Last visit was: 18 Nov 2025, 21:05 It is currently 18 Nov 2025, 21:05
Close
GMAT Club Daily Prep
Thank you for using the timer - this advanced tool can estimate your performance and suggest more practice questions. We have subscribed you to Daily Prep Questions via email.

Customized
for You

we will pick new questions that match your level based on your Timer History

Track
Your Progress

every week, we’ll send you an estimated GMAT score based on your performance

Practice
Pays

we will pick new questions that match your level based on your Timer History
Not interested in getting valuable practice questions and articles delivered to your email? No problem, unsubscribe here.
Close
Request Expert Reply
Confirm Cancel
505-555 Level|   Algebra|                  
User avatar
Bunuel
User avatar
Math Expert
Joined: 02 Sep 2009
Last visit: 18 Nov 2025
Posts: 105,355
Own Kudos:
Given Kudos: 99,964
Products:
Expert
Expert reply
Active GMAT Club Expert! Tag them with @ followed by their username for a faster response.
Posts: 105,355
Kudos: 778,092
 [35]
3
Kudos
Add Kudos
32
Bookmarks
Bookmark this Post
Most Helpful Reply
User avatar
Bunuel
User avatar
Math Expert
Joined: 02 Sep 2009
Last visit: 18 Nov 2025
Posts: 105,355
Own Kudos:
Given Kudos: 99,964
Products:
Expert
Expert reply
Active GMAT Club Expert! Tag them with @ followed by their username for a faster response.
Posts: 105,355
Kudos: 778,092
 [23]
11
Kudos
Add Kudos
12
Bookmarks
Bookmark this Post
General Discussion
User avatar
nutshell
Joined: 21 Mar 2011
Last visit: 04 Jul 2019
Posts: 95
Own Kudos:
Given Kudos: 104
Status:GMATting
Concentration: Strategy, Technology
GMAT 1: 590 Q45 V27
GMAT 1: 590 Q45 V27
Posts: 95
Kudos: 298
Kudos
Add Kudos
Bookmarks
Bookmark this Post
User avatar
kinjiGC
Joined: 03 Feb 2013
Last visit: 12 Oct 2025
Posts: 791
Own Kudos:
Given Kudos: 567
Location: India
Concentration: Operations, Strategy
GMAT 1: 760 Q49 V44
GPA: 3.88
WE:Engineering (Computer Software)
Products:
GMAT 1: 760 Q49 V44
Posts: 791
Kudos: 2,717
Kudos
Add Kudos
Bookmarks
Bookmark this Post
Bunuel
The Official Guide For GMAT® Quantitative Review, 2ND Edition

If both x and y are nonzero numbers, what is the value of y/x?

(1) x = 6
(2) y^2 = x^2

Data Sufficiency
Question: 28
Category: Arithmetic Powers of numbers
Page: 155
Difficulty: 600


Statement 1) Value of Y is not specified, we cannot determine - Not Sufficient.
Statement 2) y = +- (x) so y/x can be + or -. Not sufficient
Combining the two statements, x can be +6 or -6, so we cannot determine y/x - Option E)
User avatar
aeglorre
Joined: 12 Jan 2013
Last visit: 21 Sep 2014
Posts: 105
Own Kudos:
Given Kudos: 47
Posts: 105
Kudos: 226
Kudos
Add Kudos
Bookmarks
Bookmark this Post
johnbaker
If both x and y are nonzero numbers, what is the value of y/x ?
(1) x = 6
(2) y^2 = x^2


1) only gives us y/6, so clearly insufficient

2) gives us no values at all, so insufficient

1 + 2, only tell us that y is either -6 or 6, but since we have 2 possible values, this is insufficient.

answer is E
User avatar
EMPOWERgmatRichC
User avatar
Major Poster
Joined: 19 Dec 2014
Last visit: 31 Dec 2023
Posts: 21,785
Own Kudos:
Given Kudos: 450
Status:GMAT Assassin/Co-Founder
Affiliations: EMPOWERgmat
Location: United States (CA)
GMAT 1: 800 Q51 V49
GRE 1: Q170 V170
Expert
Expert reply
GMAT 1: 800 Q51 V49
GRE 1: Q170 V170
Posts: 21,785
Kudos: 12,804
Kudos
Add Kudos
Bookmarks
Bookmark this Post
Hi All,

One of the standard Algebraic concepts that you'll see more than once on Test Day is the concept of "squared values." To test your "thoroughness" on this subject, the Test will throw the concept at you in a few different formats. Keep in mind that the rules are the always the same, but you have to pay attention to what you're looking at to get the points.

