Last visit was: 26 Apr 2026, 06:59 It is currently 26 Apr 2026, 06:59
Close
GMAT Club Daily Prep
Thank you for using the timer - this advanced tool can estimate your performance and suggest more practice questions. We have subscribed you to Daily Prep Questions via email.

Customized
for You

we will pick new questions that match your level based on your Timer History

Track
Your Progress

every week, we’ll send you an estimated GMAT score based on your performance

Practice
Pays

we will pick new questions that match your level based on your Timer History
Not interested in getting valuable practice questions and articles delivered to your email? No problem, unsubscribe here.
Close
Request Expert Reply
Confirm Cancel
User avatar
Bunuel
User avatar
Math Expert
Joined: 02 Sep 2009
Last visit: 26 Apr 2026
Posts: 109,837
Own Kudos:
Given Kudos: 105,895
Products:
Expert
Expert reply
Active GMAT Club Expert! Tag them with @ followed by their username for a faster response.
Posts: 109,837
Kudos: 811,372
 [62]
5
Kudos
Add Kudos
57
Bookmarks
Bookmark this Post
Most Helpful Reply
User avatar
Abhishek009
User avatar
Board of Directors
Joined: 11 Jun 2011
Last visit: 17 Dec 2025
Posts: 5,902
Own Kudos:
5,456
 [20]
Given Kudos: 463
Status:QA & VA Forum Moderator
Location: India
GPA: 3.5
WE:Business Development (Commercial Banking)
Posts: 5,902
Kudos: 5,456
 [20]
5
Kudos
Add Kudos
15
Bookmarks
Bookmark this Post
User avatar
firas92
User avatar
Current Student
Joined: 16 Jan 2019
Last visit: 02 Dec 2024
Posts: 616
Own Kudos:
1,766
 [7]
Given Kudos: 142
Location: India
Concentration: General Management
GMAT 1: 740 Q50 V40
WE:Sales (Other)
Products:
GMAT 1: 740 Q50 V40
Posts: 616
Kudos: 1,766
 [7]
7
Kudos
Add Kudos
Bookmarks
Bookmark this Post
General Discussion
User avatar
sujoykrdatta
Joined: 26 Jun 2014
Last visit: 25 Apr 2026
Posts: 587
Own Kudos:
1,191
 [6]
Given Kudos: 14
Status:Mentor & Coach | GMAT Q51 | CAT 99.98
GMAT 1: 740 Q51 V39
Expert
Expert reply
GMAT 1: 740 Q51 V39
Posts: 587
Kudos: 1,191
 [6]
2
Kudos
Add Kudos
4
Bookmarks
Bookmark this Post
Question:
Two workers A and B are engaged to do a work. A working alone takes 8 hours more to complete the job than if both worked together. If B worked alone, he would need 4.5 hours more to complete the job than they both working together. What time would they take to do the work together?


Solution:
Let A and B together take t hours to complete the work.
Thus, time taken by A = (t + 8) hrs and time taken by B = (t + 4.5) hrs

Thus, we can say that:
Work done by (A and B) in t hours = Work done by A in (t + 8) hours = Total work

=> (Work done by A in t hrs) + (Work done by B in t hrs) = (Work done by A in t hrs) + (Work done by A in 8 hrs)

Cancelling the (Work done by A in t hrs) from both sides:
(Work done by B in t hrs) = (Work done by A in 8 hrs)

=> Work done by B in 1 hr = Work done by A in (8/t) hrs ... (i)


Similarly, we have:
Work done by (A and B) in t hours = Work done by B in (t + 4.5) hours = Total work
=> (Work done by A in t hrs) + (Work done by B in t hrs) = (Work done by B in t hrs) + (Work done by B in 4.5 hrs)

Cancelling the (Work done by B in t hrs) from both sides:
(Work done by A in t hrs) = (Work done by B in 4.5 hrs)
=> Work done by B in 1 hr = Work done by A in (t/4.5) hrs ... (ii)

Thus, from (i) and(ii):

