Last visit was: 29 Apr 2026, 10:22 It is currently 29 Apr 2026, 10:22
Close
GMAT Club Daily Prep
Thank you for using the timer - this advanced tool can estimate your performance and suggest more practice questions. We have subscribed you to Daily Prep Questions via email.

Customized
for You

we will pick new questions that match your level based on your Timer History

Track
Your Progress

every week, we’ll send you an estimated GMAT score based on your performance

Practice
Pays

we will pick new questions that match your level based on your Timer History
Not interested in getting valuable practice questions and articles delivered to your email? No problem, unsubscribe here.
Close
Request Expert Reply
Confirm Cancel
User avatar
guddo
Joined: 25 May 2021
Last visit: 29 Apr 2026
Posts: 1,047
Own Kudos:
11,437
 [26]
Given Kudos: 32
Posts: 1,047
Kudos: 11,437
 [26]
2
Kudos
Add Kudos
24
Bookmarks
Bookmark this Post
Most Helpful Reply
User avatar
chetan2u
User avatar
GMAT Expert
Joined: 02 Aug 2009
Last visit: 29 Apr 2026
Posts: 11,234
Own Kudos:
45,045
 [6]
Given Kudos: 335
Status:Math and DI Expert
Location: India
Concentration: Human Resources, General Management
GMAT Focus 1: 735 Q90 V89 DI81
Products:
Expert
Expert reply
GMAT Focus 1: 735 Q90 V89 DI81
Posts: 11,234
Kudos: 45,045
 [6]
6
Kudos
Add Kudos
Bookmarks
Bookmark this Post
General Discussion
User avatar
sbyongid
Joined: 03 Oct 2024
Last visit: 17 Nov 2025
Posts: 6
Own Kudos:
Given Kudos: 37
Posts: 6
Kudos: 6
Kudos
Add Kudos
Bookmarks
Bookmark this Post
User avatar
Krunaal
User avatar
Tuck School Moderator
Joined: 15 Feb 2021
Last visit: 25 Apr 2026
Posts: 852
Own Kudos:
915
 [1]
Given Kudos: 251
Status:Under the Square and Compass
Location: India
GMAT Focus 1: 755 Q90 V90 DI82
GPA: 5.78
WE:Marketing (Consulting)
Products:
GMAT Focus 1: 755 Q90 V90 DI82
Posts: 852
Kudos: 915
 [1]
1
Kudos
Add Kudos
Bookmarks
Bookmark this Post
sbyongid
how did the square root in the denominator disappear?
chetan2u
guddo
If \(x^2 > y^2\), then \(\frac{\sqrt{x^4 - 2x^2y^2 + y^4}}{x+y} =\)

A. \(x - y\)

B. \(x + y\)

C. \(\frac{x - y}{x + y}\)

D. \(\frac{x^2 + y^2}{x + y}\)

E. \(\frac{x^2 - \sqrt{2}xy + y^2}{x+y}\)

Attachment:
2024-01-24_20-44-00.png

\(x^2 > y^2......x^2-y^2>0\)

\(\frac{\sqrt{x^4 - 2x^2y^2 + y^4}}{x+y} \)

\(\frac{\sqrt{(x^2 -y^2)^2}}{x+y} \)

\(\frac{{x^2 - y^2}}{x+y} \)

\(\frac{(x-y)(x+y)}{x+y} = x-y\)

A

\(\frac{\sqrt{x^4 - 2x^2y^2 + y^4}}{x+y} \) = \(\frac{Numerator}{Denominator}\)

Numerator = \(\sqrt{x^4 - 2x^2y^2 + y^4}\) Denominator = \(x+y\)

