Last visit was: 24 Apr 2026, 17:37 It is currently 24 Apr 2026, 17:37
Close
GMAT Club Daily Prep
Thank you for using the timer - this advanced tool can estimate your performance and suggest more practice questions. We have subscribed you to Daily Prep Questions via email.

Customized
for You

we will pick new questions that match your level based on your Timer History

Track
Your Progress

every week, we’ll send you an estimated GMAT score based on your performance

Practice
Pays

we will pick new questions that match your level based on your Timer History
Not interested in getting valuable practice questions and articles delivered to your email? No problem, unsubscribe here.
Close
Request Expert Reply
Confirm Cancel
User avatar
Bunuel
User avatar
Math Expert
Joined: 02 Sep 2009
Last visit: 24 Apr 2026
Posts: 109,818
Own Kudos:
Given Kudos: 105,873
Products:
Expert
Expert reply
Active GMAT Club Expert! Tag them with @ followed by their username for a faster response.
Posts: 109,818
Kudos: 811,081
 [41]
3
Kudos
Add Kudos
37
Bookmarks
Bookmark this Post
User avatar
GMATinsight
User avatar
Major Poster
Joined: 08 Jul 2010
Last visit: 24 Apr 2026
Posts: 6,977
Own Kudos:
16,914
 [7]
Given Kudos: 128
Status:GMAT/GRE Tutor l Admission Consultant l On-Demand Course creator
Location: India
GMAT: QUANT+DI EXPERT
Schools: IIM (A) ISB '24
GMAT 1: 750 Q51 V41
WE:Education (Education)
Products:
Expert
Expert reply
Schools: IIM (A) ISB '24
GMAT 1: 750 Q51 V41
Posts: 6,977
Kudos: 16,914
 [7]
2
Kudos
Add Kudos
5
Bookmarks
Bookmark this Post
avatar
laxpro2001
Joined: 30 Mar 2017
Last visit: 28 Sep 2018
Posts: 29
Own Kudos:
Given Kudos: 47
Location: United States (FL)
Posts: 29
Kudos: 28
Kudos
Add Kudos
Bookmarks
Bookmark this Post
User avatar
rocko911
Joined: 11 Feb 2017
Last visit: 12 Apr 2018
Posts: 157
Own Kudos:
Given Kudos: 206
Posts: 157
Kudos: 37
Kudos
Add Kudos
Bookmarks
Bookmark this Post
GMATinsight
Bunuel
Two friends, X and Y start from two points M and N and move towards each other and meet at a point P on the way. How much distance has Y travelled up to the meeting point?

(1) X and Y travel at speeds of 30 miles per hour and 20 miles per hour, respectively.
(2) Had Y travelled at 20 percent higher speed, X and Y would have met at a point which is 10 miles away from P.

\(Speed = \frac{Distance}{Time}\)

Question: Distance of Y = ?

Statement 1:X and Y travel at speeds of 30 miles per hour and 20 miles per hour, respectively

The ratio of speeds = Ratio of their timings as Speed is directly proportional to Time

\(\frac{S_1}{S_2} = \frac{D_1}{D_2}\)
But since the total distance is unknown hence
NOT SUFFICIENT

Statement 2:Had Y travelled at 20 percent higher speed, X and Y would have met at a point which is 10 miles away from P
i.e. @20% of speed of Y, the distance travelled in entire time of travel = 10 miles

but since we don't know the speed of Y hence
NOT SUFFICIENT

Combining the two statements
Speed of Y = 20 miles and hour
@20% of speed of Y, the distance travelled in entire time of travel = 10 miles
i.e. (0.2*20)*T = 10 where T is the total time of travel
i.e. T = 2.5 hours
So distance travelled by Y = 20*2.5 = 50 miles

answer: option C


When it is told that if Y had travelled 20% faster then they both would have met 10 mile away from point P

My doubt is
1) How do u know if that point is left to point P or right to point P? are we assuming it on left to P becoz Y would have travelled faster?
2) How can the distance between P and the new meeting point tells us that Y travelled only 10 miles??



Please i need urgent help
User avatar
shekyonline
Joined: 10 Apr 2015
Last visit: 30 Dec 2017
Posts: 114
Own Kudos:
99
 [2]
Given Kudos: 35
GPA: 3.31
Posts: 114
Kudos: 99
 [2]
Kudos
Add Kudos
2
Bookmarks
Bookmark this Post
Two friends, X and Y start from two points M and N and move towards each other and meet at a point P on the way. How much distance has Y travelled up to the meeting point?