8/t = t/4.5

=> \(t^2 = 36\)
=> t = 6 hrs

Answer C


Alternate approach
Let time taken by A and B together be t hours
Thus, time taken by A = (t + 8) hrs and time taken by B = (t + 4.5) hrs

thus, equating work done by A and B in 1 hour:
1/(t + 8) + 1/(t + 4.5) = 1/t

Solving, we get: t = 6 hours
Answer C
User avatar
exc4libur
Joined: 24 Nov 2016
Last visit: 22 Mar 2022
Posts: 1,680
Own Kudos:
1,469
 [1]
Given Kudos: 607
Location: United States
Posts: 1,680
Kudos: 1,469
 [1]
Kudos
Add Kudos
Bookmarks
Bookmark this Post
Bunuel
Two workers A and B are engaged to do a work. A working alone takes 8 hours more to complete the job than if both worked together. If B worked alone, he would need 4.5 hours more to complete the job than they both working together. What time would they take to do the work together ?

A. 4 hours
B. 5 hours
C. 6 hours
D. 7 hours
E. 8 hours

r=w/t

(a+b)=1/t
a=1/t+8
b=1/t+4.5
(1/t+8)+(1/t+4.5)=1/t
2t^2+12.5t=t^2+12.5t+36
t^2=36 (t>0) t=6

Ans (C)
User avatar
TheNightKing
Joined: 18 Dec 2017
Last visit: 20 Mar 2024
Posts: 1,124
Own Kudos:
Given Kudos: 421
Location: United States (KS)
GMAT 1: 600 Q46 V27
GMAT 1: 600 Q46 V27
Posts: 1,124
Kudos: 1,381
Kudos
Add Kudos
Bookmarks
Bookmark this Post
Quote:


A short little formula exists which can solve it in 10 secs -

\(\sqrt{8*4.5}\)

\(= \sqrt{36}\)

\(= 6\) , Answer must be (C)

Abhishek009

Any theory or links on how this is achievable and in what conditions it usually works?

Thank you!
User avatar
ScottTargetTestPrep
User avatar
Target Test Prep Representative
Joined: 14 Oct 2015
Last visit: 26 Apr 2026
Posts: 22,286
Own Kudos:
26,537
 [1]
Given Kudos: 302
Status:Founder & CEO
Affiliations: Target Test Prep
Location: United States (CA)
Expert
Expert reply
Active GMAT Club Expert! Tag them with @ followed by their username for a faster response.
Posts: 22,286
Kudos: 26,537
 [1]
1
Kudos
Add Kudos
Bookmarks
Bookmark this Post
Bunuel
Two workers A and B are engaged to do a work. A working alone takes 8 hours more to complete the job than if both worked together. If B worked alone, he would need 4.5 hours more to complete the job than they both working together. What time would they take to do the work together ?

A. 4 hours
B. 5 hours
C. 6 hours
D. 7 hours
E. 8 hours


Are You Up For the Challenge: 700 Level Questions

Let’s let n = the number of hours it takes to complete the job when A and B work together; thus, their combined rate is 1/n. Since A alone takes 8 hours more than if they work together, then A’s rate is 1/(n + 8). And since B alone takes 4.5 hours more than if they work together, then B’s rate is 1/(n + 4.5).

Thus, , we can create the rate equation:

1/(n + 8) + 1/(n + 4.5) = 1/n

Multiplying by n(n + 8)(n + 4.5), we have:

n(n + 4.5) + n(n + 8) = (n + 8)(n + 4.5)

n^2 + 4.5n + n^2 + 8n = n^2 + 4.5n + 8n + 36

2n^2 + 12.5n = n^2 + 12.5n + 36

n^2 = 36

n = 6 or -6

Since n can’t be negative, n = 6.