There is no square root in the denominator.
User avatar
GMATinsight
User avatar
Major Poster
Joined: 08 Jul 2010
Last visit: 28 Apr 2026
Posts: 6,979
Own Kudos:
Given Kudos: 128
Status:GMAT/GRE Tutor l Admission Consultant l On-Demand Course creator
Location: India
GMAT: QUANT+DI EXPERT
Schools: IIM (A) ISB '24
GMAT 1: 750 Q51 V41
WE:Education (Education)
Products:
Expert
Expert reply
Schools: IIM (A) ISB '24
GMAT 1: 750 Q51 V41
Posts: 6,979
Kudos: 16,932
Kudos
Add Kudos
Bookmarks
Bookmark this Post
guddo
If \(x^2 > y^2\), then \(\frac{\sqrt{x^4 - 2x^2y^2 + y^4}}{x+y} =\)

A. \(x - y\)

B. \(x + y\)

C. \(\frac{x - y}{x + y}\)

D. \(\frac{x^2 + y^2}{x + y}\)

E. \(\frac{x^2 - \sqrt{2}xy + y^2}{x+y}\)

Attachment:
The attachment 2024-01-24_20-44-00.png is no longer available

The point in this question is to understand the simple algebric identity which is \((a=b)^2 = a^2 - 2ab + b^2\)

using this identity we can say that \(x^4 - 2x^2y^2 + y^4 = (x^2 -y^2)^2\)

i..e. \(\frac{\sqrt{x^4 - 2x^2y^2 + y^4}}{x+y} = \frac{\sqrt{(x^2 - y^2)^2}}{x+y} = \frac{(x^2 - y^2)}{(x+y)} = \frac{(x - y)*(x+y)}{(x+y)}=x-y \)

Answer: Option A
Attachments

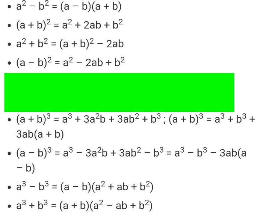
File comment: Identities_GMATinsight
Algebra-formulas.jpg
Algebra-formulas.jpg [ 96.67 KiB | Viewed 7473 times ]

User avatar
EnriqueDandolo
Joined: 07 Aug 2024
Last visit: 15 Oct 2025
Posts: 16
Own Kudos:
2
 [1]
Given Kudos: 17
Posts: 16
Kudos: 2
 [1]
1
Kudos
Add Kudos
Bookmarks
Bookmark this Post
Hey GMATinsight, what are the steps to go from x^4 - 2x^2y^2 + y^4 to (x^2 - y^2)^2? Personally, I would've had thought erroneously that x^4 - 2^2x^2y^2 +y^4 was equal to (x^2 - y^2)^2.

Many thanks in advance for your kind help and time.

GMATinsight
guddo
If \(x^2 > y^2\), then \(\frac{\sqrt{x^4 - 2x^2y^2 + y^4}}{x+y} =\)

A. \(x - y\)

B. \(x + y\)

C. \(\frac{x - y}{x + y}\)

D. \(\frac{x^2 + y^2}{x + y}\)

E. \(\frac{x^2 - \sqrt{2}xy + y^2}{x+y}\)

Attachment:
2024-01-24_20-44-00.png

The point in this question is to understand the simple algebric identity which is \((a=b)^2 = a^2 - 2ab + b^2\)

using this identity we can say that \(x^4 - 2x^2y^2 + y^4 = (x^2 -y^2)^2\)

i..e. \(\frac{\sqrt{x^4 - 2x^2y^2 + y^4}}{x+y} = \frac{\sqrt{(x^2 - y^2)^2}}{x+y} = \frac{(x^2 - y^2)}{(x+y)} = \frac{(x - y)*(x+y)}{(x+y)}=x-y \)

Answer: Option A
User avatar
Krunaal
User avatar
Tuck School Moderator
Joined: 15 Feb 2021
Last visit: 25 Apr 2026
Posts: 852
Own Kudos:
Given Kudos: 251
Status:Under the Square and Compass
Location: India
GMAT Focus 1: 755 Q90 V90 DI82
GPA: 5.78
WE:Marketing (Consulting)
Products:
GMAT Focus 1: 755 Q90 V90 DI82
Posts: 852
Kudos: 915
Kudos
Add Kudos
Bookmarks
Bookmark this Post
EnriqueDandolo
Hey GMATinsight, what are the steps to go from x^4 - 2x^2y^2 + y^4 to (x^2 - y^2)^2? Personally, I would've had thought erroneously that x^4 - 2^2x^2y^2 +y^4 was equal to (x^2 - y^2)^2.

