Last visit was: 18 Nov 2025, 23:52 It is currently 18 Nov 2025, 23:52
Close
GMAT Club Daily Prep
Thank you for using the timer - this advanced tool can estimate your performance and suggest more practice questions. We have subscribed you to Daily Prep Questions via email.

Customized
for You

we will pick new questions that match your level based on your Timer History

Track
Your Progress

every week, we’ll send you an estimated GMAT score based on your performance

Practice
Pays

we will pick new questions that match your level based on your Timer History
Not interested in getting valuable practice questions and articles delivered to your email? No problem, unsubscribe here.
Close
Request Expert Reply
Confirm Cancel
555-605 Level|   Arithmetic|                              
User avatar
GMATinsight
User avatar
Major Poster
Joined: 08 Jul 2010
Last visit: 18 Nov 2025
Posts: 6,836
Own Kudos:
Given Kudos: 128
Status:GMAT/GRE Tutor l Admission Consultant l On-Demand Course creator
Location: India
GMAT: QUANT+DI EXPERT
Schools: IIM (A) ISB '24
GMAT 1: 750 Q51 V41
WE:Education (Education)
Products:
Expert
Expert reply
Schools: IIM (A) ISB '24
GMAT 1: 750 Q51 V41
Posts: 6,836
Kudos: 16,349
Kudos
Add Kudos
Bookmarks
Bookmark this Post
User avatar
Russ19
Joined: 29 Oct 2019
Last visit: 29 Oct 2025
Posts: 1,340
Own Kudos:
Given Kudos: 582
Posts: 1,340
Kudos: 1,905
Kudos
Add Kudos
Bookmarks
Bookmark this Post
User avatar
BrentGMATPrepNow
User avatar
Major Poster
Joined: 12 Sep 2015
Last visit: 31 Oct 2025
Posts: 6,739
Own Kudos:
35,332
 [1]
Given Kudos: 799
Location: Canada
Expert
Expert reply
Posts: 6,739
Kudos: 35,332
 [1]
Kudos
Add Kudos
1
Bookmarks
Bookmark this Post
avatar
porav05
Joined: 03 Dec 2020
Last visit: 20 Jun 2024
Posts: 3
Own Kudos:
4
 [1]
Given Kudos: 21
Posts: 3
Kudos: 4
 [1]
1
Kudos
Add Kudos
Bookmarks
Bookmark this Post
1/201 is approximately: 0.005
1/300 is approximately: 0.003
avg is : 0.004

