Bunuel
A pentagon with 5 sides of equal length and 5 interior angles of equal measure is inscribed in a circle. Is the perimeter of the pentagon greater than 26 centimeters?
(1) The area of the circle is 16π square centimeters.
(2) The length of each diagonal of the pentagon is less than 8 centimeters.
DS75271.01
OG2020 NEW QUESTION
This is an inequality involving problem we should look for some upper bound we can compare our perimeter to. This problem involves circles and typically if we have info about radius we are sufficient
Now, if you cannot find the upper bound quantity look to the information in the statements to see if they point you in the direction of it
the perimeter of our pentagon will be less than the circumference of the circle circumscribing it, so if we can show the circumference of the circle <26 cm we are good
(1) area of circle is 16pi--->r=4 and c=2(3.14)(4) = about 25.1 <26 sufficient
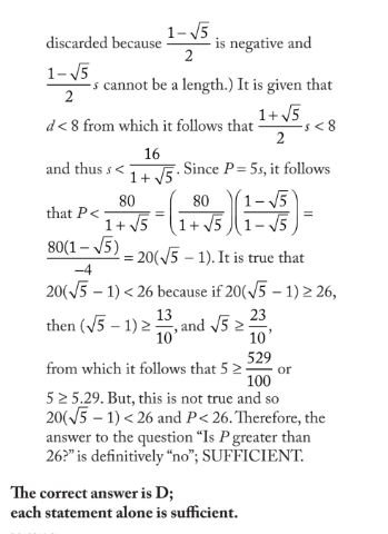
(2) all diagonals of our pentagon <8. all sides and angles are equal, so this is a regular polygon, BUT each diagonal is NOT a diameter of our circle so we cannot know the radius of our circle. We are going to have to use some other approach. Start by drawing all of the diagonals as shown in the attached drawing. Also, it helps to draw partial figures of some triangles formed of interest that might be helpful in determining sufficient .
Now, each angle of the pentagon will be 540/5=108 degrees, and with the diagonals drawn will each be split into 3 36 degree angles. Lets call the length of the side of our pentagon S. Lets also assume our diagonal = 8 (All diagonals of a regular polygon are congruent. we will use 8 for calculation purposes, but remembering that our final answer will use a less than sign). Now, you should notice that triangles EAB and EGB are congruent by ASA. Therefore Sides EG and BG are congruent to corresponding sides EA and AB. So we can label sides EG and BG with variable S as well. So, if EC = 8 and EG = S, then GC = 8-s. The same holds for diagonal BD and segment GD, so GD=8-S as well
Now, <GDC = <GCD = 36. This is enough to conclude that triangle GDC is similar to triangle AEB. So, a proportional relationship will hold. So, GD/AE = DC/EB, so 8-S/S = S/8, so we get 64-8s=S^2 -->S^2+8S=64---> S^2+8s+16=80-->(S+4)^2=80 --> S+4=root(80) ----> S=root(80)-4 approx 5. So, the a side of our pentagon <5, so our perimeter <25<26 Sufficient.
Attachments

Untitled.png [ 18.04 KiB | Viewed 7177 times ]