(1) X and Y travel at speeds of 30 miles per hour and 20 miles per hour, respectively.
(2) Had Y travelled at 20 percent higher speed, X and Y would have met at a point which is 10 miles away from P.

(1) says-
the distance travelled by Y - 2/5 d.
the distance travelled by X - 3/5 d.

Not sure of d ( total distance). Clearly insuff.

(2)- No mention of speed of Y and what is the ratio of speed of X and Y.
Clearly insuff.

(1) + (2)-

YP = distance Y travelled = 2/5*d.

Now YP' = new distance travelled by Y = (20*1.20 / ( 20*1.2 + 30))d = 0.44d

YP' - YP = 0.04d

0.04d = 10; d = 250.
YP = 2/5*d = 100 miles.


Ans C
Hope it clears doubt.
Attachments

File comment: Hope the diagram clarifies,
explain.jpg
explain.jpg [ 16.41 KiB | Viewed 11248 times ]

User avatar
rocko911
Joined: 11 Feb 2017
Last visit: 12 Apr 2018
Posts: 157
Own Kudos:
Given Kudos: 206
Posts: 157
Kudos: 37
Kudos
Add Kudos
Bookmarks
Bookmark this Post
shekyonline
Two friends, X and Y start from two points M and N and move towards each other and meet at a point P on the way. How much distance has Y travelled up to the meeting point?

(1) X and Y travel at speeds of 30 miles per hour and 20 miles per hour, respectively.
(2) Had Y travelled at 20 percent higher speed, X and Y would have met at a point which is 10 miles away from P.

(1) says-
the distance travelled by Y - 2/5 d.
the distance travelled by X - 3/5 d.

Not sure of d ( total distance). Clearly insuff.

(2)- No mention of speed of Y and what is the ratio of speed of X and Y.
Clearly insuff.

(1) + (2)-

YP = distance Y travelled = 2/5*d.

Now YP' = new distance travelled by Y = (20*1.20 / ( 20*1.2 + 30))d = 0.44d

YP' - YP = 0.04d

0.04d = 10; d = 250.
YP = 2/5*d = 100 miles.


Ans C
Hope it clears doubt.





the distance travelled by Y - 2/5 d.
the distance travelled by X - 3/5 d.

How?
User avatar
testcracker
Joined: 24 Mar 2015
Last visit: 02 Dec 2024
Posts: 199
Own Kudos:
Given Kudos: 541
Status:love the club...
Posts: 199
Kudos: 135
Kudos
Add Kudos
Bookmarks
Bookmark this Post
GMATinsight
Bunuel
Two friends, X and Y start from two points M and N and move towards each other and meet at a point P on the way. How much distance has Y travelled up to the meeting point?

(1) X and Y travel at speeds of 30 miles per hour and 20 miles per hour, respectively.
(2) Had Y travelled at 20 percent higher speed, X and Y would have met at a point which is 10 miles away from P.

\(Speed = \frac{Distance}{Time}\)

Question: Distance of Y = ?

Statement 1:X and Y travel at speeds of 30 miles per hour and 20 miles per hour, respectively

The ratio of speeds = Ratio of their timings as Speed is directly proportional to Time

\(\frac{S_1}{S_2} = \frac{D_1}{D_2}\)


But since the total distance is unknown hence
NOT SUFFICIENT

Statement 2:Had Y travelled at 20 percent higher speed, X and Y would have met at a point which is 10 miles away from P
i.e. @20% of speed of Y, the distance travelled in entire time of travel = 10 miles

but since we don't know the speed of Y hence
NOT SUFFICIENT

Combining the two statements
Speed of Y = 20 miles and hour
@20% of speed of Y, the distance travelled in entire time of travel = 10 miles
i.e. (0.2*20)*T = 10 where T is the total time of travel
i.e. T = 2.5 hours
So distance travelled by Y = 20*2.5 = 50 miles

answer: option C


hey

I got your equation very right ....

please, however, tell me the reason why the below equation is not right for...

