Last visit was: 24 Apr 2026, 20:27 It is currently 24 Apr 2026, 20:27
Close
GMAT Club Daily Prep
Thank you for using the timer - this advanced tool can estimate your performance and suggest more practice questions. We have subscribed you to Daily Prep Questions via email.

Customized
for You

we will pick new questions that match your level based on your Timer History

Track
Your Progress

every week, we’ll send you an estimated GMAT score based on your performance

Practice
Pays

we will pick new questions that match your level based on your Timer History
Not interested in getting valuable practice questions and articles delivered to your email? No problem, unsubscribe here.
Close
Request Expert Reply
Confirm Cancel
User avatar
Bunuel
User avatar
Math Expert
Joined: 02 Sep 2009
Last visit: 24 Apr 2026
Posts: 109,818
Own Kudos:
811,088
 [2]
Given Kudos: 105,873
Products:
Expert
Expert reply
Active GMAT Club Expert! Tag them with @ followed by their username for a faster response.
Posts: 109,818
Kudos: 811,088
 [2]
Kudos
Add Kudos
2
Bookmarks
Bookmark this Post
User avatar
dimri10
Joined: 16 May 2011
Last visit: 25 Sep 2023
Posts: 237
Own Kudos:
Given Kudos: 64
Concentration: Finance, Real Estate
GMAT Date: 12-27-2011
WE:Law (Law)
Posts: 237
Kudos: 356
Kudos
Add Kudos
Bookmarks
Bookmark this Post
User avatar
yashikaaggarwal
User avatar
Senior Moderator - Masters Forum
Joined: 19 Jan 2020
Last visit: 29 Mar 2026
Posts: 3,089
Own Kudos:
Given Kudos: 1,510
Location: India
GPA: 4
WE:Analyst (Internet and New Media)
Kudos
Add Kudos
Bookmarks
Bookmark this Post
User avatar
GMATinsight
User avatar
Major Poster
Joined: 08 Jul 2010
Last visit: 24 Apr 2026
Posts: 6,977
Own Kudos:
Given Kudos: 128
Status:GMAT/GRE Tutor l Admission Consultant l On-Demand Course creator
Location: India
GMAT: QUANT+DI EXPERT
Schools: IIM (A) ISB '24
GMAT 1: 750 Q51 V41
WE:Education (Education)
Products:
Expert
Expert reply
Schools: IIM (A) ISB '24
GMAT 1: 750 Q51 V41
Posts: 6,977
Kudos: 16,914
Kudos
Add Kudos
Bookmarks
Bookmark this Post
Bunuel
If \(3 < x < 7\) and \(4 > y > − 2\), which of the following must be true?

I. \(x   + y > 0\)

II. \(2y −   x   > 0\)

III. \(2x − y > 1\)

A. I only
B. II only
C. I and II only
D. I and III only
E. I, II, and III

\(3 < x < 7\)
\(-2 < y < 4\)

i.e.\( (x+y)_{max} < (7+4)\)
i.e. \((x+y)_{max} < (11)\)

i.e. \((x+y)_{min} > (3-2)\)
i.e. \((x+y)_{max} > (1)\)

i.e. \(1 < (x+y) < 11\)

\((2y-x)_{min} > 2*(-2)-7\)
i.e. \((2y-x)_{min} > -11\)


\((2x-y)_{min} > 2*(3)-4\)
i.e. \((2x-y)_{min} > 2\)


Testing the accuracy of given statements

I. \(x   + y > 0\) TRUE

II. \(2y −   x   > 0\) FALSE

III. \(2x − y > 1\) TRUE

Answer: Option D
User avatar
CrackverbalGMAT
User avatar
Major Poster
Joined: 03 Oct 2013
Last visit: 24 Apr 2026
Posts: 4,846
Own Kudos:
Given Kudos: 226
Affiliations: CrackVerbal
Location: India
Expert
Expert reply
Posts: 4,846
Kudos: 9,182
Kudos
Add Kudos
Bookmarks
Bookmark this Post
Although this is not an out and out problem on max-min, we can use the concept of max-min to rule out statements and hence answer options.

In a max-min problem on inequalities, write down the given inequalities one below the other ensuring that the inequality signs are the same in both. Then, we take 4 extreme cases to find out the maximum and the minimum values of the given expression.

