Last visit was: 18 May 2026, 09:27 It is currently 18 May 2026, 09:27
Close
GMAT Club Daily Prep
Thank you for using the timer - this advanced tool can estimate your performance and suggest more practice questions. We have subscribed you to Daily Prep Questions via email.

Customized
for You

we will pick new questions that match your level based on your Timer History

Track
Your Progress

every week, we’ll send you an estimated GMAT score based on your performance

Practice
Pays

we will pick new questions that match your level based on your Timer History
Not interested in getting valuable practice questions and articles delivered to your email? No problem, unsubscribe here.
Close
Request Expert Reply
Confirm Cancel
User avatar
Rock750
Joined: 25 Oct 2012
Last visit: 20 Sep 2016
Posts: 185
Own Kudos:
1,468
 [54]
Given Kudos: 85
Status:Final Lap
Concentration: General Management, Entrepreneurship
GPA: 3.54
WE:Project Management (Retail Banking)
Posts: 185
Kudos: 1,468
 [54]
4
Kudos
Add Kudos
50
Bookmarks
Bookmark this Post
Most Helpful Reply
User avatar
Bunuel
User avatar
Math Expert
Joined: 02 Sep 2009
Last visit: 18 May 2026
Posts: 110,600
Own Kudos:
Given Kudos: 106,294
Products:
Expert
Expert reply
Active GMAT Club Expert! Tag them with @ followed by their username for a faster response.
Posts: 110,600
Kudos: 815,543
 [18]
8
Kudos
Add Kudos
9
Bookmarks
Bookmark this Post
avatar
lchen
Joined: 09 Apr 2013
Last visit: 20 Apr 2019
Posts: 37
Own Kudos:
181
 [16]
Given Kudos: 2
Location: United States (DC)
Concentration: Strategy, Social Entrepreneurship
GMAT 1: 750 Q50 V41
GPA: 3.55
WE:General Management (Non-Profit and Government)
Products:
GMAT 1: 750 Q50 V41
Posts: 37
Kudos: 181
 [16]
12
Kudos
Add Kudos
4
Bookmarks
Bookmark this Post
General Discussion
User avatar
IanStewart
User avatar
GMAT Tutor
Joined: 24 Jun 2008
Last visit: 17 May 2026
Posts: 4,146
Own Kudos:
11,323
 [1]
Given Kudos: 98
Location: United States
GMAT 1: 780 Q51 V47
Expert
Expert reply
GMAT 1: 780 Q51 V47
Posts: 4,146
Kudos: 11,323
 [1]
1
Kudos
Add Kudos
Bookmarks
Bookmark this Post
Rock750
Marge has 3 pumps for filling her swimming pool. When all 3 pumps work at their maximum rates, the swimming pool is filled in 56 minutes. Pump 1's maximum rate is twice the maximum rate of pump 2 and four times the maximum rate of pump 3. How long would it take Marge to fill the pool if she used only pump 3 at its maximum rate ?

A) 2hrs, 48mins
B) 6hrs, 32mins
C) 7hrs, 12mins
D) 13hrs, 4mins
E) 14hrs, 24mins

I'll use letters to label the pumps rather than numbers, because there will be so many numbers elsewhere in the solution. Real GMAT questions would normally compare how long it takes each pump to fill the pool, rather than compare the rates at which each pump fills the pool. That is, a real GMAT question would say that Pump C takes four times as long as Pump A (if A's rate is four times that of C, then C takes four times as long), and that Pump B takes twice as long as Pump A.

So, say Pump A fills the pool in t minutes. Then we know:

A fills 1 pool in t minutes
B fills 1 pool in 2t minutes
C fills 1 pool in 4t minutes

You could use the rates formula now, or you can just get the same amount of time for each pump - we can use 4t minutes:

A fills 4 pools in 4t minutes
B fills 2 pools in 4t minutes
C fills 1 pool in 4t minutes

So if they all work together for 4t minutes, they fill 4+2+1 = 7 pools. If they fill 7 pools in 4t minutes, they fill 1 pool in 4t/7 minutes. This is equal to 56 minutes, from the question, so