1.2y(d + 10) - yd = 10 miles
where y = y's speed and d= distance traveled by y

thanks in advance ...
User avatar
shekyonline
Joined: 10 Apr 2015
Last visit: 30 Dec 2017
Posts: 114
Own Kudos:
Given Kudos: 35
GPA: 3.31
Posts: 114
Kudos: 99
Kudos
Add Kudos
Bookmarks
Bookmark this Post
rocko911

Distance travelled by X = d(x) = speed(x)* time(x)
Distance travelled by Y = d(y) = speed(y)* time(y)

time(x) = time(y) as X, Y meet at a point.

So d(x)/(d(y) = 3/2

distance traveled by X will be d(x)/(d(x)+d(y)) of total distance= (3/ (3+2)) of d = 3/5d

distance traveled by Y will be d - 3/5d = 2/5d.

Hope its clear.
avatar
Shiprasingh1100
Joined: 28 Mar 2017
Last visit: 11 Aug 2018
Posts: 4
Given Kudos: 45
Posts: 4
Kudos: 0
Kudos
Add Kudos
Bookmarks
Bookmark this Post
Bunuel
Two friends, X and Y start from two points M and N and move towards each other and meet at a point P on the way. How much distance has Y travelled up to the meeting point?

(1) X and Y travel at speeds of 30 miles per hour and 20 miles per hour, respectively.
(2) Had Y travelled at 20 percent higher speed, X and Y would have met at a point which is 10 miles away from P.


Is statement B alone not sufficient to solve this? If speed of Y is "Y" and Time for them to meet at point P is "T" then we effectively need to calculate Y*T.
Distance when travelling at speed Y = Y*T
Distance when travelling at speed 1.2Y = Y*T + 10 (this distance will be more than Y*T because Y is walking faster)
So we get Y*T + 10 = 1.2 Y*T
which gives Y*T = 50 [isn't this sufficient by itself?]
User avatar
atomicmass
Joined: 01 Jun 2016
Last visit: 28 Jan 2018
Posts: 19
Own Kudos:
40
 [3]
Given Kudos: 48
Posts: 19
Kudos: 40
 [3]
2
Kudos
Add Kudos
1
Bookmarks
Bookmark this Post
Shiprasingh1100
Bunuel
Two friends, X and Y start from two points M and N and move towards each other and meet at a point P on the way. How much distance has Y travelled up to the meeting point?

(1) X and Y travel at speeds of 30 miles per hour and 20 miles per hour, respectively.
(2)

Had Y travelled at 20 percent higher speed, X and Y would have met at a point which is 10 miles away from P.



Is statement B alone not sufficient to solve this? If speed of Y is "Y" and Time for them to meet at point P is "T" then we effectively need to calculate Y*T.
Distance when travelling at speed Y = Y*T

Distance when travelling at speed 1.2Y = Y*T + 10 (this distance will be more than Y*T because Y is walking faster)


So we get Y*T + 10 = 1.2 Y*T
which gives Y*T = 50 [isn't this sufficient by itself?]

Shiprasingh1100
I was thinking on the same line, but my friend we are wrong.

Check the above highlighted texts again and try to find a flaw in your reasoning. First try if you are still unable to find the flaw check the below spoilers.

Hint:
Statement 2 says Y travels faster and nothing about the speed of X.

Answer:
Statement 2 says 10miles away, and nothing about the speed of X.
Case 1. speed of X is constant then, your equation below is correct.
1.2Y = Y*T + 10

Case2. Speed of X is increased by a greater number such that speed of Y relative to its speed earlier is less. In this case Y would travek 10miles less than what Y travelled earlier. So the equation would be
1.2Y = Y*T - 10
avatar
tejas0999
Joined: 30 Aug 2017
Last visit: 02 Apr 2018
Posts: 9
Own Kudos:
Given Kudos: 24
Location: India
Schools: ISB '19 (A)
GMAT 1: 670 Q47 V35
GPA: 3.9
Schools: ISB '19 (A)
GMAT 1: 670 Q47 V35
Posts: 9
Kudos: 2
Kudos
Add Kudos
Bookmarks
Bookmark this Post
Shiprasingh1100
Bunuel
Two friends, X and Y start from two points M and N and move towards each other and meet at a point P on the way. How much distance has Y travelled up to the meeting point?

(1) X and Y travel at speeds of 30 miles per hour and 20 miles per hour, respectively.
(2) Had Y travelled at 20 percent higher speed, X and Y would have met at a point which is 10 miles away from P.


