Last visit was: 24 Apr 2026, 17:44 It is currently 24 Apr 2026, 17:44
Close
GMAT Club Daily Prep
Thank you for using the timer - this advanced tool can estimate your performance and suggest more practice questions. We have subscribed you to Daily Prep Questions via email.

Customized
for You

we will pick new questions that match your level based on your Timer History

Track
Your Progress

every week, we’ll send you an estimated GMAT score based on your performance

Practice
Pays

we will pick new questions that match your level based on your Timer History
Not interested in getting valuable practice questions and articles delivered to your email? No problem, unsubscribe here.
Close
Request Expert Reply
Confirm Cancel
User avatar
chetan2u
User avatar
GMAT Expert
Joined: 02 Aug 2009
Last visit: 24 Apr 2026
Posts: 11,229
Own Kudos:
45,009
 [40]
Given Kudos: 335
Status:Math and DI Expert
Location: India
Concentration: Human Resources, General Management
GMAT Focus 1: 735 Q90 V89 DI81
Products:
Expert
Expert reply
GMAT Focus 1: 735 Q90 V89 DI81
Posts: 11,229
Kudos: 45,009
 [40]
3
Kudos
Add Kudos
37
Bookmarks
Bookmark this Post
Most Helpful Reply
User avatar
Bunuel
User avatar
Math Expert
Joined: 02 Sep 2009
Last visit: 24 Apr 2026
Posts: 109,818
Own Kudos:
Given Kudos: 105,873
Products:
Expert
Expert reply
Active GMAT Club Expert! Tag them with @ followed by their username for a faster response.
Posts: 109,818
Kudos: 811,081
 [15]
6
Kudos
Add Kudos
9
Bookmarks
Bookmark this Post
General Discussion
User avatar
lagomez
Joined: 05 Mar 2008
Last visit: 18 Sep 2011
Posts: 1,224
Own Kudos:
Given Kudos: 31
Posts: 1,224
Kudos: 563
Kudos
Add Kudos
Bookmarks
Bookmark this Post
User avatar
lagomez
Joined: 05 Mar 2008
Last visit: 18 Sep 2011
Posts: 1,224
Own Kudos:
Given Kudos: 31
Posts: 1,224
Kudos: 563
Kudos
Add Kudos
Bookmarks
Bookmark this Post
Okay, having 2nd thoughts here because are not told that the numbers are integers. They can be fractions in which case the answer would be c
avatar
adamsmith2010
Joined: 17 Dec 2009
Last visit: 07 Apr 2010
Posts: 12
Own Kudos:
Posts: 12
Kudos: 12
Kudos
Add Kudos
Bookmarks
Bookmark this Post
Debating between C and E. Testing decimals and C holds true a-3b is odd so I'll go with C.
User avatar
DestinyChild
Joined: 02 Oct 2009
Last visit: 23 Apr 2010
Posts: 124
Own Kudos:
Given Kudos: 4
Posts: 124
Kudos: 82
Kudos
Add Kudos
Bookmarks
Bookmark this Post
if anyone did that in less than 2 mins; come on over and shovel some snow for me...!
you need a life and something to be busy with :)

[Except may be Bunuel; because he's already helping us]
User avatar
tuhinkanti
Joined: 23 Nov 2009
Last visit: 05 Mar 2010
Posts: 19
Own Kudos:
Given Kudos: 1
Posts: 19
Kudos: 30
Kudos
Add Kudos
Bookmarks
Bookmark this Post
Can a fraction be even?
Is 1\2 even or odd?

Isn't the question stem ambiguos
User avatar
Bunuel
User avatar
Math Expert
Joined: 02 Sep 2009
Last visit: 24 Apr 2026
Posts: 109,818
Own Kudos:
811,081
 [1]
Given Kudos: 105,873
Products:
Expert
Expert reply
Active GMAT Club Expert! Tag them with @ followed by their username for a faster response.
Posts: 109,818
Kudos: 811,081
 [1]
Kudos
Add Kudos
1
Bookmarks
Bookmark this Post
tuhinkanti
Can a fraction be even?
Is 1\2 even or odd?

Isn't the question stem ambiguos

An even number is an integer that is "evenly divisible" by 2 i.e., divisible by 2 without remainder, an integer of the form n = 2k, where k is an integer.

An odd number is an integer that is not evenly divisible by 2, an integer of the form n = 2k + 1, where k is an integer.

As for the question: D can not be the answer, see the solution above two different answers possible for (1) and (2).
User avatar
tuhinkanti
Joined: 23 Nov 2009
Last visit: 05 Mar 2010
Posts: 19
Own Kudos:
30
 [1]
Given Kudos: 1
Posts: 19
Kudos: 30
 [1]
Kudos
Add Kudos
Bookmarks
Bookmark this Post
I got the solution thanks, I ignored the fact that to get an integer results the input could be any kind of number
User avatar
tania
Joined: 02 Oct 2008
Last visit: 03 Jan 2010
Posts: 37
Own Kudos:
Posts: 37
Kudos: 326
Kudos
Add Kudos
Bookmarks
Bookmark this Post
I went with option D, I completely ignored fraction values.