4t/7 = 56
4t = 56*7
4t = 392

Notice that 4t is what we wanted to find - that's the time it takes pump C. So the answer is 392 minutes, or 6 hours and 32 minutes.
avatar
hanzzz
Joined: 06 Aug 2012
Last visit: 23 Mar 2014
Posts: 12
Own Kudos:
12
 [6]
Location: Russian Federation
Concentration: International Business, General Management
GMAT Date: 06-28-2013
WE:Sales (Manufacturing)
Products:
Posts: 12
Kudos: 12
 [6]
5
Kudos
Add Kudos
1
Bookmarks
Bookmark this Post
My approach is quite similar to Bunuel's.
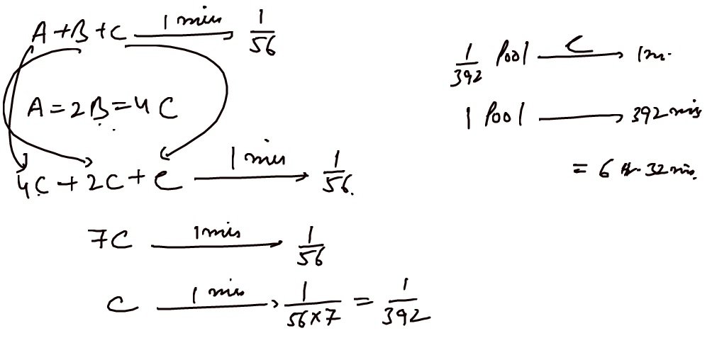
A,B,C - each pump's rate respectively. We know that all 3 pumps fill the pool for 56 min:
1/(A+B+C)=56
We also know that:
A=2B=4C; or A= 4C and B=2C

substitute these equalities in first equation:
1/(4C+2C+C)=56 ====> 1/7C=56 ===> C=1/392 meaning that pump C needs 392 minutes or 6 h 32 min to fill the pool alone.
avatar
ruhrpumpenpump
Joined: 17 Jun 2013
Last visit: 24 Jun 2013
Posts: 2
Own Kudos:
2
 [2]
Posts: 2
Kudos: 2
 [2]
2
Kudos
Add Kudos
Bookmarks
Bookmark this Post
I am getting the same solution like Bunuel
Using the method of The Highest Common Factor
Given that x+2x+4x=1/56
x=1/392
= 392 minutes
= 6 hours and 32 minutes.
User avatar
Temurkhon
Joined: 23 Jan 2013
Last visit: 06 Apr 2019
Posts: 408
Own Kudos:
Given Kudos: 43
Schools: Cambridge'16
Schools: Cambridge'16
Posts: 408
Kudos: 326
Kudos
Add Kudos
Bookmarks
Bookmark this Post
1/x+1/2x+1/4x=1/56
7/4x=1/56
x=1/98 portion of work per minute does fastest pump.
So, slowest does 1/98*4=1/392 portion, i.e in 392 min.
392/60=6.5... or 6h.32 min

B
avatar
manojach87
Joined: 26 May 2016
Last visit: 18 Oct 2022
Posts: 13
Own Kudos:
Given Kudos: 5
GMAT 1: 640 Q49 V30
GMAT 1: 640 Q49 V30
Posts: 13
Kudos: 52
Kudos
Add Kudos
Bookmarks
Bookmark this Post
Bunuel
Rock750
Marge has 3 pumps for filling her swimming pool. When all 3 pumps work at their maximum rates, the swimming pool is filled in 56 minutes. Pump 1's maximum rate is twice the maximum rate of pump 2 and four times the maximum rate of pump 3. How long would it take Marge to fill the pool if she used only pump 3 at its maximum rate ?

A) 2hrs, 48mins
B) 6hrs, 32mins
C) 7hrs, 12mins
D) 13hrs, 4mins
E) 14hrs, 24mins

The rate of pump 1 = 4x job/minute.
The rate of pump 2 = 2x job/minute.
The rate of pump 3 = x job/minute.

Given that x+2x+4x=1/56 --> x=1/392 --> (time) = (reciprocal of rate) = 392 minutes = 6 hours and 32 minutes.

Answer: B.

