Last visit was: 21 Apr 2026, 21:23 It is currently 21 Apr 2026, 21:23
Close
GMAT Club Daily Prep
Thank you for using the timer - this advanced tool can estimate your performance and suggest more practice questions. We have subscribed you to Daily Prep Questions via email.

Customized
for You

we will pick new questions that match your level based on your Timer History

Track
Your Progress

every week, we’ll send you an estimated GMAT score based on your performance

Practice
Pays

we will pick new questions that match your level based on your Timer History
Not interested in getting valuable practice questions and articles delivered to your email? No problem, unsubscribe here.
Close
Request Expert Reply
Confirm Cancel
User avatar
Bunuel
User avatar
Math Expert
Joined: 02 Sep 2009
Last visit: 21 Apr 2026
Posts: 109,728
Own Kudos:
Given Kudos: 105,800
Products:
Expert
Expert reply
Active GMAT Club Expert! Tag them with @ followed by their username for a faster response.
Posts: 109,728
Kudos: 810,489
 [12]
Kudos
Add Kudos
12
Bookmarks
Bookmark this Post
User avatar
GMATinsight
User avatar
Major Poster
Joined: 08 Jul 2010
Last visit: 21 Apr 2026
Posts: 6,976
Own Kudos:
16,892
 [3]
Given Kudos: 128
Status:GMAT/GRE Tutor l Admission Consultant l On-Demand Course creator
Location: India
GMAT: QUANT+DI EXPERT
Schools: IIM (A) ISB '24
GMAT 1: 750 Q51 V41
WE:Education (Education)
Products:
Expert
Expert reply
Schools: IIM (A) ISB '24
GMAT 1: 750 Q51 V41
Posts: 6,976
Kudos: 16,892
 [3]
1
Kudos
Add Kudos
2
Bookmarks
Bookmark this Post
User avatar
lacktutor
Joined: 25 Jul 2018
Last visit: 23 Oct 2023
Posts: 658
Own Kudos:
1,445
 [1]
Given Kudos: 69
Posts: 658
Kudos: 1,445
 [1]
1
Kudos
Add Kudos
Bookmarks
Bookmark this Post
User avatar
Kinshook
User avatar
Major Poster
Joined: 03 Jun 2019
Last visit: 21 Apr 2026
Posts: 5,986
Own Kudos:
5,855
 [2]
Given Kudos: 163
Location: India
GMAT 1: 690 Q50 V34
WE:Engineering (Transportation)
Products:
GMAT 1: 690 Q50 V34
Posts: 5,986
Kudos: 5,855
 [2]
Kudos
Add Kudos
2
Bookmarks
Bookmark this Post
Bunuel
The number of sides in a regular polygon is ‘T’ times the number of diagonals in it. What is the interior angle of this polygon in terms of T?

A. \(540*\frac{(T+2)}{(3T+2)}\)

B. \(360*\frac{(T+2)}{(3T+2)}\)

C. \(270*\frac{(T+2)}{(3T+2)}\)

D. \(180*\frac{(T+2)}{(3T+2)}\)

E. \(90*\frac{(T+2)}{(3T+2)}\)

Are You Up For the Challenge: 700 Level Questions

Given: The number of sides in a regular polygon is ‘T’ times the number of diagonals in it.

Asked: What is the interior angle of this polygon in terms of T?

Let the number of sides in a regular polygon be n

Number of diagonals = \(^nC_2 - n = \frac{n(n-1)}{2}- n = \frac{n(n-1-2)}{2} = \frac{n(n-3)}{2} = \frac{n}{T}\)
\(T= \frac{2}{(n-3)}\)
\(n = \frac{2}{T} + 3 = \frac{(3T+2)}{T}\)
\(n-2 = \frac{2}{T} + 1 = \frac{(T+2)}{T}\)

