Last visit was: 18 Nov 2025, 20:36 It is currently 18 Nov 2025, 20:36
Close
GMAT Club Daily Prep
Thank you for using the timer - this advanced tool can estimate your performance and suggest more practice questions. We have subscribed you to Daily Prep Questions via email.

Customized
for You

we will pick new questions that match your level based on your Timer History

Track
Your Progress

every week, we’ll send you an estimated GMAT score based on your performance

Practice
Pays

we will pick new questions that match your level based on your Timer History
Not interested in getting valuable practice questions and articles delivered to your email? No problem, unsubscribe here.
Close
Request Expert Reply
Confirm Cancel
User avatar
Val1986
Joined: 20 May 2012
Last visit: 25 Jun 2013
Posts: 15
Own Kudos:
153
 [134]
Given Kudos: 9
Posts: 15
Kudos: 153
 [134]
10
Kudos
Add Kudos
124
Bookmarks
Bookmark this Post
Most Helpful Reply
User avatar
Bunuel
User avatar
Math Expert
Joined: 02 Sep 2009
Last visit: 18 Nov 2025
Posts: 105,355
Own Kudos:
Given Kudos: 99,964
Products:
Expert
Expert reply
Active GMAT Club Expert! Tag them with @ followed by their username for a faster response.
Posts: 105,355
Kudos: 778,089
 [38]
22
Kudos
Add Kudos
16
Bookmarks
Bookmark this Post
avatar
dosteria
Joined: 10 Mar 2013
Last visit: 05 Jun 2015
Posts: 1
Own Kudos:
7
 [7]
GMAT Date: 03-25-2013
Posts: 1
Kudos: 7
 [7]
7
Kudos
Add Kudos
Bookmarks
Bookmark this Post
General Discussion
User avatar
Dondarrion
Joined: 23 Feb 2015
Last visit: 09 Feb 2020
Posts: 160
Own Kudos:
111
 [1]
Given Kudos: 5
Posts: 160
Kudos: 111
 [1]
1
Kudos
Add Kudos
Bookmarks
Bookmark this Post
Can someone explain how to tackle (2)?

I started testing numbers with x=1 and y=3, result is 16. Then I went to x=\(\frac{1}{2}\) and y=6, but I quickly got bogged down in math and I was unable to prove that it is insufficient.

What is the shortcut I am missing to see that xy=3 is insufficient?

Thanks!
User avatar
ENGRTOMBA2018
Joined: 20 Mar 2014
Last visit: 01 Dec 2021
Posts: 2,325
Own Kudos:
3,837
 [1]
Given Kudos: 816
Concentration: Finance, Strategy
GMAT 1: 750 Q49 V44
GPA: 3.7
WE:Engineering (Aerospace and Defense)
Products:
GMAT 1: 750 Q49 V44
Posts: 2,325
Kudos: 3,837
 [1]
1
Kudos
Add Kudos
Bookmarks
Bookmark this Post
Dondarrion
Can someone explain how to tackle (2)?

I started testing numbers with x=1 and y=3, result is 16. Then I went to x=\(\frac{1}{2}\) and y=6, but I quickly got bogged down in math and I was unable to prove that it is insufficient.

What is the shortcut I am missing to see that xy=3 is insufficient?

Thanks!

You can clearly see that you ar egiven that x<y and that both x,y are >0. Statement 2 tells you that 2 positive number s(integers or not) give you a product of 3. Clearly, you can have different combinations that give you xy=3 but will definitely give you different values of x+y and let alone for (x+)^2/(x-y)^2. This makes this statement not sufficient.

With x=1 and y=3, the value should be 4 and not 16 (besides the point). As for x=.5 and y =6, you get (x+y)^2 = 6.5^2 and (x-y)^2 = 5.5^2 ---> 6.5^2/5.5^2 = (13/11)^2 = a value close to 1. Thus you get 2 different values for the expression under consideration, making this statement not sufficient.