Many thanks in advance for your kind help and time.

GMATinsight
guddo
If \(x^2 > y^2\), then \(\frac{\sqrt{x^4 - 2x^2y^2 + y^4}}{x+y} =\)

A. \(x - y\)

B. \(x + y\)

C. \(\frac{x - y}{x + y}\)

D. \(\frac{x^2 + y^2}{x + y}\)

E. \(\frac{x^2 - \sqrt{2}xy + y^2}{x+y}\)

Attachment:
2024-01-24_20-44-00.png

The point in this question is to understand the simple algebric identity which is \((a=b)^2 = a^2 - 2ab + b^2\)

using this identity we can say that \(x^4 - 2x^2y^2 + y^4 = (x^2 -y^2)^2\)

i..e. \(\frac{\sqrt{x^4 - 2x^2y^2 + y^4}}{x+y} = \frac{\sqrt{(x^2 - y^2)^2}}{x+y} = \frac{(x^2 - y^2)}{(x+y)} = \frac{(x - y)*(x+y)}{(x+y)}=x-y \)

Answer: Option A
Consider \(x^2 = m\), and \(y^2 = n\). Therefore, \(x^4 = m^2\) and \(y^4 = n^2\)

Substituting these values in \(x^4 - 2x^2y^2 + y^4\) , we get \(m^2 - 2mn + n^2\) which is \((m - n)^2\)

Now, re-substituting the values of m and n, \((m - n)^2\) = \((x^2 -y^2)^2\)
User avatar
BelisariusTirto
Joined: 03 Oct 2024
Last visit: 15 Apr 2025
Posts: 33
Own Kudos:
Given Kudos: 64
Posts: 33
Kudos: 4
Kudos
Add Kudos
Bookmarks
Bookmark this Post
Hey Krunaal, just curious, is this how you would have approached the question had you seen it for the first time on the exam? I understand the logic behind it that we recognise the identity x^2-y^2, but at my first go I definitely didn't think of it right away and had to look at other's solutions :/

Krunaal

Consider \(x^2 = m\), and \(y^2 = n\). Therefore, \(x^4 = m^2\) and \(y^4 = n^2\)

Substituting these values in \(x^4 - 2x^2y^2 + y^4\) , we get \(m^2 - 2mn + n^2\) which is \((m - n)^2\)

Now, re-substituting the values of m and n, \((m - n)^2\) = \((x^2 -y^2)^2\)
User avatar
gmatophobia
User avatar
Quant Chat Moderator
Joined: 22 Dec 2016
Last visit: 19 Apr 2026
Posts: 3,173
Own Kudos:
Given Kudos: 1,862
Location: India
Concentration: Strategy, Leadership
Posts: 3,173
Kudos: 11,484
Kudos
Add Kudos
Bookmarks
Bookmark this Post
guddo
If \(x^2 > y^2\), then \(\frac{\sqrt{x^4 - 2x^2y^2 + y^4}}{x+y} =\)

A. \(x - y\)

B. \(x + y\)

C. \(\frac{x - y}{x + y}\)

D. \(\frac{x^2 + y^2}{x + y}\)

E. \(\frac{x^2 - \sqrt{2}xy + y^2}{x+y}\)

Attachment:
2024-01-24_20-44-00.png

As \(x^2 > y^2\), we can infer that \(x^2 - y^2 > 0\)

\(\frac{\sqrt{x^4 - 2x^2y^2 + y^4}}{x+y}\)