since there are 100 elements; so sum = 0.4

only option A suits
User avatar
GMATinsight
User avatar
Major Poster
Joined: 08 Jul 2010
Last visit: 18 Nov 2025
Posts: 6,836
Own Kudos:
16,349
 [1]
Given Kudos: 128
Status:GMAT/GRE Tutor l Admission Consultant l On-Demand Course creator
Location: India
GMAT: QUANT+DI EXPERT
Schools: IIM (A) ISB '24
GMAT 1: 750 Q51 V41
WE:Education (Education)
Products:
Expert
Expert reply
Schools: IIM (A) ISB '24
GMAT 1: 750 Q51 V41
Posts: 6,836
Kudos: 16,349
 [1]
Kudos
Add Kudos
1
Bookmarks
Bookmark this Post
Walkabout
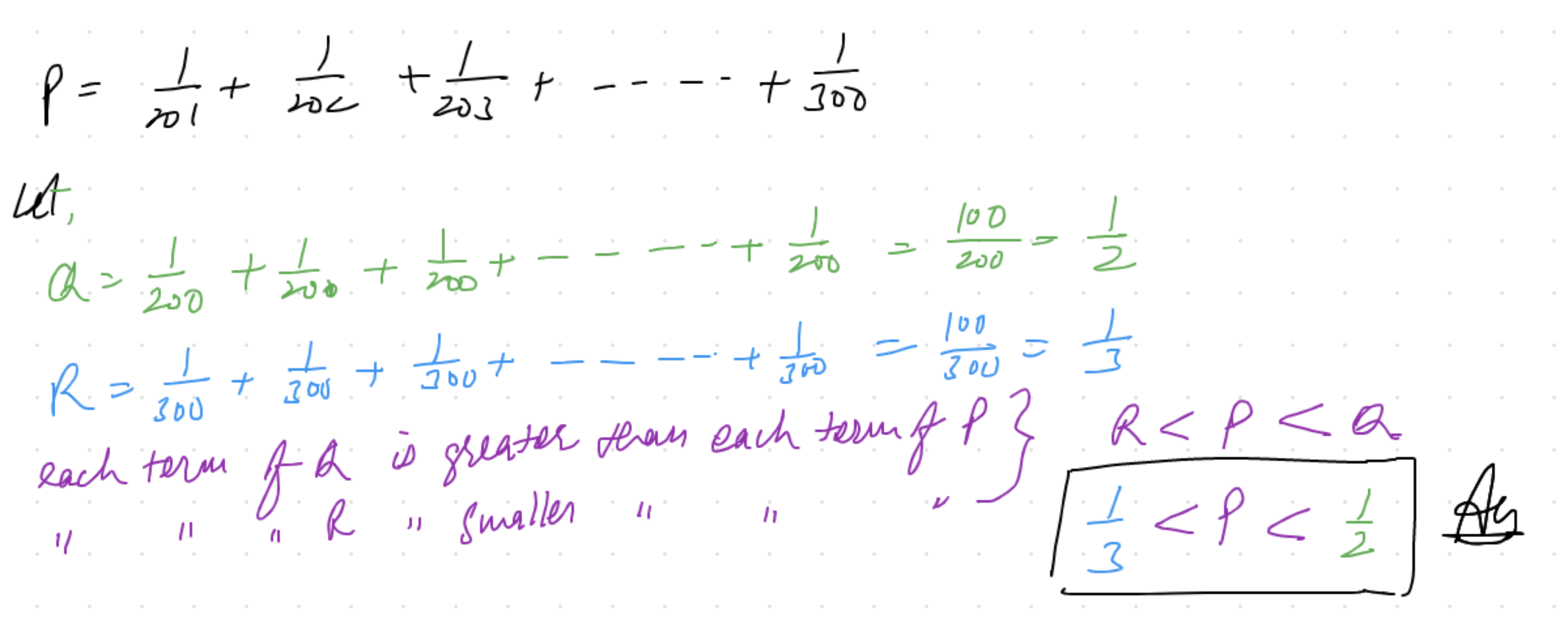
M is the sum of the reciprocals of the consecutive integers from 201 to 300, inclusive. Which of the following is true?

(A) 1/3 < M < 1/2
(B) 1/5 < M < 1/3
(C) 1/7 < M < 1/5
(D) 1/9 < M < 1/7
(E) 1/12 < M < 1/9



Answer: Option A

Video solution by GMATinsight

User avatar
CrackverbalGMAT
User avatar
Major Poster
Joined: 03 Oct 2013
Last visit: 16 Nov 2025
Posts: 4,844
Own Kudos:
Given Kudos: 225
Affiliations: CrackVerbal
Location: India
Expert
Expert reply
Posts: 4,844
Kudos: 8,945
Kudos
Add Kudos
Bookmarks
Bookmark this Post
M = \(\frac{1}{201} + \frac{1}{202} +...... + \frac{1}{300} \)

There are a total of 100 terms in this series.
When you compare each term in the series , the minimum value in the series is 1/300

Since there are 100 terms in the series and each term is greater than 1/300. We can conclude that the sum M should greater than\( 100* \frac{1}{300}\).

M > 1/3

When you analyze the option, we can see that they are arranged in descending order. In option A, the lower limit of the range is 1/3
while in option B , the upper limit is 1/3. Similarly as the other options are also in the decreasing order of the range, So Option B,C,D,E can be blindly eliminated as Sum should be greater than 1/3


Thanks,
Clifin J Francis,
GMAT SME
User avatar
sting8
User avatar
Current Student
Joined: 03 Dec 2020
Last visit: 12 Aug 2023
Posts: 59
Own Kudos:
Given Kudos: 215
Location: India
Debrief: https://gmatclub.com/forum/740-v40-q50-second-attempt-self-preparation-375379.html
Concentration: Technology, Strategy
GMAT 1: 720 Q49 V39
GMAT 2: 740 Q50 V40
WE:Engineering (Computer Hardware)
GMAT 2: 740 Q50 V40
Posts: 59
Kudos: 133
Kudos
Add Kudos
Bookmarks
Bookmark this Post
My approach is nowhere close to Bunuel's solution above, still putting this out, in case anybody finds it useful.

