Last visit was: 21 Apr 2026, 18:03 It is currently 21 Apr 2026, 18:03
Close
GMAT Club Daily Prep
Thank you for using the timer - this advanced tool can estimate your performance and suggest more practice questions. We have subscribed you to Daily Prep Questions via email.

Customized
for You

we will pick new questions that match your level based on your Timer History

Track
Your Progress

every week, we’ll send you an estimated GMAT score based on your performance

Practice
Pays

we will pick new questions that match your level based on your Timer History
Not interested in getting valuable practice questions and articles delivered to your email? No problem, unsubscribe here.
Close
Request Expert Reply
Confirm Cancel
User avatar
Bunuel
User avatar
Math Expert
Joined: 02 Sep 2009
Last visit: 21 Apr 2026
Posts: 109,728
Own Kudos:
810,469
 [9]
Given Kudos: 105,800
Products:
Expert
Expert reply
Active GMAT Club Expert! Tag them with @ followed by their username for a faster response.
Posts: 109,728
Kudos: 810,469
 [9]
Kudos
Add Kudos
9
Bookmarks
Bookmark this Post
User avatar
sambitspm
Joined: 05 Aug 2019
Last visit: 13 Jan 2022
Posts: 317
Own Kudos:
Given Kudos: 130
Location: India
Concentration: Leadership, Technology
GMAT 1: 600 Q50 V22
GMAT 2: 670 Q50 V28 (Online)
GPA: 4
GMAT 2: 670 Q50 V28 (Online)
Posts: 317
Kudos: 311
Kudos
Add Kudos
Bookmarks
Bookmark this Post
User avatar
yashikaaggarwal
User avatar
Senior Moderator - Masters Forum
Joined: 19 Jan 2020
Last visit: 29 Mar 2026
Posts: 3,089
Own Kudos:
3,158
 [1]
Given Kudos: 1,510
Location: India
GPA: 4
WE:Analyst (Internet and New Media)
Posts: 3,089
Kudos: 3,158
 [1]
1
Kudos
Add Kudos
Bookmarks
Bookmark this Post
User avatar
KaramveerBakshi
Joined: 18 Feb 2020
Last visit: 09 Sep 2021
Posts: 288
Own Kudos:
Given Kudos: 30
Location: India
GMAT 1: 660 Q50 V29
GPA: 3
GMAT 1: 660 Q50 V29
Posts: 288
Kudos: 178
Kudos
Add Kudos
Bookmarks
Bookmark this Post
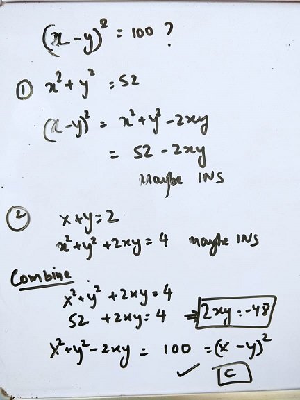
We need to find if (x-y)^2 = 100
Or x-y=+-10

Statements:

(1) x^2 + y^2 = 52
We don't have another statement to solve for x and y.
Insufficient.

(2) x+y=2
We don't have another statement to solve for x and y.
Insufficient.

Combining, we have x^2 + y^2 = 52 and x+y=2
Solving we get (x,y) = (6,-4) or (-4,6)

We have x-y = 10 or -10.
In both cases, (x-y)^2 = 100
Hence, Sufficient.

Answer is Option (C).
User avatar
GMATWhizTeam
User avatar
GMATWhiz Representative
Joined: 07 May 2019
Last visit: 17 Mar 2026
Posts: 3,374
Own Kudos:
2,192
 [1]
Given Kudos: 70
Location: India
GMAT 1: 740 Q50 V41
GMAT 2: 760 Q51 V40
Expert
Expert reply
GMAT 2: 760 Q51 V40
Posts: 3,374
Kudos: 2,192
 [1]
1
Kudos
Add Kudos
Bookmarks
Bookmark this Post
Bunuel
Does (x − y)^2 = 100 ?

(1) x^2 + y^2 = 52
(2) x + y = 2

Solution


Step 1: Analyse Question Stem


    • We need to find if \((x-y)^2 = 100\)
So basically, we need to find the value of \((x-y)^2\)

Step 2: Analyse Statements Independently (And eliminate options) – AD/BCE


Statement 1: \( x^2 + y^2 = 52\)
    • \((x-y)^2 = x^2 + y^2 – 2xy ⟹ (x-y)^2 = 52 – 2xy\)
    • However, we don’t know the value of 2xy.
Hence, statement 1 is NOT sufficient and we can eliminate answer Options A and D.

