote:
\((1/3)^{−3}(1/9)^{−2}(1/27)^{−1}(1/81)^0=\)

\(A. (1/3)^{−36}\)

\(B. (1/3)^{−10}\)

\(C. (1/3)^{−11}\)

\(D. (1/9)^{−10}\)

\(E. (1/9)^{-11}\)

\((1/3)^{−3}(1/9)^{−2}(1/27)^{−1}(1/81)^0\\
= (1/3)^{−3}(1/3)^{−4}(1/3)^{−3}(1/3)^0\\
= (1/3)^{-3-4-3+0}\\
=(1/3)^{-10}\)

IMO B
User avatar
EncounterGMAT
Joined: 10 Oct 2018
Last visit: 16 Oct 2019
Posts: 317
Own Kudos:
Given Kudos: 185
Status:Whatever it takes!
GPA: 4
Posts: 317
Kudos: 632
Kudos
Add Kudos
Bookmarks
Bookmark this Post
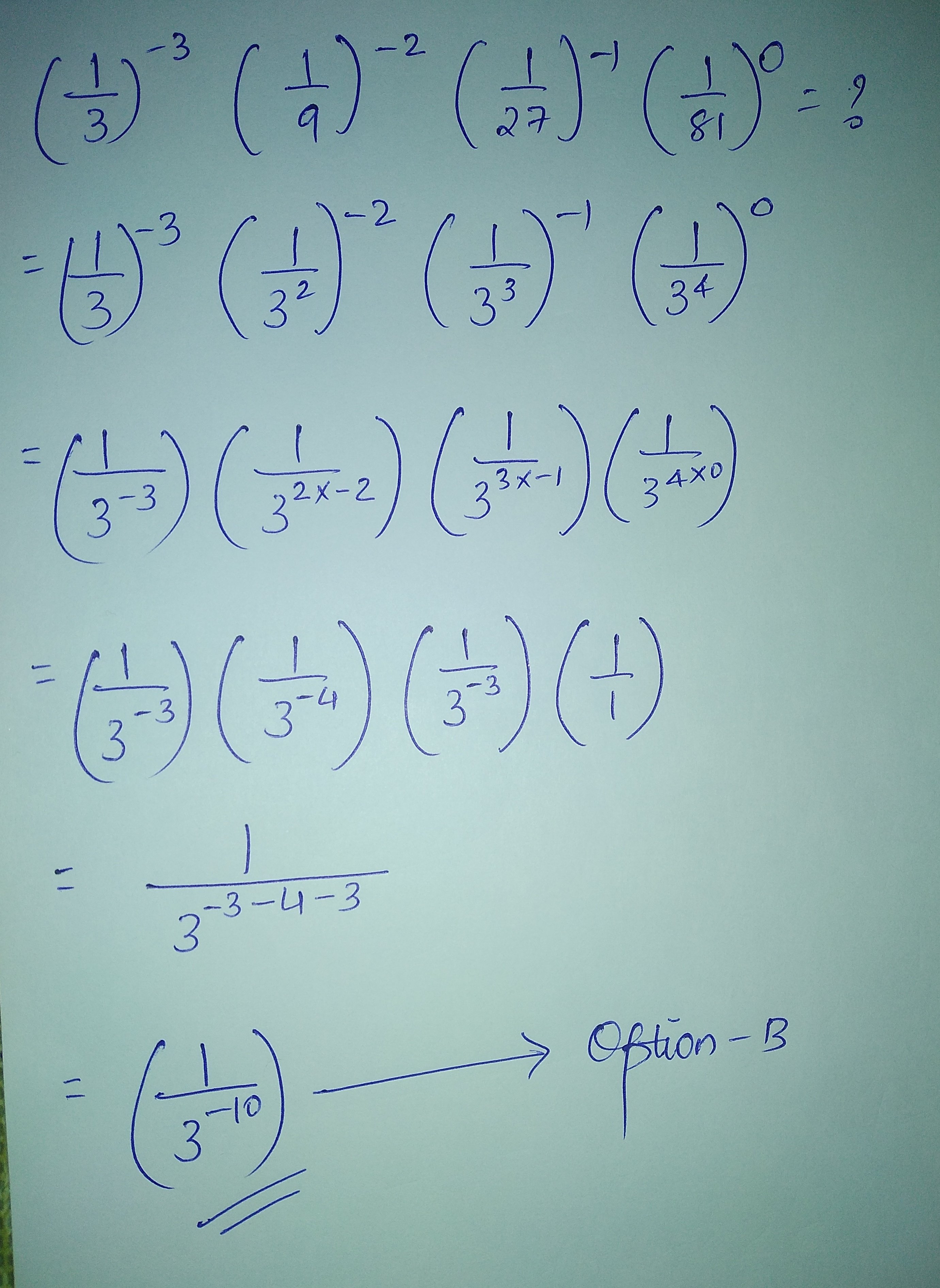
This is how I did. Hope it helps.