\(\frac{\sqrt{(x^2-y^2)^2}}{x+y}\)

\(\frac{|x^2-y^2|}{x+y}\)

As \(x^2 - y^2 > 0\), \(|x^2-y^2|\) = \(x^2 - y^2\)

\(\frac{|x^2-y^2|}{x+y}\)

\(\frac{x^2-y^2}{x+y}\)

\(\frac{(x+y)(x-y)}{x+y}\)

= x - y

Option A
User avatar
BelisariusTirto
Joined: 03 Oct 2024
Last visit: 15 Apr 2025
Posts: 33
Own Kudos:
4
 [1]
Given Kudos: 64
Posts: 33
Kudos: 4
 [1]
1
Kudos
Add Kudos
Bookmarks
Bookmark this Post
Can I understand your thought process a bit more? Is x^2 > y^2 a prerequisite for arriving at x^2-y^2? I'm trying to work on being able to see these algebraic identities even when not so obvious.
gmatophobia
guddo
If \(x^2 > y^2\), then \(\frac{\sqrt{x^4 - 2x^2y^2 + y^4}}{x+y} =\)

A. \(x - y\)

B. \(x + y\)

C. \(\frac{x - y}{x + y}\)

D. \(\frac{x^2 + y^2}{x + y}\)

E. \(\frac{x^2 - \sqrt{2}xy + y^2}{x+y}\)

Attachment:
2024-01-24_20-44-00.png

As \(x^2 > y^2\), we can infer that \(x^2 - y^2 > 0\)

\(\frac{\sqrt{x^4 - 2x^2y^2 + y^4}}{x+y}\)

\(\frac{\sqrt{(x^2-y^2)^2}}{x+y}\)

\(\frac{|x^2-y^2|}{x+y}\)

As \(x^2 - y^2 > 0\), \(|x^2-y^2|\) = \(x^2 - y^2\)

\(\frac{|x^2-y^2|}{x+y}\)

\(\frac{x^2-y^2}{x+y}\)

\(\frac{(x+y)(x-y)}{x+y}\)

= x - y

Option A
User avatar
Krunaal
User avatar
Tuck School Moderator
Joined: 15 Feb 2021
Last visit: 25 Apr 2026
Posts: 852
Own Kudos:
915
 [1]
Given Kudos: 251
Status:Under the Square and Compass
Location: India
GMAT Focus 1: 755 Q90 V90 DI82
GPA: 5.78
WE:Marketing (Consulting)
Products:
GMAT Focus 1: 755 Q90 V90 DI82
Posts: 852
Kudos: 915
 [1]
1
Kudos
Add Kudos
Bookmarks
Bookmark this Post
BelisariusTirto
Hey Krunaal, just curious, is this how you would have approached the question had you seen it for the first time on the exam? I understand the logic behind it that we recognise the identity x^2-y^2, but at my first go I definitely didn't think of it right away and had to look at other's solutions :/

Krunaal

Consider \(x^2 = m\), and \(y^2 = n\). Therefore, \(x^4 = m^2\) and \(y^4 = n^2\)

Substituting these values in \(x^4 - 2x^2y^2 + y^4\) , we get \(m^2 - 2mn + n^2\) which is \((m - n)^2\)

Now, re-substituting the values of m and n, \((m - n)^2\) = \((x^2 -y^2)^2\)
Yes, I would approach it this way - a trigger for me would be the square root over numerator, i would want to get rid of it, and an easy way to get rid of it would be if the expression underneath is a square.
User avatar
EnriqueDandolo
Joined: 07 Aug 2024
Last visit: 15 Oct 2025
Posts: 16
Own Kudos:
Given Kudos: 17
Posts: 16
Kudos: 2
Kudos
Add Kudos
Bookmarks
Bookmark this Post
Hey Krunaal thanks for your help. I was trying to solve the problem the following way, but I am not getting to the answer, could you please help me identify where am I going wrong?

