Last visit was: 19 Nov 2025, 14:07 It is currently 19 Nov 2025, 14:07
Close
GMAT Club Daily Prep
Thank you for using the timer - this advanced tool can estimate your performance and suggest more practice questions. We have subscribed you to Daily Prep Questions via email.

Customized
for You

we will pick new questions that match your level based on your Timer History

Track
Your Progress

every week, we’ll send you an estimated GMAT score based on your performance

Practice
Pays

we will pick new questions that match your level based on your Timer History
Not interested in getting valuable practice questions and articles delivered to your email? No problem, unsubscribe here.
Close
Request Expert Reply
Confirm Cancel
User avatar
shasadou
Joined: 12 Aug 2015
Last visit: 24 Nov 2022
Posts: 219
Own Kudos:
3,099
 [78]
Given Kudos: 1,476
Concentration: General Management, Operations
GMAT 1: 640 Q40 V37
GMAT 2: 650 Q43 V36
GMAT 3: 600 Q47 V27
GPA: 3.3
WE:Management Consulting (Consulting)
GMAT 3: 600 Q47 V27
Posts: 219
Kudos: 3,099
 [78]
8
Kudos
Add Kudos
70
Bookmarks
Bookmark this Post
Most Helpful Reply
User avatar
BrentGMATPrepNow
User avatar
Major Poster
Joined: 12 Sep 2015
Last visit: 31 Oct 2025
Posts: 6,739
Own Kudos:
35,353
 [28]
Given Kudos: 799
Location: Canada
Expert
Expert reply
Posts: 6,739
Kudos: 35,353
 [28]
19
Kudos
Add Kudos
9
Bookmarks
Bookmark this Post
General Discussion
User avatar
KarishmaB
Joined: 16 Oct 2010
Last visit: 19 Nov 2025
Posts: 16,267
Own Kudos:
77,000
 [3]
Given Kudos: 482
Location: Pune, India
Expert
Expert reply
Active GMAT Club Expert! Tag them with @ followed by their username for a faster response.
Posts: 16,267
Kudos: 77,000
 [3]
2
Kudos
Add Kudos
1
Bookmarks
Bookmark this Post
User avatar
stonecold
Joined: 12 Aug 2015
Last visit: 09 Apr 2024
Posts: 2,244
Own Kudos:
3,549
 [1]
Given Kudos: 893
GRE 1: Q169 V154
GRE 1: Q169 V154
Posts: 2,244
Kudos: 3,549
 [1]
Kudos
Add Kudos
1
Bookmarks
Bookmark this Post
Excellent Question.
Testing our knowledge about GCD-LCM and Prime factorisation.

Given data -> x,y,z are positive integers.
We are asked about the Greatest prime factor of x*y*z

Statement 1->
GCD(x,y,z)=7
Lets use test cases->
Case 1=>
7
7
7
GCD=> 7
And Greatest prime =7
Case 2=>
7
7
7*13
GCD=>7
Greatest prime factor is 7*13

Actually this statement tells us that the greatest prime factor must be greater than or equal to 7.
Hence not sufficient.

Statement 2->
LCM(x,y,z)=84=2^2*3*7
Now if x,y,z had any prime factor other than 2,3,7 => It must have been present in the LCM.
In LCM => We pick the greatest power of each Prime factor.
Hence the greatest prime in the Product must be 7.
Hence sufficient.
Hence B.
User avatar
DHAR
Joined: 15 Dec 2015
Last visit: 13 Dec 2021
Posts: 92
Own Kudos:
Given Kudos: 83
GMAT 1: 680 Q49 V34
GPA: 4
WE:Information Technology (Computer Software)
GMAT 1: 680 Q49 V34
Posts: 92
Kudos: 928
Kudos
Add Kudos
Bookmarks
Bookmark this Post
Bunuel: Can you please provide similar questions to practice.
User avatar
GMATinsight
User avatar
Major Poster
Joined: 08 Jul 2010
Last visit: 19 Nov 2025
Posts: 6,839
Own Kudos:
Given Kudos: 128
Status:GMAT/GRE Tutor l Admission Consultant l On-Demand Course creator
Location: India
GMAT: QUANT+DI EXPERT
Schools: IIM (A) ISB '24
GMAT 1: 750 Q51 V41
WE:Education (Education)
Products:
Expert
Expert reply
Schools: IIM (A) ISB '24
GMAT 1: 750 Q51 V41
Posts: 6,839
Kudos: 16,354
Kudos
Add Kudos
Bookmarks
Bookmark this Post
shasadou
If x, y, and z are positive integers, what is the greatest prime factor of the product xyz?

(1) The greatest common factor of x, y, and z is 7.