Is statement B alone not sufficient to solve this? If speed of Y is "Y" and Time for them to meet at point P is "T" then we effectively need to calculate Y*T.
Distance when travelling at speed Y = Y*T
Distance when travelling at speed 1.2Y = Y*T + 10 (this distance will be more than Y*T because Y is walking faster)
So we get Y*T + 10 = 1.2 Y*T
which gives Y*T = 50 [isn't this sufficient by itself?]

Can any expert respond to this. Taking simple numbers also, if the original speed is say 100 mph and the speed is increased by 20 percent. The distance traveled will also be increased by 20%? If so, statement B is sufficient.
User avatar
Prashant10692
Joined: 21 Mar 2017
Last visit: 22 May 2018
Posts: 95
Own Kudos:
Given Kudos: 275
Location: India
GMAT 1: 560 Q48 V20
WE:Other (Computer Software)
Products:
GMAT 1: 560 Q48 V20
Posts: 95
Kudos: 144
Kudos
Add Kudos
Bookmarks
Bookmark this Post
Bunuel

In the second case, What if the time is same.

So t1= t2
I.e Increase in speed will compensate by decreasing the distance. Time being same.

p/y = p+10/1.2y

Y get cancelled. We have p=50.
So statement 2 is sufficient.

Where I am making the error? Please suggest.
Thanks in advance.
User avatar
nahid78
Joined: 12 Mar 2013
Last visit: 30 Apr 2023
Posts: 283
Own Kudos:
Given Kudos: 1,062
Products:
Posts: 283
Kudos: 738
Kudos
Add Kudos
Bookmarks
Bookmark this Post
Bunuel
Two friends, X and Y start from two points M and N and move towards each other and meet at a point P on the way. How much distance has Y travelled up to the meeting point?

(1) X and Y travel at speeds of 30 miles per hour and 20 miles per hour, respectively.
(2) Had Y travelled at 20 percent higher speed, X and Y would have met at a point which is 10 miles away from P.


Let assume that Y's speed= S
Time= T
Then Distance Y traveled up to the meeting point = D
We are supposed to find S*T or D

S*T = D

as per (2) 1.2S*T = D + 10
So, D = 1.2S*T -10


SO S*T= 1.2S*T - 10
1.2S*T - S*T = 10
ST (1.2-1) = 10
S*T= 10/.2= 50

So, (2) alone can answer this question. If i am wrong, what is wrong with my calculation?

chetan2u, Can you please help me?
User avatar
testcracker
Joined: 24 Mar 2015
Last visit: 02 Dec 2024
Posts: 199
Own Kudos:
Given Kudos: 541
Status:love the club...
Posts: 199
Kudos: 135
Kudos
Add Kudos
Bookmarks
Bookmark this Post
gmatcracker2018
GMATinsight
Bunuel
Two friends, X and Y start from two points M and N and move towards each other and meet at a point P on the way. How much distance has Y travelled up to the meeting point?

(1) X and Y travel at speeds of 30 miles per hour and 20 miles per hour, respectively.
(2) Had Y travelled at 20 percent higher speed, X and Y would have met at a point which is 10 miles away from P.

\(Speed = \frac{Distance}{Time}\)

Question: Distance of Y = ?

Statement 1:X and Y travel at speeds of 30 miles per hour and 20 miles per hour, respectively

The ratio of speeds = Ratio of their timings as Speed is directly proportional to Time

\(\frac{S_1}{S_2} = \frac{D_1}{D_2}\)


But since the total distance is unknown hence
NOT SUFFICIENT

Statement 2:Had Y travelled at 20 percent higher speed, X and Y would have met at a point which is 10 miles away from P
i.e. @20% of speed of Y, the distance travelled in entire time of travel = 10 miles

but since we don't know the speed of Y hence
NOT SUFFICIENT

Combining the two statements
Speed of Y = 20 miles and hour
@20% of speed of Y, the distance travelled in entire time of travel = 10 miles
i.e. (0.2*20)*T = 10 where T is the total time of travel
i.e. T = 2.5 hours
So distance travelled by Y = 20*2.5 = 50 miles

answer: option C


hey

I got your equation very right ....

please, however, tell me the reason why the below equation is not right for...

1.2y(d + 10) - yd = 10 miles
where y = y's speed and d= distance traveled by y

thanks in advance ...