Here, we're told that X and Y are NON-0 NUMBERS. We're asked for the value of Y/X.

Fact 1: X = 6

This tells us NOTHING about Y. Since Y can be anything except 0, there are an infinite number of different possible values for Y/X.
Fact 1 is INSUFFICIENT

Fact 2: Y^2 = X^2

Here, we can TEST VALUES to prove a point....

IF.....X = 1, then we have...
Y^2 = 1

Since we have a squared value, there are 2 solutions: Y = 1 and Y = -1

IF....
X = 1
Y = 1
The answer to the question is 1/1 = 1

IF....
X = 1
Y = -1
The answer to the question is -1/1 = -1
Fact 2 is INSUFFICIENT

Combined, we know....
X = 6
Y^2 = X^2

Notice the issue in Fact 2....it's the same issue here....

We know that X = 6, so Y^2 = 36. But since we have a squared value, there are 2 solutions: Y = 6 and Y = -6.

IF....
X = 6
Y = 6
The answer to the question is 6/6 = 1

IF....
X = 6
Y = -6
The answer to the question is -6/6 = -1
Combined, INSUFFICIENT

Final Answer:
GMAT assassins aren't born, they're made,
Rich
avatar
noTh1ng
Joined: 07 Apr 2015
Last visit: 06 Jan 2017
Posts: 125
Own Kudos:
Given Kudos: 185
Posts: 125
Kudos: 204
Kudos
Add Kudos
Bookmarks
Bookmark this Post
I know its wrong, but when we are asked what the value of y/x is, why can't we plug in the information given in statement 2?

y/x = ?

y^2 = x^2 - Plug x^2 into the equation:

x^2 / x = x.

It does not answer the question of an exact value, but would it theoretically possible to use this approach?
User avatar
Bunuel
User avatar
Math Expert
Joined: 02 Sep 2009
Last visit: 18 Nov 2025
Posts: 105,355
Own Kudos:
778,092
 [1]
Given Kudos: 99,964
Products:
Expert
Expert reply
Active GMAT Club Expert! Tag them with @ followed by their username for a faster response.
Posts: 105,355
Kudos: 778,092
 [1]
1
Kudos
Add Kudos
Bookmarks
Bookmark this Post
noTh1ng
I know its wrong, but when we are asked what the value of y/x is, why can't we plug in the information given in statement 2?

y/x = ?

y^2 = x^2 - Plug x^2 into the equation:

x^2 / x = x.

It does not answer the question of an exact value, but would it theoretically possible to use this approach?

Official Guide:
In data sufficiency problems that ask for the value of a quantity, the data given in the statements are sufficient only when it is possible to determine exactly one numerical value for the quantity.
User avatar
EMPOWERgmatRichC
User avatar
Major Poster
Joined: 19 Dec 2014
Last visit: 31 Dec 2023
Posts: 21,785
Own Kudos:
12,804
 [1]
Given Kudos: 450
Status:GMAT Assassin/Co-Founder
Affiliations: EMPOWERgmat
Location: United States (CA)
GMAT 1: 800 Q51 V49
GRE 1: Q170 V170
Expert
Expert reply
GMAT 1: 800 Q51 V49
GRE 1: Q170 V170
Posts: 21,785
Kudos: 12,804
 [1]
1
Kudos
Add Kudos
Bookmarks
Bookmark this Post
Hi noTh1ng,

noTh1ng
I know its wrong, but when we are asked what the value of y/x is, why can't we plug in the information given in statement 2?

y/x = ?

y^2 = x^2 - Plug x^2 into the equation:

x^2 / x = x.

It does not answer the question of an exact value, but would it theoretically possible to use this approach?

