Last visit was: 21 Apr 2026, 02:21 It is currently 21 Apr 2026, 02:21
Close
GMAT Club Daily Prep
Thank you for using the timer - this advanced tool can estimate your performance and suggest more practice questions. We have subscribed you to Daily Prep Questions via email.

Customized
for You

we will pick new questions that match your level based on your Timer History

Track
Your Progress

every week, we’ll send you an estimated GMAT score based on your performance

Practice
Pays

we will pick new questions that match your level based on your Timer History
Not interested in getting valuable practice questions and articles delivered to your email? No problem, unsubscribe here.
Close
Request Expert Reply
Confirm Cancel
User avatar
Sajjad1994
User avatar
GRE Forum Moderator
Joined: 02 Nov 2016
Last visit: 20 Apr 2026
Posts: 16,842
Own Kudos:
51,862
 [31]
Given Kudos: 6,333
GPA: 3.62
Products:
Posts: 16,842
Kudos: 51,862
 [31]
5
Kudos
Add Kudos
26
Bookmarks
Bookmark this Post
Most Helpful Reply
User avatar
rocky620
User avatar
Retired Moderator
Joined: 10 Nov 2018
Last visit: 11 May 2023
Posts: 482
Own Kudos:
625
 [3]
Given Kudos: 229
Location: India
Concentration: General Management, Strategy
GMAT 1: 590 Q49 V22
WE:Other (Retail: E-commerce)
GMAT 1: 590 Q49 V22
Posts: 482
Kudos: 625
 [3]
3
Kudos
Add Kudos
Bookmarks
Bookmark this Post
General Discussion
User avatar
kntombat
User avatar
Retired Moderator
Joined: 28 Feb 2020
Last visit: 19 Jan 2023
Posts: 865
Own Kudos:
Given Kudos: 839
Location: India
WE:Other (Other)
Posts: 865
Kudos: 530
Kudos
Add Kudos
Bookmarks
Bookmark this Post
User avatar
Sajjad1994
User avatar
GRE Forum Moderator
Joined: 02 Nov 2016
Last visit: 20 Apr 2026
Posts: 16,842
Own Kudos:
51,862
 [1]
Given Kudos: 6,333
GPA: 3.62
Products:
Posts: 16,842
Kudos: 51,862
 [1]
1
Kudos
Add Kudos
Bookmarks
Bookmark this Post
Official Explanation

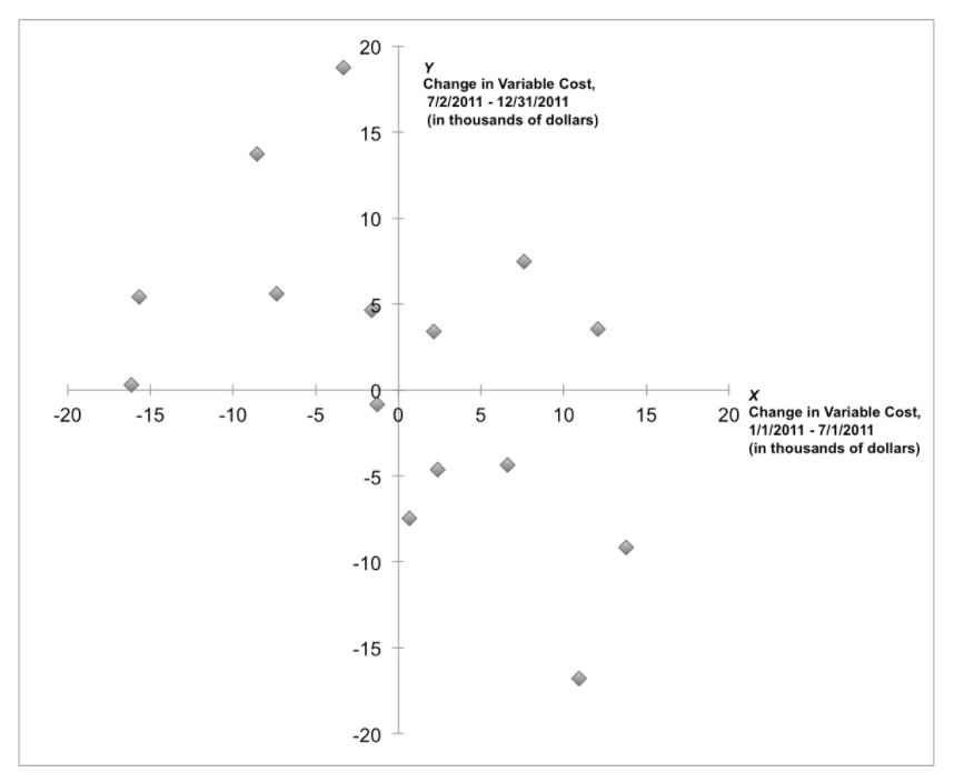
Statement 1: –$3,500. The problem first specifies that it is talking about only the branches that had an increase in variable costs during the second half of the year. This description corresponds to those points with a positive y-coordinate (i.e. above the x-axis).