I think i have got it

distance = speed * time, NOT speed * distance

thnaks
User avatar
chetan2u
User avatar
GMAT Expert
Joined: 02 Aug 2009
Last visit: 24 Apr 2026
Posts: 11,229
Own Kudos:
45,009
 [1]
Given Kudos: 335
Status:Math and DI Expert
Location: India
Concentration: Human Resources, General Management
GMAT Focus 1: 735 Q90 V89 DI81
Products:
Expert
Expert reply
GMAT Focus 1: 735 Q90 V89 DI81
Posts: 11,229
Kudos: 45,009
 [1]
Kudos
Add Kudos
1
Bookmarks
Bookmark this Post
nahid78
Bunuel
Two friends, X and Y start from two points M and N and move towards each other and meet at a point P on the way. How much distance has Y travelled up to the meeting point?

(1) X and Y travel at speeds of 30 miles per hour and 20 miles per hour, respectively.
(2) Had Y travelled at 20 percent higher speed, X and Y would have met at a point which is 10 miles away from P.


Let assume that Y's speed= S
Time= T
Then Distance Y traveled up to the meeting point = D
We are supposed to find S*T or D

S*T = D

as per (2) 1.2S*T = D + 10
So, D = 1.2S*T -10


SO S*T= 1.2S*T - 10
1.2S*T - S*T = 10
ST (1.2-1) = 10
S*T= 10/.2= 50

So, (2) alone can answer this question. If i am wrong, what is wrong with my calculation?

chetan2u, Can you please help me?


Hi....
Where you are going wrong is taking same time T in both cases..
When you increase speed of one, they will NOT meet in same time as they were meeting earlier. It will now be lesser than T
User avatar
MahmoudFawzy
Joined: 27 Oct 2018
Last visit: 20 Feb 2021
Posts: 660
Own Kudos:
Given Kudos: 200
Status:Manager
Location: Egypt
Concentration: Strategy, International Business
GPA: 3.67
WE:Pharmaceuticals (Healthcare/Pharmaceuticals)
Posts: 660
Kudos: 2,174
Kudos
Add Kudos
Bookmarks
Bookmark this Post
Bunuel
Two friends, X and Y start from two points M and N and move towards each other and meet at a point P on the way. How much distance has Y traveled up to the meeting point?

(1) X and Y travel at speeds of 30 miles per hour and 20 miles per hour, respectively.
(2) Had Y travelled at 20 percent higher speed, X and Y would have met at a point which is 10 miles away from P.

Hi Bunuel.

