Last visit was: 20 Apr 2026, 17:57 It is currently 20 Apr 2026, 17:57
Close
GMAT Club Daily Prep
Thank you for using the timer - this advanced tool can estimate your performance and suggest more practice questions. We have subscribed you to Daily Prep Questions via email.

Customized
for You

we will pick new questions that match your level based on your Timer History

Track
Your Progress

every week, we’ll send you an estimated GMAT score based on your performance

Practice
Pays

we will pick new questions that match your level based on your Timer History
Not interested in getting valuable practice questions and articles delivered to your email? No problem, unsubscribe here.
Close
Request Expert Reply
Confirm Cancel
User avatar
Bunuel
User avatar
Math Expert
Joined: 02 Sep 2009
Last visit: 20 Apr 2026
Posts: 109,701
Own Kudos:
Given Kudos: 105,779
Products:
Expert
Expert reply
Active GMAT Club Expert! Tag them with @ followed by their username for a faster response.
Posts: 109,701
Kudos: 810,281
 [10]
1
Kudos
Add Kudos
9
Bookmarks
Bookmark this Post
avatar
ManifestDreamMBA
Joined: 17 Sep 2024
Last visit: 21 Feb 2026
Posts: 1,387
Own Kudos:
897
 [1]
Given Kudos: 243
Posts: 1,387
Kudos: 897
 [1]
1
Kudos
Add Kudos
Bookmarks
Bookmark this Post
User avatar
Dereno
Joined: 22 May 2020
Last visit: 20 Apr 2026
Posts: 1,398
Own Kudos:
1,372
 [4]
Given Kudos: 425
Products:
Posts: 1,398
Kudos: 1,372
 [4]
3
Kudos
Add Kudos
1
Bookmarks
Bookmark this Post
User avatar
ajay0520
Joined: 21 Oct 2023
Last visit: 08 Nov 2025
Posts: 57
Own Kudos:
47
 [3]
Given Kudos: 26
Posts: 57
Kudos: 47
 [3]
1
Kudos
Add Kudos
2
Bookmarks
Bookmark this Post
answer c=24
total no of pen= 8
and total unique color = 4
he want to choose 2 different pen
so for first pen he have 8 different way of choosing
and for second pen he has 8-2=6 different way of choosing. as he wants both of different color

hence total possible no of selection = 8*6/2
= 24
(here we divide by 2 because its a combination question and the order in which he choose any pen doesnt matters)
User avatar
GMATinsight
User avatar
Major Poster
Joined: 08 Jul 2010
Last visit: 19 Apr 2026
Posts: 6,975
Own Kudos:
Given Kudos: 128
Status:GMAT/GRE Tutor l Admission Consultant l On-Demand Course creator
Location: India
GMAT: QUANT+DI EXPERT
Schools: IIM (A) ISB '24
GMAT 1: 750 Q51 V41
WE:Education (Education)
Products:
Expert
Expert reply
Schools: IIM (A) ISB '24
GMAT 1: 750 Q51 V41
Posts: 6,975
Kudos: 16,890
Kudos
Add Kudos
Bookmarks
Bookmark this Post
Bunuel
A shopkeeper keeps pens of two different companies – Company A and Company B. Each company produces distinct pens and in 4 different colours: Red, Green, Blue, and Black and the shopkeeper keeps all these colours of both companies. James came to this shop to buy 2 pens, in how many ways can he buy pens of different colour?

A. 6
B. 12
C. 24
D. 40
E. 48

Varieties of Company A = 4 (all 4 colors)
Varieties of Company B = 4 (all 4 colors)
Total Different pens = 8

Total Choices for 2 colors = 4C2 = 6
Total Choices to choose pen from each color = 2(from 1st color)*2(from 2nd color) = 4

Total Favorable choices = 6*4 = 24

Answer: Option C

Related Video:


User avatar
TC97
Joined: 04 Nov 2024
Last visit: 26 Mar 2026
Posts: 20
Own Kudos:
13
 [1]
Given Kudos: 22
GMAT Focus 1: 645 Q84 V81 DI81
GMAT Focus 1: 645 Q84 V81 DI81
Posts: 20
Kudos: 13
 [1]
1
Kudos
Add Kudos
Bookmarks
Bookmark this Post
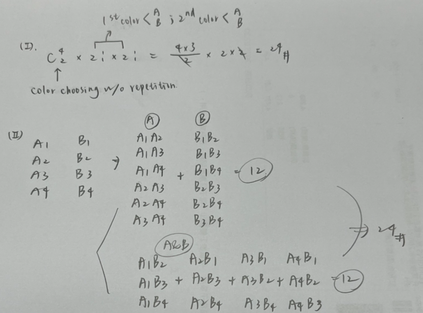
The answer is 24. Two ways to solve this problem:
Attachment:
GMAT-Club-Forum-f0zdd3xe.png
GMAT-Club-Forum-f0zdd3xe.png [ 600.56 KiB | Viewed 1680 times ]
User avatar
stne
Joined: 27 May 2012
Last visit: 20 Apr 2026
Posts: 1,808
Own Kudos:
2,089
 [1]
Given Kudos: 678
Posts: 1,808
Kudos: 2,089
 [1]
1
Kudos
Add Kudos
Bookmarks
Bookmark this Post
Bunuel
A shopkeeper keeps pens of two different companies – Company A and Company B. Each company produces distinct pens and in 4 different colours: Red, Green, Blue, and Black and the shopkeeper keeps all these colours of both companies. James came to this shop to buy 2 pens, in how many ways can he buy pens of different colour?