There are 9 branches above the x-axis. From this group only, find the one with the median change in cost during the first half of the year (the x-axis). The median is the 5th data point from either end of the x-axis (the physical middle). Count over 5 from the left or 5 from the right; the median branch is the point at approximately (-3.5, 19). Because the change in variable cost during the earlier period is given by the x-coordinate (in thousands), the median branch experienced a change of \(-3.5 × $1000 = -$3,500.\)

Statement 2: 47%. To find branches with a net decrease in costs, it will help to understand what each quadrant represents.

Quadrant I (upper right): These branches had an increase over both periods (3 branches fall into this category).
Quadrant II (upper left): These branches had a decrease during the first period but an increase during the second (6 branches).
Quadrant III (lower left): These branches had a decrease during both periods (1 branch).
Quadrant IV (lower right): These branches had an increase during the first period but a decrease during the second (5 branches).

None of the branches that have an increase during both periods will have a net overall decrease, so ignore the branches in Quadrant I (3 branches). All branches that have a decrease during both periods will have a net overall decrease, so count all branches in Quadrant III (1 branch).

Now, address the more complicated situations—an increase in one period but a decrease in the other. To arrive at a net overall decrease, you need a larger dollar decrease than increase. For Quadrant II (decrease in first period but increase in second), the x-coordinate (period 1) must have a larger magnitude than the y-coordinate (period 2). This is the case for 3 points: (-7, 5.5), (-15.5, 5.5), and (-16, 0.5). For each of these points, the decrease outweighs the increase (do not calculate the actual values).

Finally, for Quadrant IV (decrease in the second period but increase in the first), the y-coordinate (period 2) must have a larger magnitude than the x-coordinate (period 1). This is the case for 3 points (2.5, -4.5), (0.5, -7.5), and (11, -17). For each of these points, the decrease again outweighs the increase.

A total of 1 + 3 + 3 = 7 branches out of the 15 have a net decrease. 7/15 is slightly less than 1/2 or 50%; 47% is the best estimate.

Alternatively, if you feel very comfortable with coordinate plane problems, you could find all the points satisfying the expression x + y < 0 (i.e. the sum of the changes is negative). Rearrange in order to graph: y < –x. Where does that line appear on the coordinate plane? This is the equivalent of graphing the line y = –x and then shading underneath that line. Any points underneath the line satisfy that inequality.

There are 7 points located below that line out of 15 total branches, so the best estimate is a little bit less than 1/2, or approximately 47%.

Answer: B and B
User avatar
pudu
Joined: 12 Mar 2023
Last visit: 06 Mar 2024
Posts: 229
Own Kudos:
Given Kudos: 16
Location: India
Posts: 229
Kudos: 123
Kudos
Add Kudos
Bookmarks
Bookmark this Post
please someone explain the first problem. I'm unable to understand it.....
User avatar
DmitryFarberMPrep
User avatar
Manhattan Prep Instructor
Joined: 22 Mar 2011
Last visit: 03 Mar 2026
Posts: 3,005
Own Kudos:
8,624
 [2]
Given Kudos: 57
Expert
Expert reply
GMAT Focus 1: 745 Q86 V90 DI85
Posts: 3,005
Kudos: 8,624
 [2]
2
Kudos
Add Kudos
Bookmarks
Bookmark this Post
pudu

We can break the question into pieces.

1) We're asked to look at branches that had an increase in the 2nd half of the year. The explanation of the graph says that the y-axis represents the change in the 2nd half of the year, so the question is asking us to look at the entries above the x-axis. These all have positive y values, meaning that they had an increase in costs.

2) Out of that set, find branch with the median change in the 1st half of the year. There are 9 entries above the y-axis, and we want the middle one, so that's the 5th one. If you look at the highest-up dot, you can see that it has 4 to the left of it and 4 to the right, so it's the median.

3) Find that branch's change in costs for the first half of the year. In other words, find its x value. It's between -5 and 0, and the graph tells us we're counting in thousands of dollars. So the change in cost was around -$3,000. B is a match.

I hope that helps clarify, but please follow up if there's something that still doesn't make sense.
User avatar
Hdatta001
Joined: 10 Jul 2024
Last visit: 19 Apr 2026
Posts: 1
Given Kudos: 57
Posts: 1
Kudos: 0
Kudos
Add Kudos
Bookmarks
Bookmark this Post
`can anyone explain the second problem?
User avatar
cheshire
User avatar
DI Forum Moderator
Joined: 26 Jun 2025
Last visit: 18 Sep 2025
Posts: 261
Own Kudos:
Given Kudos: 34
Posts: 261
Kudos: 299
Kudos
Add Kudos
Bookmarks
Bookmark this Post
check the most helpful reply, it does a really good job of breaking it down. :)
Hdatta001
`can anyone explain the second problem?
Moderators:
Math Expert
109715 posts
498 posts
210 posts