The interior angle of this polygon =\( \frac{(n-2)180}{n} = \frac{180\frac{(T+2)}{T}}{\frac{(3T+2)}{T}} = \frac{180(T+2)}{(3T+2)}\\
\)
IMO D
avatar
monk123
Joined: 15 Jun 2015
Last visit: 08 May 2022
Posts: 197
Own Kudos:
Given Kudos: 140
Location: India
Posts: 197
Kudos: 192
Kudos
Add Kudos
Bookmarks
Bookmark this Post
Bunuel
can we do this way ?
let t=2. & diagonals be 2.
then, Sides=4.
it could be a square or a rectangle. we should aim for 90 degree angle.
putting the value of T in answer choices we get answer (D).
User avatar
Fdambro294
Joined: 10 Jul 2019
Last visit: 20 Aug 2025
Posts: 1,331
Own Kudos:
Given Kudos: 1,656
Posts: 1,331
Kudos: 771
Kudos
Add Kudos
Bookmarks
Bookmark this Post
In a Regular Polygon, each Interior Angle and Each Exterior Angle (taken one time at each vertex) are EQUAL.


Each Exterior Angle of an N Sided Regular Polygon = 360 degrees / N-Sides


Each Interior Angle makes a Straight Line Angle with the Exterior Angle


thus, Each Interior Angle of an N Sided Regular Polygon = 180 - (360/N) = ?

This is what we need to find "in terms of T"

"the no. of sides in a regular polygon is "T" times the number of diagonals in it"

N = (T) * [ (N) * (N - 3) / 2]


Isolate N and solve in terms of T

2N = (T) * [(N) (N-3)]

----cancel an N Factor from each side----

2 = T * (N - 3)

2 = TN - 3T

3T + 2 = TN

N = (3T + 2)/T


----now plug this in for N into -----> 180 - (360/N)

180 - (360) / [ (3T + 2)/ T]

180 - [ (360T) / (3T + 2) ]

---find common denominator for 180 ------> 180 * (3T + 2) / (3T + 2)


[180(3T + 2) / (3T + 2)] - [ 360T / (3T + 2)]

NUMERATOR = 180(3T + 2) - 360T

= 540T + 360 - 360T

= 180T + 360


DENOMINATOR = (3T + 2)


Answer:


(180T + 360) / (3T + 2)

180 * (T + 2) / (3T + 2)

(D)
User avatar
adityasuresh
Joined: 03 May 2020
Last visit: 16 Oct 2025
Posts: 107
Own Kudos:
Given Kudos: 512
Posts: 107
Kudos: 47
Kudos
Add Kudos
Bookmarks
Bookmark this Post
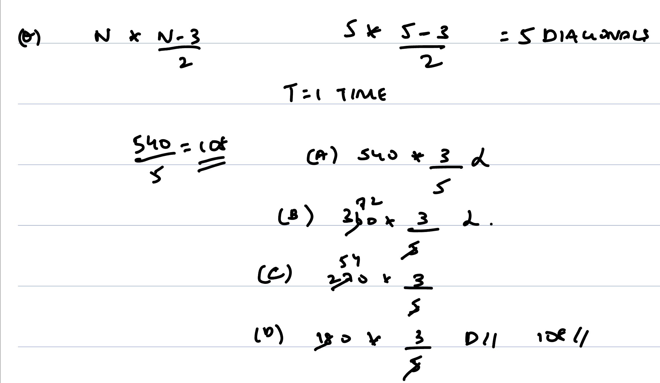
Here’s what I did I used the formula for calculating the no of diagonals:n*(n-3)/2. I assumed the no of sides to be 5, so the no of diagonals using the formula is 5*(5-3)/2 =5 so stem mentions t times so 5 is one time 5 so t=1 , an interior angle in a regular 5 sided figure =(5-2)*180 = 540,so each angle is 540/5 = 108

Plug in t =1 in option d it yields 108, 180*(1+2)/3+2 = 108
Attachments

File comment: Pfa
F559788C-5E12-40CA-8407-F910ADEE6B6F.jpeg
F559788C-5E12-40CA-8407-F910ADEE6B6F.jpeg [ 366.41 KiB | Viewed 3734 times ]

Moderators:
Math Expert
109728 posts
Tuck School Moderator
853 posts