How about this approach:

Water pumped by pump 1 in 56 mins : 400 lts
Water pumped by pump 2 in 56 mins : 200 lts
Water pumped by pump 3 in 56 mins : 100 lts

total water pumped in 56 mins by all: 700 lts

Hence, pump 3 needs to pump 700 lts

for pump 3,

100 lts take 56 mins
so 700 lts will take 56 * 7 = 350 + 42 = 392mins = 392/60 hours = 6 hours and 32 mins.
User avatar
GMATinsight
User avatar
Major Poster
Joined: 08 Jul 2010
Last visit: 18 May 2026
Posts: 7,032
Own Kudos:
Given Kudos: 128
Status:GMAT/GRE Tutor l Admission Consultant l On-Demand Course creator
Location: India
GMAT: QUANT+DI EXPERT
Schools: IIM (A) ISB '24
GMAT 1: 750 Q51 V41
WE:Education (Education)
Products:
Expert
Expert reply
Schools: IIM (A) ISB '24
GMAT 1: 750 Q51 V41
Posts: 7,032
Kudos: 17,004
Kudos
Add Kudos
Bookmarks
Bookmark this Post
Rock750
Marge has 3 pumps for filling her swimming pool. When all 3 pumps work at their maximum rates, the swimming pool is filled in 56 minutes. Pump 1's maximum rate is twice the maximum rate of pump 2 and four times the maximum rate of pump 3. How long would it take Marge to fill the pool if she used only pump 3 at its maximum rate ?

A) 2hrs, 48mins
B) 6hrs, 32mins
C) 7hrs, 12mins
D) 13hrs, 4mins
E) 14hrs, 24mins

Answer: Option B

Please check attachment
Attachments

File comment: www.GMATinsight.com
3.jpg
3.jpg [ 59.66 KiB | Viewed 13523 times ]

User avatar
Abhishek009
User avatar
Board of Directors
Joined: 11 Jun 2011
Last visit: 17 Dec 2025
Posts: 5,896
Own Kudos:
5,466
 [1]
Given Kudos: 463
Status:QA & VA Forum Moderator
Location: India
GPA: 3.5
WE:Business Development (Commercial Banking)
Posts: 5,896
Kudos: 5,466
 [1]
1
Kudos
Add Kudos
Bookmarks
Bookmark this Post
Rock750
Marge has 3 pumps for filling her swimming pool. When all 3 pumps work at their maximum rates, the swimming pool is filled in 56 minutes. Pump 1's maximum rate is twice the maximum rate of pump 2 and four times the maximum rate of pump 3. How long would it take Marge to fill the pool if she used only pump 3 at its maximum rate ?

A) 2hrs, 48mins
B) 6hrs, 32mins
C) 7hrs, 12mins
D) 13hrs, 4mins
E) 14hrs, 24mins

Ratio of efficiency of the 3 pumps is -

Pump - I : Pump - II : Pump - III = 4 : 2 : 1

Total capacity is 56*7

Time taken to fill the tank using only Pump - III = \(\frac{56*7}{60}\) = 6 Hrs 32 minutes...

Hence, Answer will be (B) 6hrs, 32mins
avatar
Hellohello12
Joined: 30 May 2017
Last visit: 05 Aug 2020
Posts: 6
Own Kudos:
Given Kudos: 74
Posts: 6
Kudos: 2
Kudos
Add Kudos
Bookmarks
Bookmark this Post
Hey guys,

This is my approach and line of thinking, could you help me figure out where I'm going wrong?

We know that working together the pumps can fill the pool in 56 minutes, so the three pumps collectively fill 1/56 of the pool per minute.
(1/56=1/pump1 + 1/pump2 + 1/pump3)
or
Pump1 + pump2 + pump3 = 56

Next, because pump 1 works 4 times as fast as pump 3, and twice as fast as pump 2,

Let pump 1 = a (Pump 1 can fill the pool in a minutes)
Let pump 2 = 2a (Pump 2 can fill the pool in 2a minutes)
Let pump 3 = 4a (etc.. etc...)

1/a+ 1/2a+ 1/4a= 56
a= 32
4a= 128
Answer should be 2 hours and 8 minutes.....

It's clear to me that I'm wrong, but I'm not sure which part I've confused.