We have a result:

Quote:
\(1+\frac{1}{2}+\frac{1}{3}+\frac{1}{4}+........+\frac{1}{n} = 2.303 * log(n)\)
(PS : I dont have the derivation, you can just remember it, if you want to)

For this question, we need to calculate
\((1+\frac{1}{2}+\frac{1}{3}+...+\frac{1}{300}) - (1+\frac{1}{2}+\frac{1}{3}+...+\frac{1}{200})\)
\(= 2.303 log(300) - 2.303 log(200)\)
\(=2.303 log (3/2)\)
\(=2.303 (log(3) - log(2))\)
\(=2.303 (0.4771-0.3010)\)
\(=2.3*0.17 (approx)\)
<= 0.4

(A) satisfies
avatar
mackej100
Joined: 07 Sep 2021
Last visit: 31 Jan 2022
Posts: 1
Given Kudos: 2
Location: United States
Posts: 1
Kudos: 0
Kudos
Add Kudos
Bookmarks
Bookmark this Post
This is a longer method, but the one I used to solve in 2:14

You can pair the reciprocals:

1/200 + 1/300
3/600 + 2/600 = 5/600
5/600 = 1/120
1/120 * 50 = 50/120
5/12

1/3 < 5/12 < 1/2
****4/12 < 5/12 < 6/12****

Note: in reality, the true answer is just BARELY shy of 5/12 since 1/200 not 1/201 was used to get a common deonominator.
avatar
ankitbagla
Joined: 24 Sep 2011
Last visit: 25 Nov 2022
Posts: 14
Own Kudos:
Given Kudos: 45
Location: India
Schools: IIM
GMAT 1: 650 Q50 V26
GPA: 4
Schools: IIM
GMAT 1: 650 Q50 V26
Posts: 14
Kudos: 6
Kudos
Add Kudos
Bookmarks
Bookmark this Post
fukirua
Bunuel
M is the sum of the reciprocals of the consecutive integers from 201 to 300, inclusive. Which of the following is true?

(A) 1/3 < M < 1/2
(B) 1/5 < M < 1/3
(C) 1/7 < M < 1/5
(D) 1/9 < M < 1/7
(E) 1/12 < M < 1/9

Given that \(M=\frac{1}{201}+\frac{1}{202}+\frac{1}{203}+...+\frac{1}{300}\). Notice that 1/201 is the larges term and 1/300 is the smallest term.

If all 100 terms were equal to 1/300, then the sum would be 100/300=1/3, but since actual sum is more than that, then we have that M>1/3.

If all 100 terms were equal to 1/200, then the sum would be 100/200=1/2, but since actual sum is less than that, then we have that M<1/2.

Therefore, 1/3<M<1/2.

Answer: A.

WOW, that is elegant!
Bunuel please suggest if we can use the next assumption:
Arithmetic mean of the elements a1 and a100= 501/(300*2*201). Sum of all elements = 100*Arithmetic mean=167/(6*67)= 167/402 , which is definitely more than 1/3. A
Thanks

This series is not in AP . hence sum is not required
User avatar
Nrj0601
Joined: 15 May 2019
Last visit: 23 May 2024
Posts: 41
Own Kudos:
Given Kudos: 27
Status:Engineering Manager
Concentration: Leadership, Strategy
Schools: IIMA PGPX"20
WE:Engineering (Consulting)
Schools: IIMA PGPX"20
Posts: 41
Kudos: 12
Kudos
Add Kudos
Bookmarks
Bookmark this Post
Use estimation here, Since the sum of first and last is around 1/2.5, and all are consecutive. A is the closest match.
avatar
tasos777btj
Joined: 10 Jun 2022
Last visit: 20 Sep 2025
Posts: 10
Own Kudos:
Given Kudos: 54
Location: Greece
GPA: 3.93
Posts: 10
Kudos: 3
Kudos
Add Kudos
Bookmarks
Bookmark this Post
I don't know if the method is right, but I thought of Σχ = average * N

Finding the average since they are consecutive: ( [1][/201] + [1][/300] ) / 2 = [501][/201*300*2] -> Average
Finding the number of multiples N: (301-200) + 1 (since it says inclusive) = 100 ->N
Σχ = [501][/201*300*2] * 100 -----> approx. [500][/200 * 300*2] *100 = 5/12 = .42
User avatar
lavanya.18
Joined: 21 Apr 2024
Last visit: 12 Mar 2025
Posts: 127
Own Kudos:
Given Kudos: 679
Location: India
Concentration: Marketing, General Management
GPA: 7.5
Products:
Kudos
Add Kudos
Bookmarks
Bookmark this Post
Very easy question, but the condition here is thinking clearly with patience, or else you'll get confused really fast.

