I'm glad this is the second question that concerns the powers of 3, because solving the first one does help prepare some calculations for this one

I used to be square of algebra. Wait - I am still scared of algebra, just not as much as I was. I learned, a lot of algebra hides something rather simple on the inside.
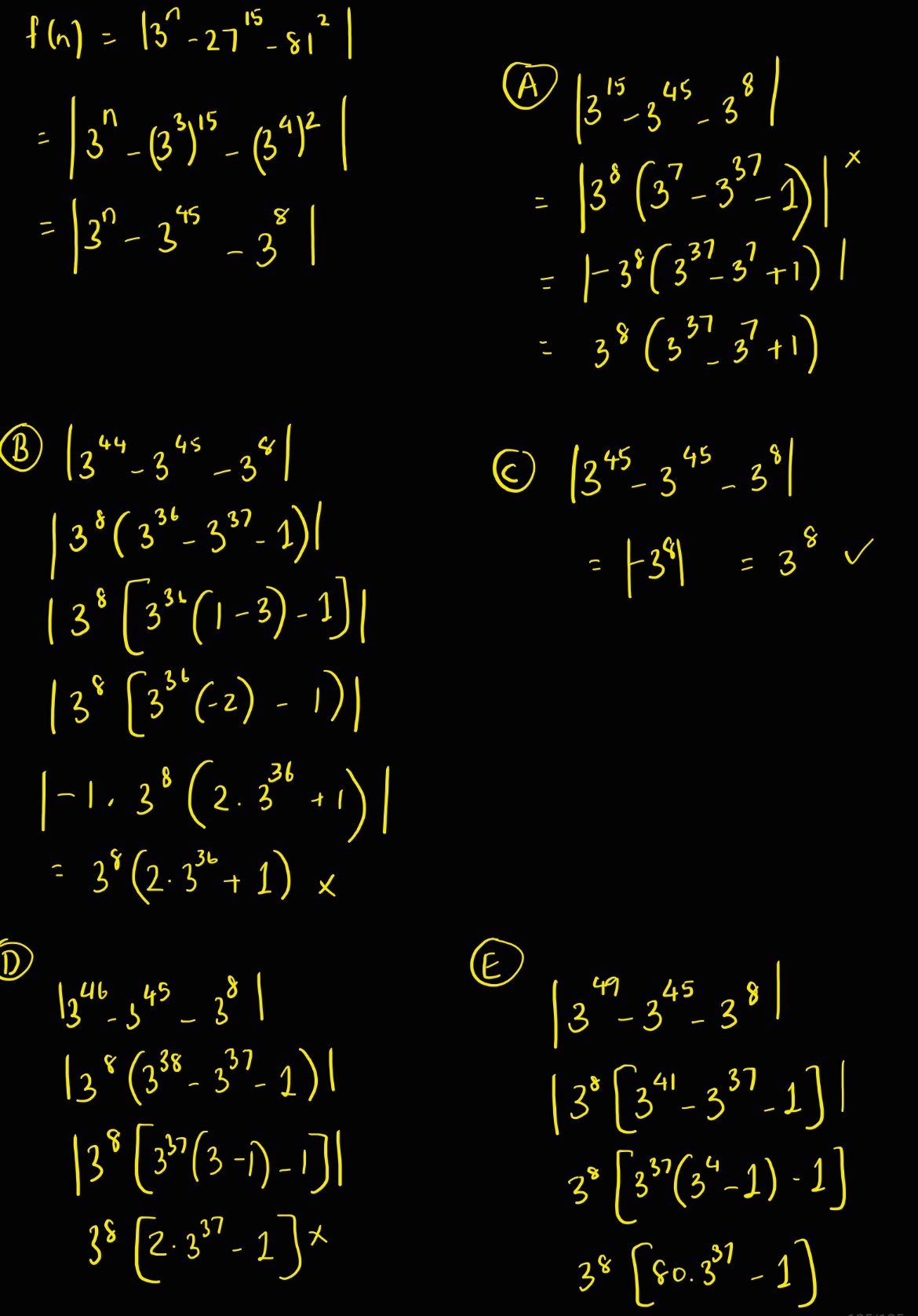
And in this case, it's the fact that EVERYTHING can simplified to the powers of 3. So before we go on to the options, let's do that for this big bad equation.
3^n - We're good here.
27^15 = 3^15*3^15*3^15 = 3^45
81^2 = 3^2*3^2*3^2*3*2 =3^8.
So, we just need the smallest value when we substituted the function (n) with a number while solving
|3^n - 3^45 - 3^8|Now, what else can we see here that the equation tells us clearly? That we take absolute values - | | - right?
This just means, the further down we go into the negatives, the larger the value will get. And, naturally, the further up we go into the positives, the larger the value. We just need a value that's the closest distance to 0 on a number line.
Now, we can check out the options.
A: This is the smallest of the powers, but that's exactly why this is not the choice. If we deduct exponentially higher powers of 3 - 3^45 and 3^8 - from 3^15, we'll go deep in the negative territory.
B: So, we can first look at 3^44 - 3^45. This will take us, although to a greater degree, well down the negatives, as that just one difference of powers at the ^45 and ^45 is in trillions, if not quadrillions. So, clearly, this won't work.
For the same reasons, we can eliminate D & E. Try however you want, the values to these will be massive.
C, clearly, is the right answer in how, when we deduct 3^45 with 3^45, we're at a solid 0, from which 3^8, which is really nothing more than a 4-digit number, will deduct, and lead to answer that's exponentially smaller than the others.Bunuel