Thanks guys!
User avatar
gracie
Joined: 07 Dec 2014
Last visit: 11 Oct 2020
Posts: 1,027
Own Kudos:
Given Kudos: 27
Posts: 1,027
Kudos: 2,039
Kudos
Add Kudos
Bookmarks
Bookmark this Post
Rock750
Marge has 3 pumps for filling her swimming pool. When all 3 pumps work at their maximum rates, the swimming pool is filled in 56 minutes. Pump 1's maximum rate is twice the maximum rate of pump 2 and four times the maximum rate of pump 3. How long would it take Marge to fill the pool if she used only pump 3 at its maximum rate ?

A) 2hrs, 48mins
B) 6hrs, 32mins
C) 7hrs, 12mins
D) 13hrs, 4mins
E) 14hrs, 24mins

because rate of pump 3=1/7 of combined rate,
it will take pump 3 seven times as long to fill pool alone
7*56=392 minutes=6 hrs, 32 minutes
B
User avatar
rocko911
Joined: 11 Feb 2017
Last visit: 12 Apr 2018
Posts: 157
Own Kudos:
Given Kudos: 206
Posts: 157
Kudos: 37
Kudos
Add Kudos
Bookmarks
Bookmark this Post
Bunuel
Rock750
Marge has 3 pumps for filling her swimming pool. When all 3 pumps work at their maximum rates, the swimming pool is filled in 56 minutes. Pump 1's maximum rate is twice the maximum rate of pump 2 and four times the maximum rate of pump 3. How long would it take Marge to fill the pool if she used only pump 3 at its maximum rate ?

A) 2hrs, 48mins
B) 6hrs, 32mins
C) 7hrs, 12mins
D) 13hrs, 4mins
E) 14hrs, 24mins

The rate of pump 1 = 4x job/minute.
The rate of pump 2 = 2x job/minute.
The rate of pump 3 = x job/minute.

Given that x+2x+4x=1/56 --> x=1/392 --> (time) = (reciprocal of rate) = 392 minutes = 6 hours and 32 minutes.

Answer: B.

Hi bro, just a query

How do we know the rate is given in 4x/minute rather than 4x/hour?

Please help
User avatar
Bunuel
User avatar
Math Expert
Joined: 02 Sep 2009
Last visit: 18 May 2026
Posts: 110,600
Own Kudos:
Given Kudos: 106,294
Products:
Expert
Expert reply
Active GMAT Club Expert! Tag them with @ followed by their username for a faster response.
Posts: 110,600
Kudos: 815,543
Kudos
Add Kudos
Bookmarks
Bookmark this Post
rocko911
Bunuel
Rock750
Marge has 3 pumps for filling her swimming pool. When all 3 pumps work at their maximum rates, the swimming pool is filled in 56 minutes. Pump 1's maximum rate is twice the maximum rate of pump 2 and four times the maximum rate of pump 3. How long would it take Marge to fill the pool if she used only pump 3 at its maximum rate ?

A) 2hrs, 48mins
B) 6hrs, 32mins
C) 7hrs, 12mins
D) 13hrs, 4mins
E) 14hrs, 24mins

The rate of pump 1 = 4x job/minute.
The rate of pump 2 = 2x job/minute.
The rate of pump 3 = x job/minute.

Given that x+2x+4x=1/56 --> x=1/392 --> (time) = (reciprocal of rate) = 392 minutes = 6 hours and 32 minutes.

Answer: B.

Hi bro, just a query

How do we know the rate is given in 4x/minute rather than 4x/hour?

Please help

The rate is given in minutes (check the highlighted part) and the relative ratio of the three rates would be same for any time interval.
User avatar
ScottTargetTestPrep
User avatar
Target Test Prep Representative
Joined: 14 Oct 2015
Last visit: 18 May 2026
Posts: 22,344
Own Kudos:
26,595
 [1]
Given Kudos: 302
Status:Founder & CEO
Affiliations: Target Test Prep
Location: United States (CA)
Expert
Expert reply
Active GMAT Club Expert! Tag them with @ followed by their username for a faster response.
Posts: 22,344
Kudos: 26,595
 [1]
Kudos
Add Kudos
1
Bookmarks
Bookmark this Post
Rock750
Marge has 3 pumps for filling her swimming pool. When all 3 pumps work at their maximum rates, the swimming pool is filled in 56 minutes. Pump 1's maximum rate is twice the maximum rate of pump 2 and four times the maximum rate of pump 3. How long would it take Marge to fill the pool if she used only pump 3 at its maximum rate ?