(SQRT(x^4 - 2x^2y^2 + y^4))^2/(x+y)^2

= (x^4 - 2x^2y^2 + y^4)/(x+y)^2

=(x^2 - y^2)^2/(x+y)^2

=(x-y)(x+y)(x-y)(x+y)/(x+y)(x+y)

=(x-y)^2

Thanks in advance for your help.
EnriqueDandolo
Hey GMATinsight, what are the steps to go from x^4 - 2x^2y^2 + y^4 to (x^2 - y^2)^2? Personally, I would've had thought erroneously that x^4 - 2^2x^2y^2 +y^4 was equal to (x^2 - y^2)^2.

Many thanks in advance for your kind help and time.

GMATinsight
guddo
If \(x^2 > y^2\), then \(\frac{\sqrt{x^4 - 2x^2y^2 + y^4}}{x+y} =\)

A. \(x - y\)

B. \(x + y\)

C. \(\frac{x - y}{x + y}\)

D. \(\frac{x^2 + y^2}{x + y}\)

E. \(\frac{x^2 - \sqrt{2}xy + y^2}{x+y}\)

Attachment:
2024-01-24_20-44-00.png

The point in this question is to understand the simple algebric identity which is \((a=b)^2 = a^2 - 2ab + b^2\)

using this identity we can say that \(x^4 - 2x^2y^2 + y^4 = (x^2 -y^2)^2\)

i..e. \(\frac{\sqrt{x^4 - 2x^2y^2 + y^4}}{x+y} = \frac{\sqrt{(x^2 - y^2)^2}}{x+y} = \frac{(x^2 - y^2)}{(x+y)} = \frac{(x - y)*(x+y)}{(x+y)}=x-y \)

Answer: Option A
User avatar
BelisariusTirto
Joined: 03 Oct 2024
Last visit: 15 Apr 2025
Posts: 33
Own Kudos:
Given Kudos: 64
Posts: 33
Kudos: 4
Kudos
Add Kudos
Bookmarks
Bookmark this Post
I see, I understand. We want to get rid of the square root and make our life easier. I guess my main point was that from \(x^4 - 2x^2y^2 + y^4\) I wouldn't have inferred we would arrive at \(x^2-y^2 = (x-y)(x+y)\) by factoring \(x^4 - 2x^2y^2 + y^4 --> (x^2-y^2)^2\) to be able to get remove the square root. If anything I would probably have mistaken it for \((x-y)^2 = x^2 + y^2 - 2xy\) as it *seems* more similar ahah :cry:

Would you advise just to keep practicing algebra questions or go back and brush up my theory?
Krunaal
BelisariusTirto
Hey Krunaal, just curious, is this how you would have approached the question had you seen it for the first time on the exam? I understand the logic behind it that we recognise the identity x^2-y^2, but at my first go I definitely didn't think of it right away and had to look at other's solutions :/

Krunaal

Consider \(x^2 = m\), and \(y^2 = n\). Therefore, \(x^4 = m^2\) and \(y^4 = n^2\)

Substituting these values in \(x^4 - 2x^2y^2 + y^4\) , we get \(m^2 - 2mn + n^2\) which is \((m - n)^2\)

Now, re-substituting the values of m and n, \((m - n)^2\) = \((x^2 -y^2)^2\)
Yes, I would approach it this way - a trigger for me would be the square root over numerator, i would want to get rid of it, and an easy way to get rid of it would be if the expression underneath is a square.
User avatar
Krunaal
User avatar
Tuck School Moderator
Joined: 15 Feb 2021
Last visit: 25 Apr 2026
Posts: 852
Own Kudos:
Given Kudos: 251
Status:Under the Square and Compass
Location: India
GMAT Focus 1: 755 Q90 V90 DI82
GPA: 5.78
WE:Marketing (Consulting)
Products:
GMAT Focus 1: 755 Q90 V90 DI82
Posts: 852
Kudos: 915
Kudos
Add Kudos
Bookmarks
Bookmark this Post
EnriqueDandolo
Hey Krunaal thanks for your help. I was trying to solve the problem the following way, but I am not getting to the answer, could you please help me identify where am I going wrong?