Posted from my mobile device
Attachments

IMG_20190823_211136.jpg
IMG_20190823_211136.jpg [ 2.24 MiB | Viewed 3623 times ]

User avatar
Kalubalu
Joined: 15 Aug 2017
Last visit: 27 Apr 2020
Posts: 20
Own Kudos:
10
 [1]
Given Kudos: 4
Posts: 20
Kudos: 10
 [1]
1
Kudos
Add Kudos
Bookmarks
Bookmark this Post
IMO, Flip the fraction and change the negative to positive

so:
(1/3)^(-3) = 3^3
(1/9)^(-2) = 9^2 = (3^2)^2 = 3^4
(1/27)^(-1) = 27^1 = (3^4)^1 = 3^3
(1/81)^(0) = 81^0 = (3^4)^0 = 3^0 = 1

since bases are all the same (except for the 1) add up the exponents for all base 3:
3+4+3 = 10
3^10

Change back into a fraction and turn it negative

(1/3)^-10

Ans B
User avatar
unraveled
Joined: 07 Mar 2019
Last visit: 10 Apr 2025
Posts: 2,706
Own Kudos:
Given Kudos: 763
Location: India
WE:Sales (Energy)
Posts: 2,706
Kudos: 2,329
Kudos
Add Kudos
Bookmarks
Bookmark this Post
\((\frac{1}{3})^−3\)\((\frac{1}{9})^−2\)\((\frac{1}{27})^−1\)\((\frac{1}{81})^0\) =

A. \((\frac{1}{3})^−36\)

B. \((\frac{1}{3})^−10\)

C. \((\frac{1}{3})^−11\)

D. \((\frac{1}{9})^−10\)

E. \((\frac{1}{9})^−11\)

Solving \((\frac{1}{3})^−3\)\((\frac{1}{9})^−2\)\((\frac{1}{27})^−1\)\((\frac{1}{81})^0\)
 \((\frac{1}{3})^−3\)\((\frac{1}{3})^−4\)\((\frac{1}{3})^−3\)\((\frac{1}{3})^0\)
 \(((\frac{1}{3})^(−3-4−3))\)*1
 \((\frac{1}{3})^-10\)

Answer (B).
User avatar
Eternal
Joined: 10 Mar 2018
Last visit: 05 Dec 2020
Posts: 59
Own Kudos:
101
 [1]
Given Kudos: 44
Location: India
Concentration: Entrepreneurship, Marketing
GMAT 1: 680 Q44 V38
WE:Design (Retail: E-commerce)
GMAT 1: 680 Q44 V38
Posts: 59
Kudos: 101
 [1]
1
Kudos
Add Kudos
Bookmarks
Bookmark this Post
\((1/3)^{-3} (1/9)^{-2} (1/27)^{-1} (1/81)^0=\)

\(=(1/3)^{-3} (1/3)^{-4} (1/3)^{-3}\) since \((1/81)^0=1\)

\(=(1/3)^{-10}\)

Answer (B)
User avatar
eakabuah
User avatar
Retired Moderator
Joined: 18 May 2019
Last visit: 15 Jun 2022
Posts: 774
Own Kudos:
Given Kudos: 101
Posts: 774
Kudos: 1,144
Kudos
Add Kudos
Bookmarks
Bookmark this Post
(1/3)^-3 * (1/9)^-2 * (1/27)^-1 * (1/81)^0
= (1/3)^-3 * (1/3)^-4 * (1/3)^-3 * 1
= (1/3)^-10
Hence B.