A) 2hrs, 48mins
B) 6hrs, 32mins
C) 7hrs, 12mins
D) 13hrs, 4mins
E) 14hrs, 24mins

We can let n = the number of minutes it takes for pump 3 to fill the pool alone. Thus, the rate of pump 3 is 1/n, and that of pump 1 is 4/n and that of pump 2 is 2/n.

Since they can fill the pool in 56 minutes when they work together, their combined rates can be equated as follows:

4/n + 2/n + 1/n = 1/56

7/n = 1/56

n = 7 x 56

n = 392 minutes

Since 1 hour = 60 minutes, 392 minutes = 360 minutes + 32 minutes = 6 hours 32 minutes.

Answer: B
User avatar
dave13
Joined: 09 Mar 2016
Last visit: 15 Mar 2026
Posts: 1,082
Own Kudos:
Given Kudos: 3,851
Posts: 1,082
Kudos: 1,140
Kudos
Add Kudos
Bookmarks
Bookmark this Post
Bunuel
Rock750
Marge has 3 pumps for filling her swimming pool. When all 3 pumps work at their maximum rates, the swimming pool is filled in 56 minutes. Pump 1's maximum rate is twice the maximum rate of pump 2 and four times the maximum rate of pump 3. How long would it take Marge to fill the pool if she used only pump 3 at its maximum rate ?

A) 2hrs, 48mins
B) 6hrs, 32mins
C) 7hrs, 12mins
D) 13hrs, 4mins
E) 14hrs, 24mins

The rate of pump 1 = 4x job/minute.
The rate of pump 2 = 2x job/minute.
The rate of pump 3 = x job/minute.

Given that x+2x+4x=1/56 --> x=1/392 --> (time) = (reciprocal of rate) = 392 minutes = 6 hours and 32 minutes.

Answer: B.

H Bunuel

i am confused about wording: it says: Pump 1's maximum rate is twice the maximum rate of pump 2 and four times the maximum rate of pump 3.


shouldnt it be vice versa :?
The rate of pump 1 = x job/minute.
The rate of pump 2 = 2x job/minute.
The rate of pump 3 = 4x job/minute.

also you summed up rates of three machines x+2x+4x=1/56 --> x=1/392 And question asks about the time of only one pump ?

thanks and regards,
D.

Hello niks18 , perhaps you can help :-) ? still struggling with word problems, but improving a bit :)
User avatar
niks18
User avatar
Retired Moderator
Joined: 25 Feb 2013
Last visit: 30 Jun 2021
Posts: 861
Own Kudos:
1,811
 [1]
Given Kudos: 54
Location: India
GPA: 3.82
Products:
Posts: 861
Kudos: 1,811
 [1]
1
Kudos
Add Kudos
Bookmarks
Bookmark this Post
dave13
Bunuel
Rock750
Marge has 3 pumps for filling her swimming pool. When all 3 pumps work at their maximum rates, the swimming pool is filled in 56 minutes. Pump 1's maximum rate is twice the maximum rate of pump 2 and four times the maximum rate of pump 3. How long would it take Marge to fill the pool if she used only pump 3 at its maximum rate ?

A) 2hrs, 48mins
B) 6hrs, 32mins
C) 7hrs, 12mins
D) 13hrs, 4mins
E) 14hrs, 24mins

The rate of pump 1 = 4x job/minute.
The rate of pump 2 = 2x job/minute.
The rate of pump 3 = x job/minute.

Given that x+2x+4x=1/56 --> x=1/392 --> (time) = (reciprocal of rate) = 392 minutes = 6 hours and 32 minutes.

Answer: B.

H Bunuel

i am confused about wording: it says: Pump 1's maximum rate is twice the maximum rate of pump 2 and four times the maximum rate of pump 3.


shouldnt it be vice versa :?
The rate of pump 1 = x job/minute.
The rate of pump 2 = 2x job/minute.
The rate of pump 3 = 4x job/minute.

also you summed up rates of three machines x+2x+4x=1/56 --> x=1/392 And question asks about the time of only one pump ?

thanks and regards,
D.