Hope this helps.
User avatar
mcelroytutoring
Joined: 10 Jul 2015
Last visit: 15 Nov 2025
Posts: 1,204
Own Kudos:
2,643
 [2]
Given Kudos: 282
Status:Expert GMAT, GRE, and LSAT Tutor / Coach
Affiliations: Harvard University, A.B. with honors in Government, 2002
Location: United States (CO)
Age: 45 (10 years and counting on GMAT Club!)
GMAT 1: 770 Q47 V48
GMAT 2: 730 Q44 V47
GMAT 3: 750 Q50 V42
GMAT 4: 730 Q48 V42 (Online)
GRE 1: Q168 V169
GRE 2: Q170 V170
Expert
Expert reply
GMAT 4: 730 Q48 V42 (Online)
GRE 1: Q168 V169
GRE 2: Q170 V170
Posts: 1,204
Kudos: 2,643
 [2]
1
Kudos
Add Kudos
1
Bookmarks
Bookmark this Post
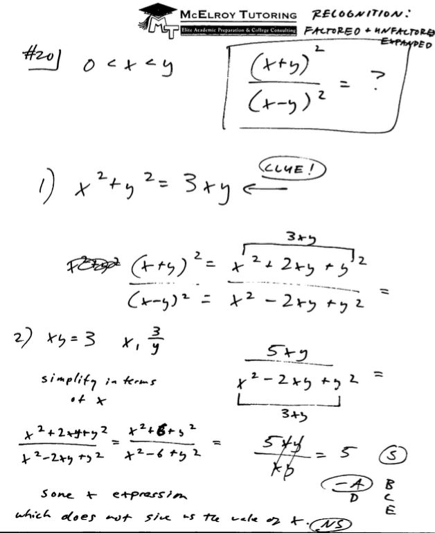
Attached is a visual that should help.
Attachments

Screen Shot 2016-04-05 at 10.27.13 PM.png
Screen Shot 2016-04-05 at 10.27.13 PM.png [ 151.45 KiB | Viewed 84500 times ]

User avatar
CrackverbalGMAT
User avatar
Major Poster
Joined: 03 Oct 2013
Last visit: 16 Nov 2025
Posts: 4,844
Own Kudos:
Given Kudos: 225
Affiliations: CrackVerbal
Location: India
Expert
Expert reply
Posts: 4,844
Kudos: 8,945
Kudos
Add Kudos
Bookmarks
Bookmark this Post
If \(0 < x < y\), what is the value of \(\frac{(x + y)^2}{(x- y)^2}\)?

(1) \(x^2+y^2=3xy\)

\(\frac{(x + y)^2}{(x- y)^2}\) =\(\frac{ (x^2 + 2xy + y^2)}{(x^2 - 2xy + y^2)}\)

= \(\frac{(3xy + 2xy)}{(3xy - 2xy)}\) = \(\frac{5xy}{xy}\) = \(5\)

Hence, Statement 1 alone is sufficient.


(2) xy=3

We will not be able to answer the question stem only with statement xy =3. Hence Statement 2 alone is insufficient.

Option A is the correct answer.

Hope this helps,
Clifin J Francis,
GMAT SME
User avatar
yziyue
Joined: 20 Nov 2021
Last visit: 06 May 2025
Posts: 4
Own Kudos:
Given Kudos: 176
Products:
Posts: 4
Kudos: 6
Kudos
Add Kudos
Bookmarks
Bookmark this Post
Bunuel
If 0 < x < y, what is the value of (x + y)^2/( x- y)^2?

\(\frac{(x + y)^2}{( x- y)^2}=\frac{x^2+2xy+y^2}{x^2-2xy+y^2}\)

(1) x^2 + y^2 = 3xy. Substitute: what is the value of \(\frac{x^2+2xy+y^2}{x^2-2xy+y^2}=\frac{3xy+2xy}{3xy-2xy}=\frac{5xy}{xy}=5\). Sufficient.

(2) xy = 3. Not sufficient.

Answer: A.

Hi Bunuel,
What is the point of giving this information in the question stem: 0 < x < y?
I didn't need it in both statements and thought I did the question wrong even though my steps were correct. The only thing I could get from this info is that both x and y are positive numbers. But I don't see how x<y is a needed information. Am I missing any point here?
User avatar
bumpbot
User avatar
Non-Human User
Joined: 09 Sep 2013
Last visit: 04 Jan 2021
Posts: 38,588
Own Kudos:
Posts: 38,588
Kudos: 1,079
Kudos
Add Kudos
Bookmarks
Bookmark this Post
Hello from the GMAT Club BumpBot!

Thanks to another GMAT Club member, I have just discovered this valuable topic, yet it had no discussion for over a year. I am now bumping it up - doing my job. I think you may find it valuable (esp those replies with Kudos).

Want to see all other topics I dig out? Follow me (click follow button on profile). You will receive a summary of all topics I bump in your profile area as well as via email.
Moderators:
Math Expert
105355 posts
496 posts