I thought it is E because it didn't state that X and Y started at the same time. Am I exaggerating?
User avatar
Karmesh
Joined: 18 Apr 2019
Last visit: 17 Mar 2020
Posts: 66
Own Kudos:
102
 [2]
Given Kudos: 85
Location: India
GMAT 1: 720 Q48 V40
GPA: 4
GMAT 1: 720 Q48 V40
Posts: 66
Kudos: 102
 [2]
2
Kudos
Add Kudos
Bookmarks
Bookmark this Post
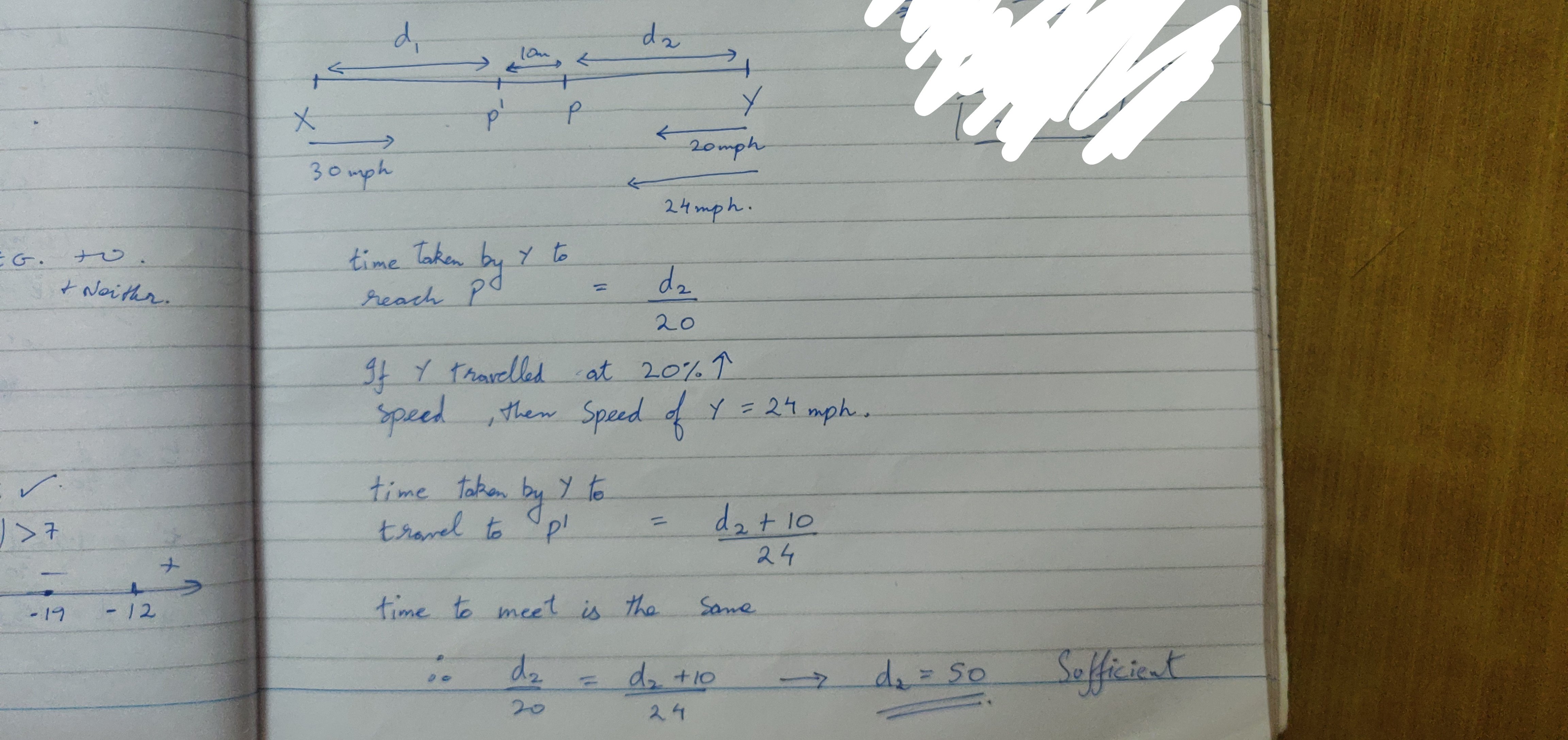
S1 & S2 are insufficient.
When combined: (refer to image)

The essence of the question is realising that even after the increase in speed, the time taken to meet is the same.
Attachments

IMG_20190711_122212__01.jpg
IMG_20190711_122212__01.jpg [ 2.15 MiB | Viewed 8411 times ]

avatar
sidship21
Joined: 12 Mar 2016
Last visit: 19 Mar 2025
Posts: 14
Own Kudos:
7
 [3]
Given Kudos: 305
Posts: 14
Kudos: 7
 [3]
2
Kudos
Add Kudos
1
Bookmarks
Bookmark this Post
Hi,

Unfortunately, I believe that most/all answers mentioned are wrong except for the fact that chetan2u has stated, which is true. If the speed of Y increases, and the speed of X remains the same, the total time taken for X and Y to meet will reduce. Why is this so? The answer is simple: consider 'd' to be the distance between M and N. When X and Y meet at P, they together cover a distance d. Now, at original speeds of x and y, total time taken to cover d is d/(x+y), where x and y is the combined rate of X and Y. If Y's speed increases by 20% and X's speed remains the same, then total time to cover d will be d/(x + 1.2y) which is less than d/(x+y). Therefore Statement II is insufficient, because all we have from St. II is that .2y*z = 10, where z is a time less than the some time t taken by Y, at its original speed, to cover distance until.

St I + St II:
We realise that X and Y travel for the same time until reaching point P. We'll call this time t. Let the total distance between M and N be represented by d.
Now, from St I, 30t + 20t = d - - > (1)
from St II, 30z + 24z = d -- >(2) (z is a time less than t, as per the explanation above)
we also know that 24z - 20t = 10 -->(3).

3 variables, 3 equations - solvable. Hence the answer is (C).