Statement 2: \(x+y = 2\)
    • With this statement, we cannot find the value of x-y, therefore we cannot find \((x-y)^2\)
Hence, statement 2 is also NOT sufficient and we can eliminate answer Option B.

Step 3: Analyse Statements by combining.


    • From statement 1: \(x^2 + y^2 = 52….Eq.(i)\)
      o And \((x-y)^2 = 52 – 2xy……Eq.(ii)\)
    • From statement 2: \( x+ y = 2\)
      o \( (x+y)^2 = 4 ⟹ x^2 + y^2 + 2xy = 4…….Eq.(iii)\)
    • On combining both statements:
      o Subtracting Eq.(i) from Eq.(iii) we get,
         \(2xy = 4-52 = -48\)
      o By substituting the value of 2xy from the above equation into Eq.(ii), we can easily find the value of \((x-y)^2\)
Thus, the correct answer is Option C.
User avatar
Archit3110
User avatar
Major Poster
Joined: 18 Aug 2017
Last visit: 21 Apr 2026
Posts: 8,626
Own Kudos:
5,190
 [1]
Given Kudos: 243
Status:You learn more from failure than from success.
Location: India
Concentration: Sustainability, Marketing
GMAT Focus 1: 545 Q79 V79 DI73
GMAT Focus 2: 645 Q83 V82 DI81
GPA: 4
WE:Marketing (Energy)
Products:
GMAT Focus 2: 645 Q83 V82 DI81
Posts: 8,626
Kudos: 5,190
 [1]
1
Kudos
Add Kudos
Bookmarks
Bookmark this Post
Bunuel
Does (x − y)^2 = 100 ?

(1) x^2 + y^2 = 52
(2) x + y = 2



Project DS Butler Data Sufficiency (DS3)


For DS butler Questions Click Here

target is (x − y)^2 = 100
or say x-y=10
#1
x^2 + y^2 = 52
only possible when x,y (6,4)(-6,-4) ( -6,4) & ( 6,-4)
insufficient
#2
x+y=2
many possiblities insufficient
from 1 &2
6-4 ; possible pair
OPTION C
User avatar
sood1596
Joined: 15 Apr 2020
Last visit: 17 Jul 2024
Posts: 209
Own Kudos:
173
 [1]
Given Kudos: 96
Location: United Arab Emirates
Concentration: General Management, Strategy
WE:Analyst (Consulting)
Products:
Posts: 209
Kudos: 173
 [1]
1
Kudos
Add Kudos
Bookmarks
Bookmark this Post
(x-y)^2 = 100?
Or x-y=+-10

(1) x^2 + y^2 = 52
(x-y)^2 = 100?
x^2 + y^2 + 2xy
=> 52 + 2xy
We don't have values for x and y.
Insufficient.

(2) x+y=2
We don't have values for x and y.
Insufficient.

Combining, we have x^2 + y^2 = 52 and x+y=2
Solving we get x=6 and y =-4 or
x=-4 and y=6

x-y = 10 or -10.
Sufficient

Answer -C
User avatar
youcouldsailaway
Joined: 08 Nov 2022
Last visit: 07 Feb 2024
Posts: 63
Own Kudos:
Given Kudos: 57
Location: India
Concentration: Finance, Entrepreneurship
GMAT 1: 590 Q37 V34
GMAT 2: 660 Q40 V40
GPA: 3
GMAT 2: 660 Q40 V40
Posts: 63
Kudos: 54
Kudos
Add Kudos
Bookmarks
Bookmark this Post
\(x^2 - 2xy + y^2 = 100 \)
\(x^2 + y^2 = 100 + 2xy\)..... [1]

St. 1:\( x^2 + y^2 = 52\)
Substituting in [1]
\(52 = 100 + 2xy\)
\(-2xy = 48\)
\(-xy = 24\) or \(xy = -24\).... [2]

But -24 has many factors such as, -12 & 2, 6 & -4, -3 & 8, and -24 & 1. More pairings are also possible. Not sufficient.

St. 2:\( x + y = 2\)
x and y could be any number of values such as 1 & 1, 8 and -7, 6 and -5 etc. Not sufficient.

Combining St. 1 and 2:
From the factors of 24 above, the only possible way the combination works is if one of the values is 6 and the other is -4. Thus, C is the answer.
Moderators:
Math Expert
109728 posts
498 posts
211 posts