Last visit was: 24 Apr 2026, 10:34 It is currently 24 Apr 2026, 10:34
Close
GMAT Club Daily Prep
Thank you for using the timer - this advanced tool can estimate your performance and suggest more practice questions. We have subscribed you to Daily Prep Questions via email.

Customized
for You

we will pick new questions that match your level based on your Timer History

Track
Your Progress

every week, we’ll send you an estimated GMAT score based on your performance

Practice
Pays

we will pick new questions that match your level based on your Timer History
Not interested in getting valuable practice questions and articles delivered to your email? No problem, unsubscribe here.
Close
Request Expert Reply
Confirm Cancel
User avatar
RenB
Joined: 13 Jul 2022
Last visit: 02 Mar 2026
Posts: 389
Own Kudos:
1,471
 [22]
Given Kudos: 304
Location: India
Concentration: Finance, Nonprofit
GMAT Focus 1: 715 Q90 V84 DI82
GPA: 3.74
WE:Corporate Finance (Consulting)
Kudos
Add Kudos
22
Bookmarks
Bookmark this Post
Most Helpful Reply
User avatar
chetan2u
User avatar
GMAT Expert
Joined: 02 Aug 2009
Last visit: 24 Apr 2026
Posts: 11,229
Own Kudos:
45,008
 [5]
Given Kudos: 335
Status:Math and DI Expert
Location: India
Concentration: Human Resources, General Management
GMAT Focus 1: 735 Q90 V89 DI81
Products:
Expert
Expert reply
GMAT Focus 1: 735 Q90 V89 DI81
Posts: 11,229
Kudos: 45,008
 [5]
4
Kudos
Add Kudos
1
Bookmarks
Bookmark this Post
General Discussion
User avatar
gmatophobia
User avatar
Quant Chat Moderator
Joined: 22 Dec 2016
Last visit: 19 Apr 2026
Posts: 3,173
Own Kudos:
Given Kudos: 1,862
Location: India
Concentration: Strategy, Leadership
Posts: 3,173
Kudos: 11,462
Kudos
Add Kudos
Bookmarks
Bookmark this Post
User avatar
BrushMyQuant
Joined: 05 Apr 2011
Last visit: 03 Apr 2026
Posts: 2,286
Own Kudos:
2,680
 [1]
Given Kudos: 100
Status:Tutor - BrushMyQuant
Location: India
Concentration: Finance, Marketing
Schools: XLRI (A)
GMAT 1: 700 Q51 V31
GPA: 3
WE:Information Technology (Computer Software)
Expert
Expert reply
Schools: XLRI (A)
GMAT 1: 700 Q51 V31
Posts: 2,286
Kudos: 2,680
 [1]
Kudos
Add Kudos
1
Bookmarks
Bookmark this Post
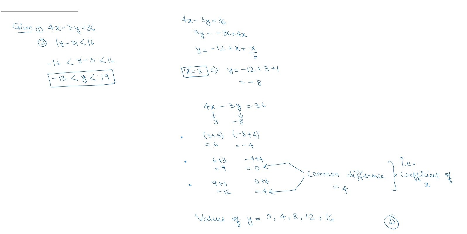
|y - 3| < 16
=> -16 < y - 3 < 16

Adding 3 on all the sides
=> -16 + 3 < y - 3 + 3 < 16 + 3
=> -13 < y < 19

But y is non-negative
=> 0 y < 19

4x-3y = 36
=> 4x = 3y + 36
=> x = \(\frac{3y + 36}{4}\) = \(\frac{3y}{4} + 9\)

Since, x is an integer so only those values of y which will make [m]\frac{3y}{4} an integer are possible
=> y will be a multiple of 4

=> Multiplies of 4 between 0 and 19, which are 0, 4, 8, 12, 16
=> 5 values

So, Answer will be D
Hope it helps!

Watch the following video to MASTER Absolute Values

User avatar
bumpbot
User avatar
Non-Human User
Joined: 09 Sep 2013
Last visit: 04 Jan 2021
Posts: 38,973
Own Kudos:
Posts: 38,973
Kudos: 1,117
Kudos
Add Kudos
Bookmarks
Bookmark this Post
Automated notice from GMAT Club BumpBot:

A member just gave Kudos to this thread, showing it’s still useful. I’ve bumped it to the top so more people can benefit. Feel free to add your own questions or solutions.

This post was generated automatically.
Moderators:
Math Expert
109814 posts
Tuck School Moderator
853 posts