Last visit was: 30 Apr 2026, 07:16 It is currently 30 Apr 2026, 07:16
Close
GMAT Club Daily Prep
Thank you for using the timer - this advanced tool can estimate your performance and suggest more practice questions. We have subscribed you to Daily Prep Questions via email.

Customized
for You

we will pick new questions that match your level based on your Timer History

Track
Your Progress

every week, we’ll send you an estimated GMAT score based on your performance

Practice
Pays

we will pick new questions that match your level based on your Timer History
Not interested in getting valuable practice questions and articles delivered to your email? No problem, unsubscribe here.
Close
Request Expert Reply
Confirm Cancel
User avatar
Sajjad1994
User avatar
GRE Forum Moderator
Joined: 02 Nov 2016
Last visit: 29 Apr 2026
Posts: 16,757
Own Kudos:
51,983
 [40]
Given Kudos: 6,340
GPA: 3.62
Products:
Posts: 16,757
Kudos: 51,983
 [40]
Kudos
Add Kudos
39
Bookmarks
Bookmark this Post
Most Helpful Reply
User avatar
rocky620
User avatar
Retired Moderator
Joined: 10 Nov 2018
Last visit: 11 May 2023
Posts: 480
Own Kudos:
626
 [7]
Given Kudos: 229
Location: India
Concentration: General Management, Strategy
GMAT 1: 590 Q49 V22
WE:Other (Retail: E-commerce)
GMAT 1: 590 Q49 V22
Posts: 480
Kudos: 626
 [7]
5
Kudos
Add Kudos
2
Bookmarks
Bookmark this Post
General Discussion
avatar
nikitachaudhary
Joined: 07 Jul 2020
Last visit: 10 Dec 2021
Posts: 4
Own Kudos:
Given Kudos: 26
Posts: 4
Kudos: 1
Kudos
Add Kudos
Bookmarks
Bookmark this Post
User avatar
sayan640
Joined: 29 Oct 2015
Last visit: 30 Apr 2026
Posts: 1,118
Own Kudos:
863
 [1]
Given Kudos: 790
GMAT 1: 570 Q42 V28
Products:
GMAT 1: 570 Q42 V28
Posts: 1,118
Kudos: 863
 [1]
1
Kudos
Add Kudos
Bookmarks
Bookmark this Post
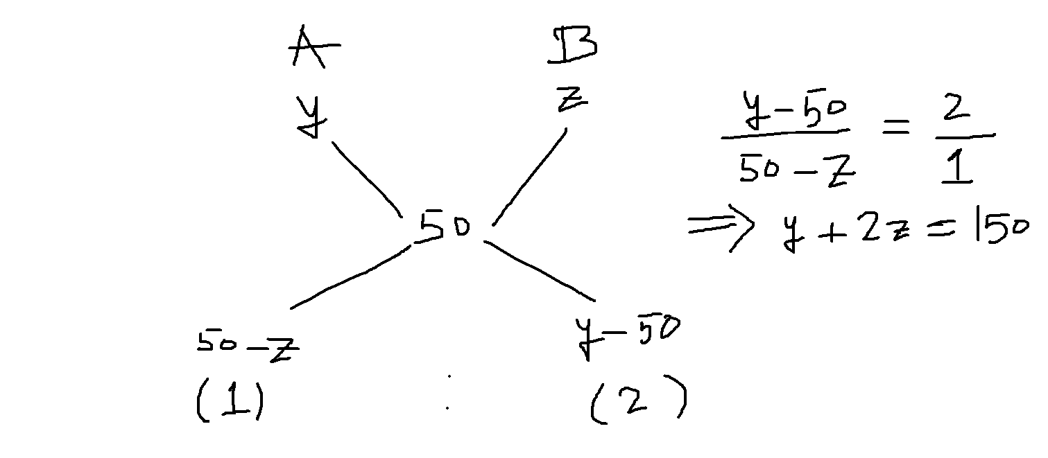
A => 30 % , 50% or 70%
B=> 20% , 40% and 60%

lets say , y% of A is mixed with z% of B to get the 50% in the combined reagent.

She has twice as much of Brand B as Brand A.­

Hence , we get y + 2z= 150

lets try different values of z and y.
If z = 60 , then 30 + 120 = 150 
But there is no value of y as 30. Hence z cant be 60.

Lets take  y=70 and z=40 , 70 + 40*2 = 150 
 It works and is the answer. ( Keep trying only with the 6 values given i.e 30 , 50 , 70 , 20 , 40 and 60 ).

GMATinsight chetan2u KarishmaB Am I right in my approach ?­
Attachments

Alligation15th June.png
Alligation15th June.png [ 17.41 KiB | Viewed 4255 times ]

User avatar
cheshire
User avatar
DI Forum Moderator
Joined: 26 Jun 2025
Last visit: 18 Sep 2025
Posts: 261
Own Kudos:
301
 [1]
Given Kudos: 34
Posts: 261
Kudos: 301
 [1]
1
Kudos
Add Kudos
Bookmarks
Bookmark this Post
Yep this is correct. Your diagram is similar to the alligation method which might be faster but this is a good approach.
sayan640
A => 30 % , 50% or 70%
B=> 20% , 40% and 60%

lets say , y% of A is mixed with z% of B to get the 50% in the combined reagent.

She has twice as much of Brand B as Brand A.­

Hence , we get y + 2z= 150

lets try different values of z and y.
If z = 60 , then 30 + 120 = 150
But there is no value of y as 30. Hence z cant be 60.

Lets take y=70 and z=40 , 70 + 40*2 = 150
It works and is the answer. ( Keep trying only with the 6 values given i.e 30 , 50 , 70 , 20 , 40 and 60 ).

GMATinsight chetan2u KarishmaB Am I right in my approach ?­
Moderators:
Math Expert
110008 posts
498 posts
212 posts