Posted from my mobile device
User avatar
NEYR0N
Joined: 12 Feb 2025
Last visit: 18 Nov 2025
Posts: 94
Own Kudos:
Given Kudos: 66
Posts: 94
Kudos: 9
Kudos
Add Kudos
Bookmarks
Bookmark this Post
can i not simplify 1/201 and 1/300 to : 1/2 and 1/3 respectively intuitively ? the ranges will be the same, I don't care about absolute values, right?

and do N = 1/2 - 1/3 + 1 = 7/6
AVG = ( 1/3 + 1/2 ) / 2 = 5/12 ---- 35/72 < 1/2 .. so A only one that satisfies

Bunuel
M is the sum of the reciprocals of the consecutive integers from 201 to 300, inclusive. Which of the following is true?

(A) 1/3 < M < 1/2
(B) 1/5 < M < 1/3
(C) 1/7 < M < 1/5
(D) 1/9 < M < 1/7
(E) 1/12 < M < 1/9

Given that \(M=\frac{1}{201}+\frac{1}{202}+\frac{1}{203}+...+\frac{1}{300}\). Notice that 1/201 is the largest term and 1/300 is the smallest term.

If all 100 terms were equal to 1/300, then the sum would be 100/300 = 1/3, but since the actual sum is more than that, we have that M > 1/3.

If all 100 terms were equal to 1/200, then the sum would be 100/200 = 1/2, but since the actual sum is less than that, we have that M < 1/2.

Therefore, 1/3 < M < 1/2.

Answer: A.
User avatar
Bunuel
User avatar
Math Expert
Joined: 02 Sep 2009
Last visit: 18 Nov 2025
Posts: 105,377
Own Kudos:
Given Kudos: 99,977
Products:
Expert
Expert reply
Active GMAT Club Expert! Tag them with @ followed by their username for a faster response.
Posts: 105,377
Kudos: 778,143
Kudos
Add Kudos
Bookmarks
Bookmark this Post
INprimesItrust
can i not simplify 1/201 and 1/300 to : 1/2 and 1/3 respectively intuitively ? the ranges will be the same, I don't care about absolute values, right?

and do N = 1/2 - 1/3 + 1 = 7/6
AVG = ( 1/3 + 1/2 ) / 2 = 5/12 ---- 35/72 < 1/2 .. so A only one that satisfies

Bunuel
M is the sum of the reciprocals of the consecutive integers from 201 to 300, inclusive. Which of the following is true?

(A) 1/3 < M < 1/2
(B) 1/5 < M < 1/3
(C) 1/7 < M < 1/5
(D) 1/9 < M < 1/7
(E) 1/12 < M < 1/9

Given that \(M=\frac{1}{201}+\frac{1}{202}+\frac{1}{203}+...+\frac{1}{300}\). Notice that 1/201 is the largest term and 1/300 is the smallest term.

If all 100 terms were equal to 1/300, then the sum would be 100/300 = 1/3, but since the actual sum is more than that, we have that M > 1/3.

If all 100 terms were equal to 1/200, then the sum would be 100/200 = 1/2, but since the actual sum is less than that, we have that M < 1/2.

Therefore, 1/3 < M < 1/2.

Answer: A.

Unless I’m missing something in your logic, that approach doesn’t seem correct.

1/201 is about 100 times smaller than 1/2, and 1/300 is exactly 100 times smaller than 1/3—so simplifying to 1/2 and 1/3 loses too much precision for a tight range like this.

Also, not sure what you’re doing with 1/2 - 1/3 + 1 = 7/6, or why you’re averaging 1/2 and 1/3—it doesn’t reflect the actual sum or its bounds.

Just FYI: 1/201 + 1/202 + ... + 1/300 ≈ 0.4.
   1   2 
Moderators:
Math Expert
105377 posts
Tuck School Moderator
805 posts