Events & Promotions
| Last visit was: 19 Nov 2025, 06:15 |
It is currently 19 Nov 2025, 06:15 |
|
|
Customized
for You
Track
Your Progress
Practice
Pays
12:30 PM EST
-01:30 PM EST
07:30 AM PST
-08:30 AM PST
01:30 PM EST
-02:30 PM IST
11:00 AM IST
-01:00 PM IST
11:00 AM IST
-01:00 PM IST
07:00 PM PST
-08:00 PM PST
10:00 AM EST
-11:00 AM EST
Difficulty:
Question Stats:
89% (01:31) correct
11%
(01:55)
wrong
based on 2371
sessions
History

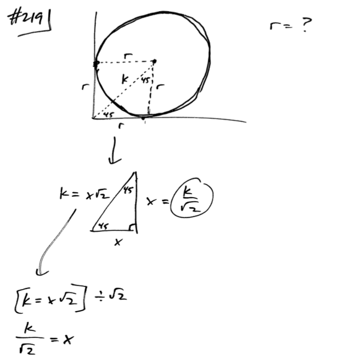
Screen Shot 2017-05-18 at 11.56.46 AM.png [ 41.98 KiB | Viewed 43010 times ]
Screen Shot 2017-05-30 at 4.07.38 PM.png [ 88.7 KiB | Viewed 42764 times ]
Success stories and strategies from high-scoring candidates.