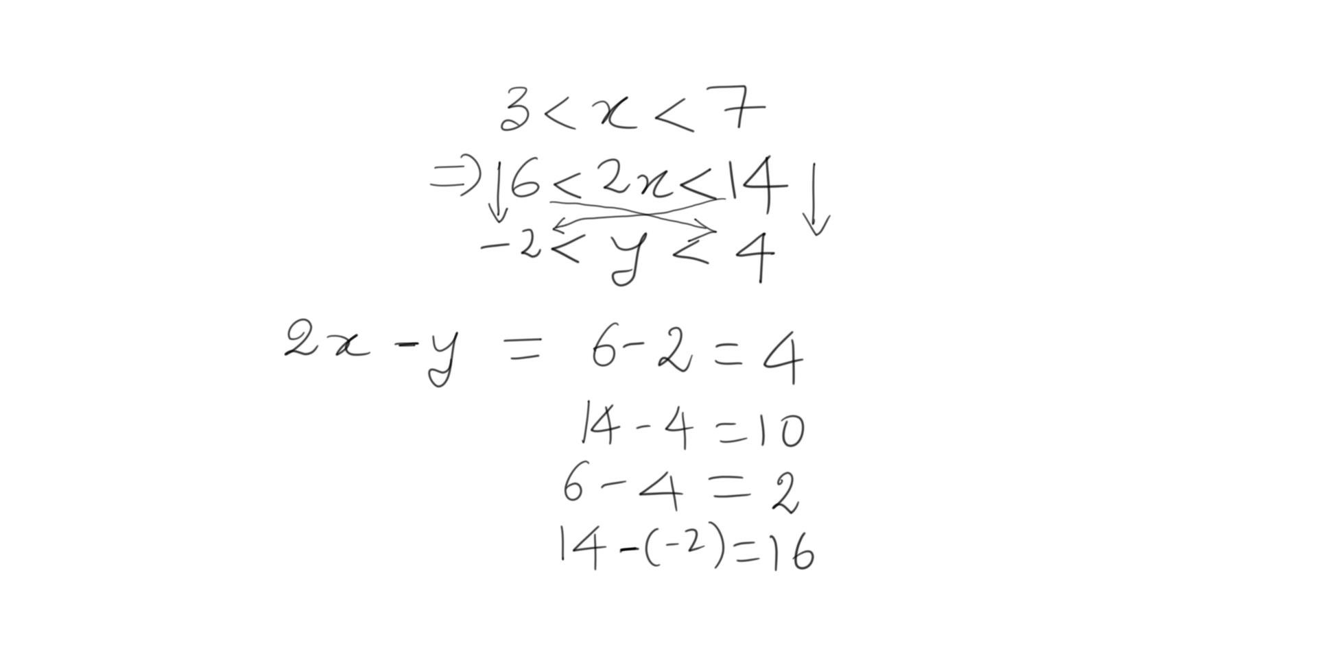
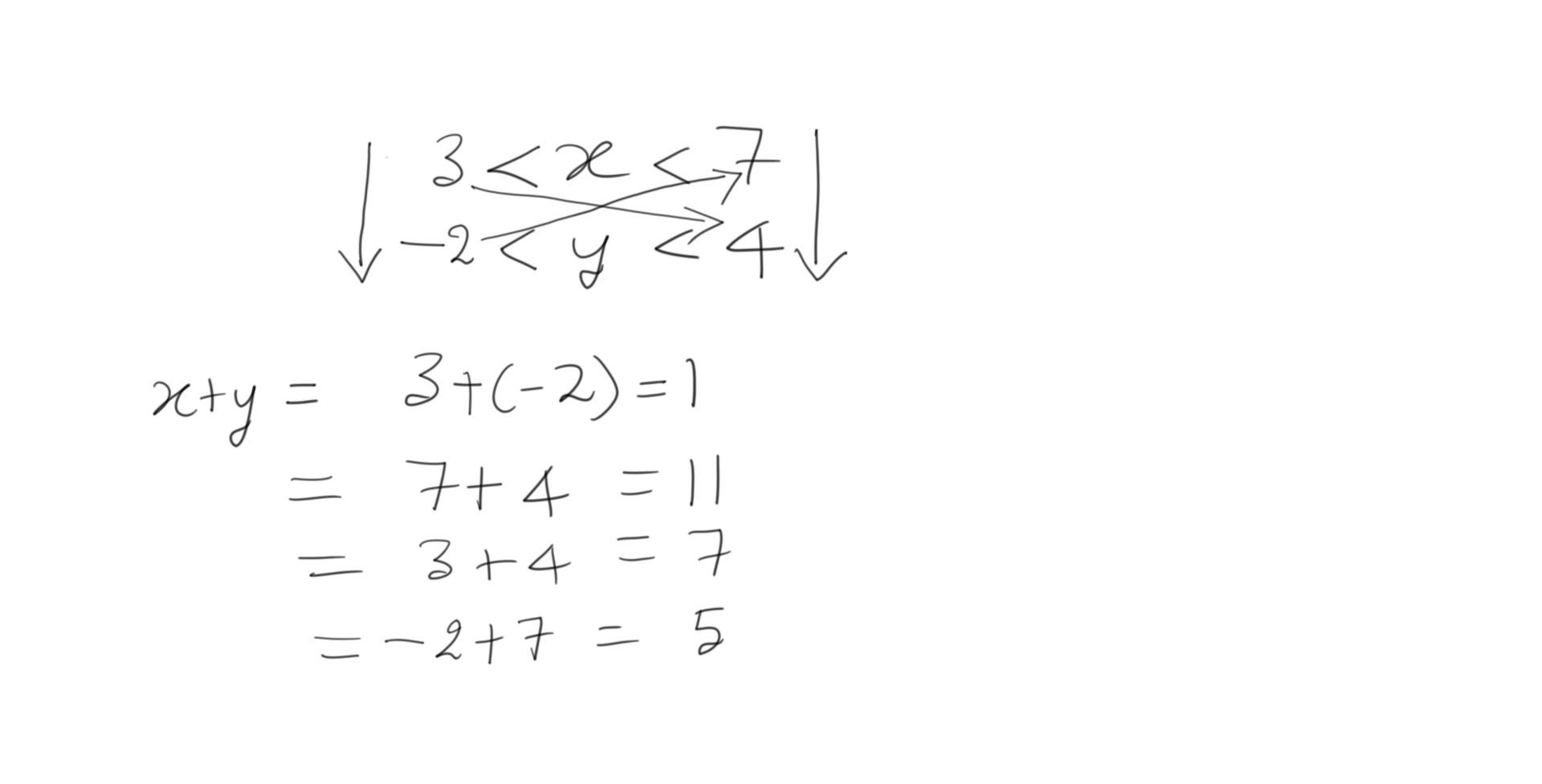
Applying this principle on the given inequalities will make it clearer. Let’s start with statement I; applying the max-min principle as outline above, our calculation can look like the one shown in the image.

