Events & Promotions
| Last visit was: 21 Apr 2026, 12:06 |
It is currently 21 Apr 2026, 12:06 |
|
|
Customized
for You
Track
Your Progress
Practice
Pays
12:30 AM EDT
-01:30 AM EDT
12:00 PM EDT
-11:59 PM EDT
01:30 AM EDT
-02:30 AM EDT
08:00 PM PDT
-09:00 PM PDT
10:00 AM EDT
-11:00 AM EDT
11:00 AM EDT
-12:00 PM EDT
08:00 AM PDT
-11:00 AM PDT
Difficulty:
Question Stats:
60% (03:03) correct
40%
(02:59)
wrong
based on 1008
sessions
History
Solution.JPG [ 14.95 KiB | Viewed 117600 times ]
MGMATCAT.JPG [ 29.98 KiB | Viewed 117602 times ]
File comment: I hope somebody can understand
IMG_20150806_231236.jpg [ 282.57 KiB | Viewed 28897 times ]
File comment: www.GMATinsight.com
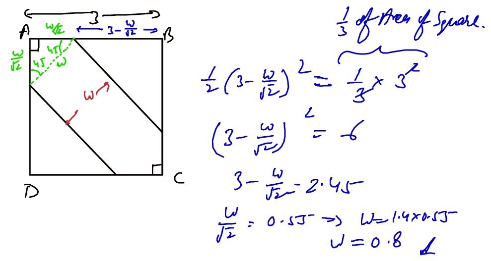
SOl3.jpg [ 85.28 KiB | Viewed 28712 times ]







Success stories and strategies from high-scoring candidates.