Fact 2 tells us that Y^2 = X^2. This does NOT tell us the value of Y. Since both terms are 'squared', we don't know if Y = X or Y = -X.

Since the question asks for the value of Y/X, substituting in (while permissible) does NOT answer the given question (what is the VALUE of Y/X).

GMAT assassins aren't born, they're made,
Rich
User avatar
mcelroytutoring
Joined: 10 Jul 2015
Last visit: 15 Nov 2025
Posts: 1,204
Own Kudos:
2,644
 [1]
Given Kudos: 282
Status:Expert GMAT, GRE, and LSAT Tutor / Coach
Affiliations: Harvard University, A.B. with honors in Government, 2002
Location: United States (CO)
Age: 45 (10 years and counting on GMAT Club!)
GMAT 1: 770 Q47 V48
GMAT 2: 730 Q44 V47
GMAT 3: 750 Q50 V42
GMAT 4: 730 Q48 V42 (Online)
GRE 1: Q168 V169
GRE 2: Q170 V170
Expert
Expert reply
GMAT 4: 730 Q48 V42 (Online)
GRE 1: Q168 V169
GRE 2: Q170 V170
Posts: 1,204
Kudos: 2,644
 [1]
Kudos
Add Kudos
1
Bookmarks
Bookmark this Post
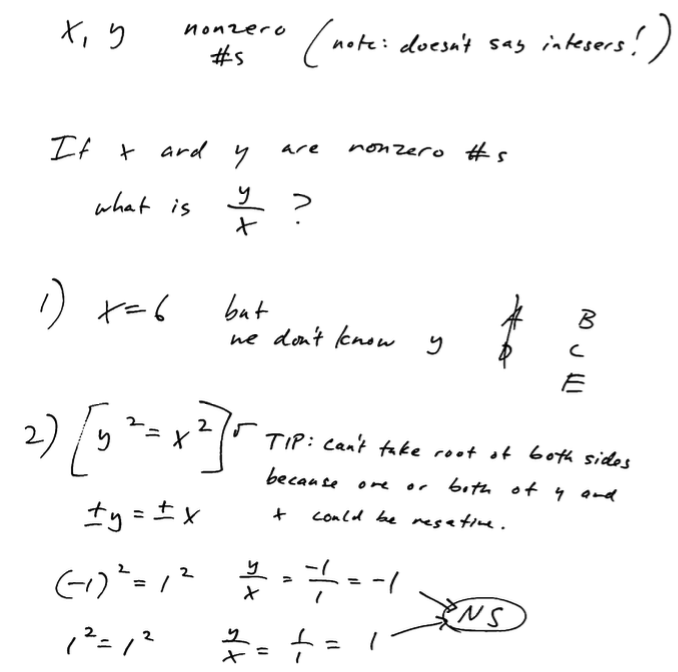
Attached is a visual that should help.
Attachments

Screen Shot 2016-03-31 at 1.03.46 AM.png
Screen Shot 2016-03-31 at 1.03.46 AM.png [ 101.05 KiB | Viewed 26550 times ]

User avatar
stonecold
Joined: 12 Aug 2015
Last visit: 09 Apr 2024
Posts: 2,244
Own Kudos:
Given Kudos: 893
GRE 1: Q169 V154
GRE 1: Q169 V154
Posts: 2,244
Kudos: 3,549
Kudos
Add Kudos
Bookmarks
Bookmark this Post
Here is my approach => In combining both the cases => Y/X can be 1 or -1 => E is the answer
avatar
Graeme520
Joined: 06 May 2017
Last visit: 08 Oct 2017
Posts: 1
Own Kudos:
1
 [1]
Location: Trinidad and Tobago
Concentration: Finance
GPA: 3.65
WE:Analyst (Commercial Banking)
Posts: 1
Kudos: 1
 [1]
1
Kudos
Add Kudos
Bookmarks
Bookmark this Post
Stupid question: So this answer proves that despite x and y being different variables, they can still be the same number. Does this hold for all GMAT questions? (I don't recall reading this anywhere).

My take of the question was that since x^2=y^2, then one must be positive and one must be negative given that they are different variables and therefore the answer is -1.