Posted from my mobile device
User avatar
Xin Cho
Joined: 29 May 2016
Last visit: 30 Aug 2020
Posts: 100
Own Kudos:
182
 [1]
Given Kudos: 178
Location: Czech Republic
Concentration: Finance, Strategy
GMAT 1: 700 Q47 V38
GPA: 3.94
WE:Corporate Finance (Finance: Investment Banking)
GMAT 1: 700 Q47 V38
Posts: 100
Kudos: 182
 [1]
1
Kudos
Add Kudos
Bookmarks
Bookmark this Post
Understanding
1) When we multiply same number we add the powers -> \((3^3)(3^2) = (3^5)\)
2) With numbers to the negative power, put the number to the given power and then flip it over -> e.g. \(3^{-1}\) = \(\frac{1}{3}\). Note you can think of 3 here as (3/1) to more clearly see what is going on. Similarly, \((\frac{1}{3})^{-2}\) = 9
3) Any number to power of zero is 1 -> \((3^0)\) = 1

Solution:
Now, let's breakdown the prompt bit by bit.

\((\frac{1}{3})^{-3}\) = \(3^3\)
\((\frac{1}{9})^{-2}\) = \(9^2 => 3^4\)
\((\frac{1}{27})^{-1}\) = 27 => \(3^3\)
\((\frac{1}{81})^{0}\) = 1

Thus, we get \((3^3)(3^4)(3^3)\) which is \(3^{10}\). Looking at the answers, all of them use fractions. Therefore we express \(3^{10}\) as fraction to get \((1/3)^{-10}\).

B is the answer.
User avatar
lacktutor
Joined: 25 Jul 2018
Last visit: 23 Oct 2023
Posts: 658
Own Kudos:
Given Kudos: 69
Posts: 658
Kudos: 1,446
Kudos
Add Kudos
Bookmarks
Bookmark this Post
\((\frac{1}{3})^{−3}* (\frac{1}{9})^{−2}* (\frac{1}{27})^{−1}* (\frac{1}{81})^{0}\) =

= \((\frac{1}{3})^{−3}* (\frac{1}{3})^{2*(-2)}* (\frac{1}{3})^{(-1)*3}* 1\) =

= \((\frac{1}{3})^{-3}* (\frac{1}{3})^{-4}* (\frac{1}{3})^{-3}\) =

= \((\frac{1}{3})^{-3-4-3}= (\frac{1}{3})^{-10}\)

The answer is B.
User avatar
AvidDreamer09
Joined: 19 Apr 2017
Last visit: 14 Aug 2025
Posts: 79
Own Kudos:
Given Kudos: 40
Concentration: General Management, Sustainability
Schools: ESSEC '22
GPA: 3.9
WE:Operations (Hospitality and Tourism)
Schools: ESSEC '22
Posts: 79
Kudos: 147
Kudos
Add Kudos
Bookmarks
Bookmark this Post
\((\frac{1}{3})^{-3}(\frac{1}{9})^{-2}(\frac{1}{27})^{-1}(\frac{1}{81})^0=\)


Four Exponents rules to note
1. (1/x)^-5=(x)^5 => negative exponents in the numerator get moved to the denominator and become positive exponents
2. (x)^1 => any number(except 0) to the power zero is 1,
3. \((b^2)^3 = b^6\) to raise a power to a power you need to multiply the exponents
4. \(x^1*x^1=x^2\)


=>\((3^3)*(3^4)*(3^3)*1\) =>\(3^{10}\) or \((1/3)^{10}\)

Answer B
User avatar
globaldesi
Joined: 28 Jul 2016
Last visit: 23 Feb 2026
Posts: 1,141
Own Kudos:
Given Kudos: 67
Location: India
Concentration: Finance, Human Resources
Schools: ISB '18 (D)
GPA: 3.97
WE:Project Management (Finance: Investment Banking)
Products:
Schools: ISB '18 (D)
Posts: 1,141
Kudos: 1,998
Kudos
Add Kudos
Bookmarks
Bookmark this Post
convert everything in the powers of 3 since answers can easily be deduced from that
= \(\frac{1}{(3^{-3} * 3^{-4} * 3^{-3})}\)
=\(\frac{1}{3 ^ {-(3+4+3+)}}\)
= \(\frac{1}{3^{-10}}\)
= B
Moderators:
Math Expert
109754 posts
Tuck School Moderator
853 posts