Bunuel chetan2u
GMATinsight - I believe your calculations are incorrect.

Thank you
User avatar
chetan2u
User avatar
GMAT Expert
Joined: 02 Aug 2009
Last visit: 24 Apr 2026
Posts: 11,229
Own Kudos:
45,009
 [2]
Given Kudos: 335
Status:Math and DI Expert
Location: India
Concentration: Human Resources, General Management
GMAT Focus 1: 735 Q90 V89 DI81
Products:
Expert
Expert reply
GMAT Focus 1: 735 Q90 V89 DI81
Posts: 11,229
Kudos: 45,009
 [2]
1
Kudos
Add Kudos
1
Bookmarks
Bookmark this Post
sidship21
Hi,
Unfortunately, I believe that most/all answers mentioned are wrong except for the fact that chetan2u has stated, which is true. If the speed of Y increases, and the speed of X remains the same, the total time taken for X and Y to meet will reduce. Why is this so? The answer is simple: consider 'd' to be the distance between M and N.

3 variables, 3 equations - solvable. Hence the answer is (C).

Bunuel chetan2u
GMATinsight - I believe your calculations are incorrect.

Thank you

Hi,

You are correct with your observations, and answer can be marked C without solving.

But if we were to solve it fully, one easy way would be..
Quote:
Two friends, X and Y start from two points M and N and move towards each other and meet at a point P on the way. How much distance has Y travelled up to the meeting point?

No info given except both are travelling towards each other.

(1) X and Y travel at speeds of 30 miles per hour and 20 miles per hour, respectively.
SO they have covered the distance in ratio X:Y = 30:20 or 3:2 or 3a:2a when they have traveled for equal time. We require to know the total distance to answer this question.

(2) Had Y traveled at 20 percent higher speed, X and Y would have met at a point which is 10 miles away from P.
So speed of \( Y = Y*1.2=24. \)

Combined
statement II tells us the new speed of Y = 20*1.2=24, and the distance covered now is \(X:Y=24:30=4:5=4b:5b\). Total distance = 4a+5a=9a.
Statement I told us they traveled a combined distance of 2a+3a=5a, but the distance has to be same in both instances, so \(5a=9b\)...(i)
Also, when speed is increased by 20% Y traveled 10 miles more. So, 4b-2a=10...a=2b-5...(ii)

Substitute the value of a in (i)
\(5(2b-5)=9b......10b-25=9b....b=25\), and Y travels = 4b=4*25=100
Total distance = 25*9=225= 5a...a=45
So 2a=2*45=90

C

NOTE : Y travels 2a or 90 when he travels with original speed and 4b or 100 with increased speed. difference = 100-90=10.
User avatar
KarishmaB
Joined: 16 Oct 2010
Last visit: 23 Apr 2026
Posts: 16,442
Own Kudos:
79,404
 [2]
Given Kudos: 485
Location: Pune, India
Expert
Expert reply
Active GMAT Club Expert! Tag them with @ followed by their username for a faster response.
Posts: 16,442
Kudos: 79,404
 [2]
1
Kudos
Add Kudos
1
Bookmarks
Bookmark this Post
Bunuel
Two friends, X and Y start from two points M and N and move towards each other and meet at a point P on the way. How much distance has Y travelled up to the meeting point?

(1) X and Y travel at speeds of 30 miles per hour and 20 miles per hour, respectively.
(2) Had Y travelled at 20 percent higher speed, X and Y would have met at a point which is 10 miles away from P.

Responding to a pm:


M ......................................... N
(X) --->---------P----<--(Y)

We need the actual distance PN.

1. X:Y = 3:2
Speeds are 30 mph and 20 mph respectively.
So Y will cover 2/5th of the total distance. But we need to know the distance.


2. If Y were 1.2Y

M ......................................... N
(X) --->------P'---P----<--(Y)
Distance between P and P' is 10 miles. But we don't know how much time was taken in each case.

Using both,
Speed of Y is 24 mph in second case. So distance it will cover in second case is 24/54 of the total distance

(24/54)D - (2/5)D = 10 (= P'N - PN)

[(120 - 108)/54*5 ] * D = 10

D = 225

Since Y travels (2/5)th of this distance, Y travels 90 miles.

Answer (C)
 1   2   
Moderators:
Math Expert
109818 posts
498 posts
212 posts