Hello niks18 , perhaps you can help :-) ? still struggling with word problems, but improving a bit :)

Hi dave13

Take a simple example. If we say rate of pump 2 is 2 l/hr, then as per the question and your understanding what should be the rate of pump 1? whether it will be 1 l/hr or 4 l/hr? Whose rate is higher Pump 1 or Pump 2?

Posted from my mobile device
User avatar
dave13
Joined: 09 Mar 2016
Last visit: 15 Mar 2026
Posts: 1,082
Own Kudos:
Given Kudos: 3,851
Posts: 1,082
Kudos: 1,140
Kudos
Add Kudos
Bookmarks
Bookmark this Post
Take a simple example. If we say rate of pump 2 is 2 l/hr, then as per the question and your understanding what should be the rate of pump 1? whether it will be 1 l/hr or 4 l/hr? Whose rate is higher Pump 1 or Pump 2?

Posted from my mobile device[/quote]


Hi niks18, thanks for nice question and reply :) hope you had a fantastic day :)

if rate of pump TWO is 2 job/min than if pump 1's maximum rate is twice the maximum rate of pump TWO, HENCE the rate of pump ONE is 2*2 = 4 and since the rate of PUMP ONE is 4 job/min. Also if rate of pump ONE is four times the maximum rate of pump 3, then 2*3= 6

Am i correct ? :? :) my another question why did we sum up rates of all three pumps, when question asks about the time needed for only one pump to get the whole job done - which is pump number three :?

many many thanks :)
User avatar
niks18
User avatar
Retired Moderator
Joined: 25 Feb 2013
Last visit: 30 Jun 2021
Posts: 861
Own Kudos:
1,811
 [1]
Given Kudos: 54
Location: India
GPA: 3.82
Products:
Posts: 861
Kudos: 1,811
 [1]
1
Kudos
Add Kudos
Bookmarks
Bookmark this Post
dave13
Take a simple example. If we say rate of pump 2 is 2 l/hr, then as per the question and your understanding what should be the rate of pump 1? whether it will be 1 l/hr or 4 l/hr? Whose rate is higher Pump 1 or Pump 2?

Posted from my mobile device


Hi niks18, thanks for nice question and reply :) hope you had a fantastic day :)

if rate of pump TWO is 2 job/min than if pump 1's maximum rate is twice the maximum rate of pump TWO, HENCE the rate of pump ONE is 2*2 = 4 and since the rate of PUMP ONE is 4 job/min. Also if rate of pump ONE is four times the maximum rate of pump 3, then 2*3= 6
Am i correct ? :? :) my another question why did we sum up rates of all three pumps, when question asks about the time needed for only one pump to get the whole job done - which is pump number three :?

many many thanks :)[/quote]

Hi dave13,

the highlighted portion is not correct. pump 1 is four time the rate of pump 3. as you calculated that rate of pump 1 is 4l/hr so shouldn't the rate of pump 3 be 1 l/hr? 1*4times=4. Didn't understand why you calculated 6.

so in this problem we have rate of Pump1>Pump2>Pump3. Therefore as a general rule you should assume the lowest quantity as a variable. So here let Pump3=x, then Pump1=4x (this is 4 time the rate of pump2 & 2 times the rate of pump2) and Pump2=2x.

Next we are adding all the rates because we are given total time when all the three pumps are working together.
When three pumps work together the combined rate of flow will be =x+2x+4x=7x l/hr

so time taken = total Capacity/combined rate

Therefore total capacity = time*rate
User avatar
dave13
Joined: 09 Mar 2016
Last visit: 15 Mar 2026
Posts: 1,082
Own Kudos:
Given Kudos: 3,851
Posts: 1,082
Kudos: 1,140
Kudos
Add Kudos
Bookmarks
Bookmark this Post
niks18 many thanks for your kind explanation. yes, highlihed yellow part was a typo.

One question: why as general rule we should assume the lowest quantity as a variable, and not the highest quantity ? :?

have a great weelend :)

thank you! :-)
 1   2   
Moderators:
Math Expert
110600 posts
Tuck School Moderator
852 posts