(SQRT(x^4 - 2x^2y^2 + y^4))^2/(x+y)^2

= (x^4 - 2x^2y^2 + y^4)/(x+y)^2

=(x^2 - y^2)^2/(x+y)^2

=(x-y)(x+y)(x-y)(x+y)/(x+y)(x+y)

=(x-y)^2

Thanks in advance for your help.
The first line - it will be \(\frac{\sqrt{(x^2 -y^2)^2}}{x+y} \)
User avatar
Krunaal
User avatar
Tuck School Moderator
Joined: 15 Feb 2021
Last visit: 25 Apr 2026
Posts: 852
Own Kudos:
Given Kudos: 251
Status:Under the Square and Compass
Location: India
GMAT Focus 1: 755 Q90 V90 DI82
GPA: 5.78
WE:Marketing (Consulting)
Products:
GMAT Focus 1: 755 Q90 V90 DI82
Posts: 852
Kudos: 915
Kudos
Add Kudos
Bookmarks
Bookmark this Post
BelisariusTirto
I see, I understand. We want to get rid of the square root and make our life easier. I guess my main point was that from \(x^4 - 2x^2y^2 + y^4\) I wouldn't have inferred we would arrive at \(x^2-y^2 = (x-y)(x+y)\) by factoring \(x^4 - 2x^2y^2 + y^4 --> (x^2-y^2)^2\) to be able to get remove the square root. If anything I would probably have mistaken it for \((x-y)^2 = x^2 + y^2 - 2xy\) as it *seems* more similar ahah :cry:

Would you advise just to keep practicing algebra questions or go back and brush up my theory?
Algebra 101, Math Number Theory - links to some theory you might find helpful. Since you were able to recognise that \(x^4 - 2x^2y^2 + y^4\) is similar to some algebraic identity, you could think a step further and look for what is different between \(x^4 - 2x^2y^2 + y^4\) and \(x^2 - 2xy + y^2\) (the one that you find it similar to) - from there you will realise that x and y are squared, and \((x-y)^2\) will be \((x^2 - y^2)^2 \) in this case.
User avatar
EnriqueDandolo
Joined: 07 Aug 2024
Last visit: 15 Oct 2025
Posts: 16
Own Kudos:
Given Kudos: 17
Posts: 16
Kudos: 2
Kudos
Add Kudos
Bookmarks
Bookmark this Post
Hey Krunaal I understand that it's easier to solve when the first line is as you stated, however I was wondering if it would also be possible to start solving the problem by applying an exponent of 2 to numerator and denominator as I wrote on my past post. Thanks again for your help.

Krunaal
EnriqueDandolo
Hey Krunaal thanks for your help. I was trying to solve the problem the following way, but I am not getting to the answer, could you please help me identify where am I going wrong?

(SQRT(x^4 - 2x^2y^2 + y^4))^2/(x+y)^2

= (x^4 - 2x^2y^2 + y^4)/(x+y)^2

=(x^2 - y^2)^2/(x+y)^2

=(x-y)(x+y)(x-y)(x+y)/(x+y)(x+y)

=(x-y)^2

Thanks in advance for your help.
The first line - it will be \(\frac{\sqrt{(x^2 -y^2)^2}}{x+y} \)
User avatar
Krunaal
User avatar
Tuck School Moderator
Joined: 15 Feb 2021
Last visit: 25 Apr 2026
Posts: 852
Own Kudos:
Given Kudos: 251
Status:Under the Square and Compass
Location: India
GMAT Focus 1: 755 Q90 V90 DI82
GPA: 5.78
WE:Marketing (Consulting)
Products:
GMAT Focus 1: 755 Q90 V90 DI82
Posts: 852
Kudos: 915
Kudos
Add Kudos
Bookmarks
Bookmark this Post
EnriqueDandolo
Hey Krunaal I understand that it's easier to solve when the first line is as you stated, however I was wondering if it would also be possible to start solving the problem by applying an exponent of 2 to numerator and denominator as I wrote on my past post. Thanks again for your help.