Attachment:
02nd July 2020 - Reply 3 - 1.jpg
02nd July 2020 - Reply 3 - 1.jpg [ 49.27 KiB | Viewed 4012 times ]

It’s clear that the smallest value of the expression (x+y) is 1; therefore, x+y>0 is definitely true. Statement I has to be a part of our answer, therefore answer option B can be eliminated.

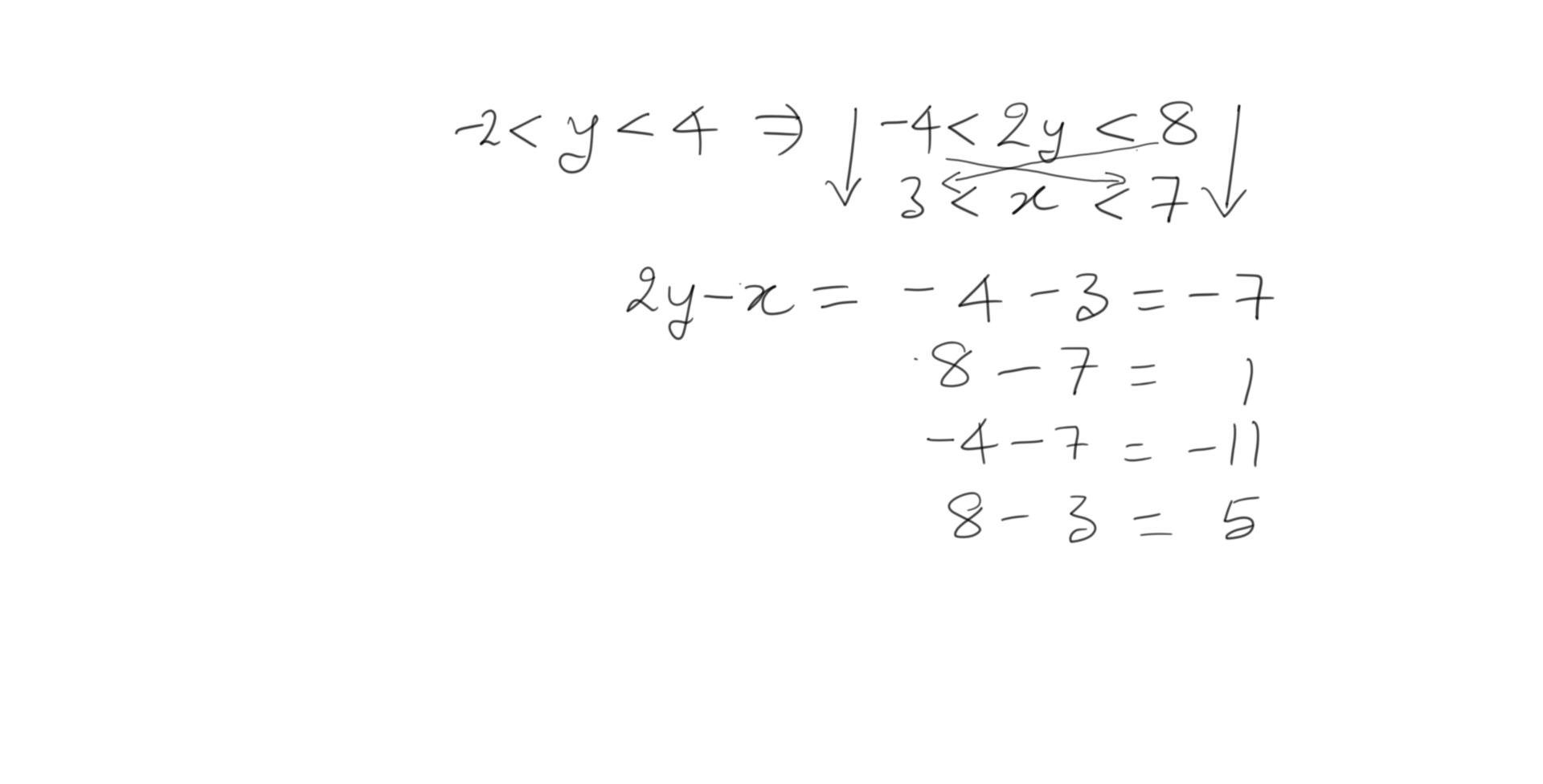
When we apply the max-min principle on statement II, the calculation looks like this:

Attachment:
02nd July 2020 - Reply 3 - 2.jpg
02nd July 2020 - Reply 3 - 2.jpg [ 48.68 KiB | Viewed 3968 times ]

It’s clear that the smallest value of 2y-x is -11. Therefore, 2y-x>0 is not always true. The answer options containing statement II viz., C and E can be eliminated.

When we evaluate statement III in a similar manner,

Attachment:
02nd July 2020 - Reply 3 - 3.jpg
02nd July 2020 - Reply 3 - 3.jpg [ 50.52 KiB | Viewed 3981 times ]

We find that the smallest value of the expression 2x – y is 2. Therefore, 2x – y > 1 is definitely true and hence answer option A can be eliminated. The only answer option left is D, which HAS TO be the correct answer.

The correct answer option is D.

Hope that helps!
Arvind
User avatar
Babineaux
Joined: 24 May 2018
Last visit: 26 Nov 2020
Posts: 93
Own Kudos:
113
 [1]
Given Kudos: 35
Location: India
Concentration: General Management, Human Resources
WE:Engineering (Energy)
Posts: 93
Kudos: 113
 [1]
Kudos
Add Kudos
1
Bookmarks
Bookmark this Post
Please refer to the pic uploaded
IMO ans is D, that I and III only.