(2) The lowest common multiple of x, y, and z is 84


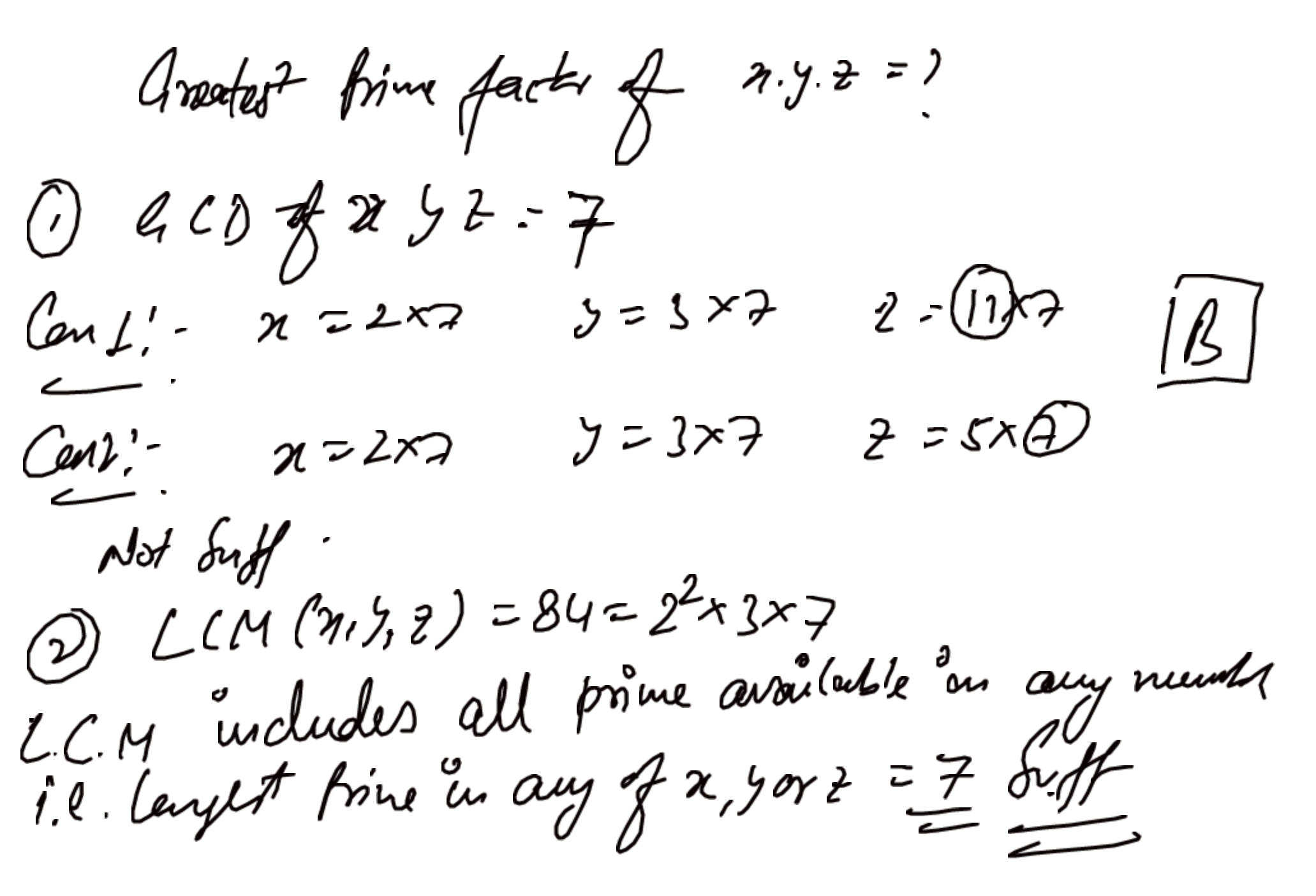
Please find explanation as mentioned in attachment

Answer: option B
Attachments

File comment: www.GMATinsight.com
Screen Shot 2018-04-20 at 2.53.51 PM.png
Screen Shot 2018-04-20 at 2.53.51 PM.png [ 483.94 KiB | Viewed 19619 times ]

User avatar
ScottTargetTestPrep
User avatar
Target Test Prep Representative
Joined: 14 Oct 2015
Last visit: 19 Nov 2025
Posts: 21,716
Own Kudos:
Given Kudos: 300
Status:Founder & CEO
Affiliations: Target Test Prep
Location: United States (CA)
Expert
Expert reply
Active GMAT Club Expert! Tag them with @ followed by their username for a faster response.
Posts: 21,716
Kudos: 26,996
Kudos
Add Kudos
Bookmarks
Bookmark this Post
shasadou
If x, y, and z are positive integers, what is the greatest prime factor of the product xyz?

(1) The greatest common factor of x, y, and z is 7.

(2) The lowest common multiple of x, y, and z is 84

Solution:

If the largest prime factors of x, y and z are a, b, and c, respectively, then the greatest prime factor of the product xyz is the largest of the values of a, b and c.

Statement One Only:

The greatest common factor of x, y, and z is 7.

We don’t have enough information to determine the greatest prime factor of xyz. For example, if x = 2 * 7, y = 3 * 7 and z = 5 * 7, then the greatest prime factor of xyz is 7. However, if x = 2 * 7, y = 3 * 7 and z = 7 * 11, then the greatest prime factor of xyz is 11.

Statement Two Only:

The lowest common multiple of x, y, and z is 84.

Since 84 = 2^2 * 3 * 7, it must be true that 7, the greatest prime factor of 84, must be the greatest prime factor of x, y, or z. Therefore, from our stem analysis, 7 is also the greatest prime factor of the product xyz.

Answer: B
User avatar
bumpbot
User avatar
Non-Human User
Joined: 09 Sep 2013
Last visit: 04 Jan 2021
Posts: 38,587
Own Kudos:
Posts: 38,587
Kudos: 1,079
Kudos
Add Kudos
Bookmarks
Bookmark this Post
Hello from the GMAT Club BumpBot!

Thanks to another GMAT Club member, I have just discovered this valuable topic, yet it had no discussion for over a year. I am now bumping it up - doing my job. I think you may find it valuable (esp those replies with Kudos).

Want to see all other topics I dig out? Follow me (click follow button on profile). You will receive a summary of all topics I bump in your profile area as well as via email.
Moderators:
Math Expert
105390 posts
496 posts