I.e. for e.g.

x^2=y^2 = 36
x= 6 and y =-6; x/y= 6/-6= -1 OR
x= -6 and y= 6; x/y = -6/6= -1... So we know the value
User avatar
EMPOWERgmatRichC
User avatar
Major Poster
Joined: 19 Dec 2014
Last visit: 31 Dec 2023
Posts: 21,785
Own Kudos:
12,804
 [1]
Given Kudos: 450
Status:GMAT Assassin/Co-Founder
Affiliations: EMPOWERgmat
Location: United States (CA)
GMAT 1: 800 Q51 V49
GRE 1: Q170 V170
Expert
Expert reply
GMAT 1: 800 Q51 V49
GRE 1: Q170 V170
Posts: 21,785
Kudos: 12,804
 [1]
Kudos
Add Kudos
1
Bookmarks
Bookmark this Post
Hi Graeme520,

When dealing with DS questions, you have to consider what you're told and what you're not told.

Here, we're told that X and Y are non-zero numbers. That's not particularly 'restrictive' information - it means that X and Y could be ANY number EXCEPT 0 (including integers, fractions, repeating decimals, the SAME number, etc.).

IF... a prompt gives you explicit information that X and Y cannot be the same (re: "X is not equal to Y", "X and Y are DISTINCT numbers", X > Y, etc.), then you know that the two variables must be different numbers. Here though, we're given no such information to restrict our work, so we have to consider the possibility that the two values might be the same value.

GMAT assassins aren't born, they're made,
Rich
User avatar
Prasannathawait
Joined: 10 Aug 2018
Last visit: 15 Jun 2020
Posts: 219
Own Kudos:
Given Kudos: 179
Location: India
Concentration: Strategy, Operations
WE:Operations (Energy)
Products:
Posts: 219
Kudos: 152
Kudos
Add Kudos
Bookmarks
Bookmark this Post
Combining both we can get two answers.
If X is 6 and Y is 6 then +1
If X is 6 and Y is -6 then -1

Hence E is the answer.
avatar
Aakash3697
Joined: 28 Dec 2020
Last visit: 27 May 2022
Posts: 4
Given Kudos: 1
Posts: 4
Kudos: 0
Kudos
Add Kudos
Bookmarks
Bookmark this Post
the question stem states that x and y are non zero number so doesn't the question of either of the variables having a negative sign go away?
User avatar
Bunuel
User avatar
Math Expert
Joined: 02 Sep 2009
Last visit: 18 Nov 2025
Posts: 105,355
Own Kudos:
Given Kudos: 99,964
Products:
Expert
Expert reply
Active GMAT Club Expert! Tag them with @ followed by their username for a faster response.
Posts: 105,355
Kudos: 778,092
Kudos
Add Kudos
Bookmarks
Bookmark this Post
Aakash3697
the question stem states that x and y are non zero number so doesn't the question of either of the variables having a negative sign go away?

x and y are nonzero numbers means that neither of them is 0 (hence the name nonzero) but x and y can be positive or negative numbers.
avatar
Aakash3697
Joined: 28 Dec 2020
Last visit: 27 May 2022
Posts: 4
Given Kudos: 1
Posts: 4
Kudos: 0
Kudos
Add Kudos
Bookmarks
Bookmark this Post
Bunuel
Aakash3697
the question stem states that x and y are non zero number so doesn't the question of either of the variables having a negative sign go away?

x and y are nonzero numbers means that neither of them is 0 (hence the name nonzero) but x and y can be positive or negative numbers.

Appreciate the help :)
User avatar
bumpbot
User avatar
Non-Human User
Joined: 09 Sep 2013
Last visit: 04 Jan 2021
Posts: 38,587
Own Kudos:
Posts: 38,587
Kudos: 1,079
Kudos
Add Kudos
Bookmarks
Bookmark this Post
Hello from the GMAT Club BumpBot!

Thanks to another GMAT Club member, I have just discovered this valuable topic, yet it had no discussion for over a year. I am now bumping it up - doing my job. I think you may find it valuable (esp those replies with Kudos).

Want to see all other topics I dig out? Follow me (click follow button on profile). You will receive a summary of all topics I bump in your profile area as well as via email.
Moderators:
Math Expert
105355 posts
496 posts