Posted from my mobile device
Attachments

DSC_1350~2.JPG
DSC_1350~2.JPG [ 636.27 KiB | Viewed 3953 times ]

User avatar
ScottTargetTestPrep
User avatar
Target Test Prep Representative
Joined: 14 Oct 2015
Last visit: 24 Apr 2026
Posts: 22,286
Own Kudos:
Given Kudos: 302
Status:Founder & CEO
Affiliations: Target Test Prep
Location: United States (CA)
Expert
Expert reply
Active GMAT Club Expert! Tag them with @ followed by their username for a faster response.
Posts: 22,286
Kudos: 26,534
Kudos
Add Kudos
Bookmarks
Bookmark this Post
Bunuel
If \(3 < x < 7\) and \(4 > y > − 2\), which of the following must be true?

I. \(x   + y > 0\)

II. \(2y −   x   > 0\)

III. \(2x − y > 1\)

A. I only
B. II only
C. I and II only
D. I and III only
E. I, II, and III

Solution:

Let’s analyze each statement.

I. x + y > 0

Since x > 3 and y > -2,

x + y > 3 + (-2)

x + y > 1

Since x + y > 1, x + y > 0. We see that I is true.

II. 2y - x > 0

If y = 1 and x = 4, we see that 2y - x = -2, which is not greater than 0. So II is not true.

III. 2x - y > 1

Since x > 3 and y < 4 (i.e., -y > -4),

2x - y > 2(3) - 4

2x - y > 2

Since 2x - y > 2, 2x - y > 1. We seet that III is true.

Answer: D
User avatar
BrushMyQuant
Joined: 05 Apr 2011
Last visit: 03 Apr 2026
Posts: 2,286
Own Kudos:
Given Kudos: 100
Status:Tutor - BrushMyQuant
Location: India
Concentration: Finance, Marketing
Schools: XLRI (A)
GMAT 1: 700 Q51 V31
GPA: 3
WE:Information Technology (Computer Software)
Expert
Expert reply
Schools: XLRI (A)
GMAT 1: 700 Q51 V31
Posts: 2,286
Kudos: 2,680
Kudos
Add Kudos
Bookmarks
Bookmark this Post
Given that \(3 < x < 7\) and \(4 > y > − 2\) and we need to find out which of the answer choices MUST be true

Let's solve it using two methods

Method 1: Substitution

Since it's a must be a true question so we need to prove the answer choices wrong

I. \(x   + y > 0\)
Now, the value of x is positive and minimum value of y can only be very close to -2. Even if we take that value then also x+y will be positive as minimum value of x is very close to 3
So, this is ALWAYS TRUE

II. \(2y −   x   > 0\)
Now, any negative value of y and a positive value of x will be sufficient to prove this one wrong
y = -1 and x = 4
=> 2y - x = 2*-1 - 4 < 0 => FALSE

III. \(2x − y > 1\)
We need to take minimum value of x and maximum value of y to try to prove this one wrong
=> x = 3.1, y = 3.9
=> 2x - y = 2*3.1 - 3.9 = 6.2 - 3.9 > 1 => ALWAYS TRUE

=> I and III are correct

So, Answer will be D

Method 2: Algebra

\(3 < x < 7\) and \(4 > y > − 2\)

I. \(x   + y > 0\)
Add (1) and (2) we get

3-2 < x + y < 7+4
=> 1 < x-y < 11
Clearly x+y will always be > 0 => TRUE

II. \(2y −   x   > 0\)
Multiply (1) by -1 we get
-7 < -x < 3 ...(4)

Multiple (2) by 2 we get
\(-4 < 2y < 8\) ..(5)

Adding (4) and (5) we get
-7-4 < 2y -x < 3+8
=> -11 < 2y-x < 11

Clearly 2y - x can be < 0 => FALSE

III. \(2x − y > 1\)
Multiply (1) by 2 we get
6 < 2x < 14 ...(6)

Multiple (2) by -1 we get
\(-4 < y < 2\) ..(7)

Adding (6) and (7) we get
6-4 < 2x-y < 14+2
=> 2 < 2x-y < 16
Clearly, 2x-y > 1 => TRUE

=> I and III are correct

So, Answer will be D
Hope it helps!

Watch the following video to learn the Basics of Inequalities

Moderators:
Math Expert
109818 posts
Tuck School Moderator
853 posts