After going through the explanation I understand that it should be option C.
User avatar
Bunuel
User avatar
Math Expert
Joined: 02 Sep 2009
Last visit: 24 Apr 2026
Posts: 109,818
Own Kudos:
Given Kudos: 105,873
Products:
Expert
Expert reply
Active GMAT Club Expert! Tag them with @ followed by their username for a faster response.
Posts: 109,818
Kudos: 811,081
Kudos
Add Kudos
Bookmarks
Bookmark this Post
chetan2u
OA is E

Think OA is wrong. Source? Any explanation given?
User avatar
chetan2u
User avatar
GMAT Expert
Joined: 02 Aug 2009
Last visit: 24 Apr 2026
Posts: 11,229
Own Kudos:
Given Kudos: 335
Status:Math and DI Expert
Location: India
Concentration: Human Resources, General Management
GMAT Focus 1: 735 Q90 V89 DI81
Products:
Expert
Expert reply
GMAT Focus 1: 735 Q90 V89 DI81
Posts: 11,229
Kudos: 45,009
Kudos
Add Kudos
Bookmarks
Bookmark this Post
sorry i typed it wrong .. i have edited the oa, it is C
User avatar
GMATinsight
User avatar
Major Poster
Joined: 08 Jul 2010
Last visit: 24 Apr 2026
Posts: 6,977
Own Kudos:
16,914
 [4]
Given Kudos: 128
Status:GMAT/GRE Tutor l Admission Consultant l On-Demand Course creator
Location: India
GMAT: QUANT+DI EXPERT
Schools: IIM (A) ISB '24
GMAT 1: 750 Q51 V41
WE:Education (Education)
Products:
Expert
Expert reply
Schools: IIM (A) ISB '24
GMAT 1: 750 Q51 V41
Posts: 6,977
Kudos: 16,914
 [4]
3
Kudos
Add Kudos
1
Bookmarks
Bookmark this Post
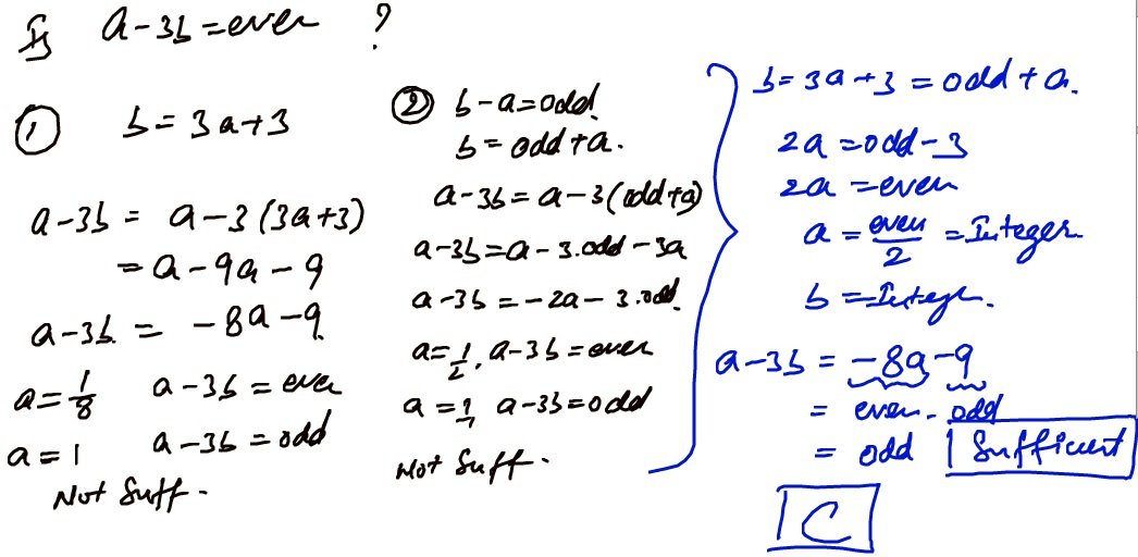
chetan2u
Is a - 3b an even number?

(1) b = 3a + 3
(2) b - a is an odd number


Please find detailed solution as attached
Attachments

File comment: www.GMATinsight.com
1113.jpg
1113.jpg [ 126.73 KiB | Viewed 10376 times ]

avatar
lifetantrik
Joined: 19 Aug 2016
Last visit: 14 Aug 2018
Posts: 6
Own Kudos:
Given Kudos: 83
Location: India
GMAT 1: 760 Q50 V42
GPA: 2.74
WE:Engineering (Healthcare/Pharmaceuticals)
GMAT 1: 760 Q50 V42
Posts: 6
Kudos: 8
Kudos
Add Kudos
Bookmarks
Bookmark this Post
I fell for the oldest trick in the book :/
User avatar
bumpbot
User avatar
Non-Human User
Joined: 09 Sep 2013
Last visit: 04 Jan 2021
Posts: 38,975
Own Kudos:
Posts: 38,975
Kudos: 1,117
Kudos
Add Kudos
Bookmarks
Bookmark this Post
Automated notice from GMAT Club BumpBot:

A member just gave Kudos to this thread, showing it’s still useful. I’ve bumped it to the top so more people can benefit. Feel free to add your own questions or solutions.

This post was generated automatically.
Moderators:
Math Expert
109818 posts
498 posts
212 posts