Krunaal
EnriqueDandolo
Hey Krunaal thanks for your help. I was trying to solve the problem the following way, but I am not getting to the answer, could you please help me identify where am I going wrong?

(SQRT(x^4 - 2x^2y^2 + y^4))^2/(x+y)^2

= (x^4 - 2x^2y^2 + y^4)/(x+y)^2

=(x^2 - y^2)^2/(x+y)^2

=(x-y)(x+y)(x-y)(x+y)/(x+y)(x+y)

=(x-y)^2

Thanks in advance for your help.
The first line - it will be \(\frac{\sqrt{(x^2 -y^2)^2}}{x+y} \)
In that case, since you squared at the beginning, you have to take square root at the end to get the final answer

Let \(k\) = \(\frac{\sqrt{x^4 - 2x^2y^2 + y^4}}{x+y}\)

\(k^2\) = \(\frac{x^4 - 2x^2y^2 + y^4}{{(x+y)}^2}\)

Solving, you will get,

\(k^2 = (x-y)^2\)

But, since we want value of k, taking square roots on both sides,

\(k = x-y\)
User avatar
sahilsehdev97
Joined: 24 Aug 2024
Last visit: 25 Jan 2026
Posts: 10
Given Kudos: 3
Posts: 10
Kudos: 0
Kudos
Add Kudos
Bookmarks
Bookmark this Post
Can someone please explain why the answer isn't E? On first glance, the idea is to simplify the exponents, which i did. This seems like a question that has 2 correct answers. Thanks.
guddo
If \(x^2 > y^2\), then \(\frac{\sqrt{x^4 - 2x^2y^2 + y^4}}{x+y} =\)

A. \(x - y\)

B. \(x + y\)

C. \(\frac{x - y}{x + y}\)

D. \(\frac{x^2 + y^2}{x + y}\)

E. \(\frac{x^2 - \sqrt{2}xy + y^2}{x+y}\)

Attachment:
2024-01-24_20-44-00.png
User avatar
Bunuel
User avatar
Math Expert
Joined: 02 Sep 2009
Last visit: 29 Apr 2026
Posts: 109,972
Own Kudos:
Given Kudos: 105,948
Products:
Expert
Expert reply
Active GMAT Club Expert! Tag them with @ followed by their username for a faster response.
Posts: 109,972
Kudos: 811,955
Kudos
Add Kudos
Bookmarks
Bookmark this Post
sahilsehdev97
Can someone please explain why the answer isn't E? On first glance, the idea is to simplify the exponents, which i did. This seems like a question that has 2 correct answers. Thanks.


How are you getting that E is correct?

It’s not E because \(\sqrt{x^4 - 2x^2y^2 + y^4} = \sqrt{(x^2-y^2)^2} = |x^2-y^2|\). Since it’s given that \(x^2 > y^2\), we have \(|x^2-y^2| = x^2-y^2\).

But the denominator in option E, \(x^2 - \sqrt{2}xy + y^2\), does not simplify to \(x^2 - y^2\).
User avatar
repellaterror
Joined: 27 Aug 2025
Last visit: 22 Apr 2026
Posts: 2
Given Kudos: 38
Posts: 2
Kudos: 0
Kudos
Add Kudos
Bookmarks
Bookmark this Post
I recommend using smart numbers here. If you assume x=3 then x^2 is 9, and if you assume y=2 then y^2=4. When you plug and chug, you solve and get the value of 1. x-y=1 since x-y=3-2. Hope this helps, way easier to just plug in this situations than do out all the algebra.
Moderators:
Math Expert
109972 posts
Tuck School Moderator
852 posts