A. 6
B. 12
C. 24
D. 40
E. 48


­

In this question answer depends on how we interpret the question.

e.g. If R,G and G,R are two different ways to choose color, then answer will be \( 48\)

\(4_{C_2}*2 *2 *2 = 48 \)

\(4_{C_2} * 2 = \) Ways to choose \(2\) different pens and multiplying by \(2\), to account for order.

\(2=\)There are two companies for the first pen chosen, thus two options for the first pen.

\(2=\)There are two companies for the second pen chosen, thus two options for the second pen.

Now if order does not matter e.g R,G and G,R are same then.

\(4_{C_2} * 2 *2 = 24 \)

\(4_{C_2}= \) Ways to choose two different pens, when order does not matter.

\(2=\)There are two companies for the first pen chosen

\(2=\)There are two companies for the second pen chosen

Hope it helps.
User avatar
stne
Joined: 27 May 2012
Last visit: 20 Apr 2026
Posts: 1,808
Own Kudos:
2,089
 [1]
Given Kudos: 678
Posts: 1,808
Kudos: 2,089
 [1]
1
Kudos
Add Kudos
Bookmarks
Bookmark this Post
Dereno
Bunuel
A shopkeeper keeps pens of two different companies – Company A and Company B. Each company produces distinct pens and in 4 different colours: Red, Green, Blue, and Black and the shopkeeper keeps all these colours of both companies. James came to this shop to buy 2 pens, in how many ways can he buy pens of different colour?

A. 6
B. 12
C. 24
D. 40
E. 48


­
James need to buy 2 pens out of the total 8 pens , which are divided into 4 colours ( red, green, blue, and black) among two companies A and B each having the same colours.

First let’s select the 2 colours out of 4 colours 4C2 = 6
Then, for the selected colours say for example, red and green. For each colour we have two options company A or B. Two options each for red and green = 2*2=4

6*4 = 24 option C

Alter :
Quote:
we have 2 options to select from company A or B.
After selecting company, we have 4 options to choose our first colour.
ignoring the selected colour we are left with 3 colours.
Hence, 2*4*3 = 24. Option C

If I may just point out.

In your alternate solution, although you have arrived at the same answer as your main solution.Both solutions do not use the same logic.

In your main solution, you have considered order not to be important. Well as in your alternate solution you have considered order to be important.

Alternate solution should ideally be \(\frac{4*3}{2} *2 *2 = 24\)

\( 4*3 =\) Ways to choose \(2\) different colors from \(4\) different colors, when order is important.

Dividing by \(2\) to nullify the order, so after dividing order is no longer important.

\(2 =\) Two companies for the first pen.

\(2=\) Two companies for the second pen.
User avatar
trepsixore
Joined: 18 Jul 2024
Last visit: 02 Apr 2025
Posts: 11
Own Kudos:
Given Kudos: 18
Posts: 11
Kudos: 7
Kudos
Add Kudos
Bookmarks
Bookmark this Post
I have no idea if my reasoning is correct, but I got the right answer. First choosing 4C1 colors available, which is 4. Then choosing 1 out of 3 available colors left, since the colors should be different 3C1, multiplying these will give us 12. Since there are 2 brands available, multiply by 2, yield 24.
User avatar
Aakanksha777
Joined: 24 May 2024
Last visit: 04 May 2025
Posts: 1
Given Kudos: 46
Posts: 1
Kudos: 0
Kudos
Add Kudos
Bookmarks
Bookmark this Post
Three scenarios

= Both pens from Company A + Both pens from Company B + One pen from A & one from B minus cases where both are same color
= 4C2 + 4C2 + [4C1*4C1-4]
= 6+6+ (4*4-4)
= 24
User avatar
ajay0520
Joined: 21 Oct 2023
Last visit: 08 Nov 2025
Posts: 57
Own Kudos:
Given Kudos: 26
Posts: 57
Kudos: 47
Kudos
Add Kudos
Bookmarks
Bookmark this Post
what you did here worked out of luck but, for other problem it wont work. consider everything was same but number of companies were 3 instead of 2( each of 3 companies had 4 different color pen). in that case your way of approach will be 4*3*3=36. but the correct answer will be 12*9/2 =54. if you want to learn this concept then do let me know. its easy once you get the concept clear.
trepsixore
I have no idea if my reasoning is correct, but I got the right answer. First choosing 4C1 colors available, which is 4. Then choosing 1 out of 3 available colors left, since the colors should be different 3C1, multiplying these will give us 12. Since there are 2 brands available, multiply by 2, yield 24.
Moderators:
Math Expert
109701 posts
Tuck School Moderator
853 posts