Answer: C
User avatar
Abhishek009
User avatar
Board of Directors
Joined: 11 Jun 2011
Last visit: 17 Dec 2025
Posts: 5,902
Own Kudos:
5,456
 [6]
Given Kudos: 463
Status:QA & VA Forum Moderator
Location: India
GPA: 3.5
WE:Business Development (Commercial Banking)
Posts: 5,902
Kudos: 5,456
 [6]
Kudos
Add Kudos
6
Bookmarks
Bookmark this Post
TheNightKing
Quote:


A short little formula exists which can solve it in 10 secs -

\(\sqrt{8*4.5}\)

\(= \sqrt{36}\)

\(= 6\) , Answer must be (C)

Abhishek009

Any theory or links on how this is achievable and in what conditions it usually works?

Thank you!

RESPONDING TO A PM IN THIS REGARD -

Quote:
Two workers A and B are engaged to do a work. A working alone takes a hours more to complete the job than if both worked together. If B worked alone, he would need b hours more to complete the job than they both working together. What time would they take to do the work together ?

Time required to complete the task will be \(\sqrt{ab}\)

It can be applied to all such cases without any restriction !!
User avatar
Jihyo
Joined: 01 Apr 2021
Last visit: 06 Mar 2022
Posts: 53
Own Kudos:
Given Kudos: 166
Posts: 53
Kudos: 221
Kudos
Add Kudos
Bookmarks
Bookmark this Post
let us assume the time taken to do the work together = x hours


Time taken by A to do the work alone = x+8 hours
Time taken by B to do the work alone =x+4.5 hours

L.C.M=(x+8)(x+4.5)=TOTAL WORK
Rate of A = x+4.5 part of work per hour
Rate of B= x+8 part of work per hour
Rate of A & B working together= (x+4.5+x+8)=(2x+12.5) part of work per hour

RATE*TIME TAKEN=TOTAL WORK
=>(2x+12.5)*x=(x+8)(x+4.5)
=>x^2=36
=>x=6

Answer:6 hours.
User avatar
Kinshook
User avatar
Major Poster
Joined: 03 Jun 2019
Last visit: 25 Apr 2026
Posts: 5,987
Own Kudos:
Given Kudos: 163
Location: India
GMAT 1: 690 Q50 V34
WE:Engineering (Transportation)
Products:
GMAT 1: 690 Q50 V34
Posts: 5,987
Kudos: 5,860
Kudos
Add Kudos
Bookmarks
Bookmark this Post
Given:
1. Two workers A and B are engaged to do a work.
2. A working alone takes 8 hours more to complete the job than if both worked together.
3. If B worked alone, he would need 4.5 hours more to complete the job than they both working together.

Asked: What time would they take to do the work together ?

Let us assume that they take x hours working together to complete the job.

A working alone takes 8 hours more to complete the job than if both worked together.
A takes (x+8) hours to complete the job.

If B worked alone, he would need 4.5 hours more to complete the job than they both working together.
B takes (x+4.5) hours to complete the job.

They take x hours to complete the job together.
1/(x+8) + 1/(x+4.5) = 1/x
2x^2 + 12.5x = (x+8)(x+4.5) = x^2 + 12.5x + 36
x^2 = 36
x = 6 hours

They will take 6 hours to complete the work together.

IMO C
avatar
krishna_sunder_
Joined: 05 Jan 2024
Last visit: 25 Jan 2026
Posts: 15
Own Kudos:
2
 [1]
Given Kudos: 132
Posts: 15
Kudos: 2
 [1]
1
Kudos
Add Kudos
Bookmarks
Bookmark this Post
­ 
Bunuel sujoykrdatta
­
RATE         *            TIME             =WORK

a+b                          x                 =1
a                              x+8             =1
b                              x+4.5          =1

therefore
(a+b)x = a(x+8) => Bx = 8A    --------------1
the same way
(a+b)x = b(x+4.5) => Ax = 4.5B  ---------------2

multiplying 1 and 2
we get 

(B*x) * (A*x) = (8*A)*(4.5*B)
A*B cancel's out in both sides giving

x*x = 8*4.5
x = 6
 ­
User avatar
HarshavardhanR
Joined: 16 Mar 2023
Last visit: 25 Apr 2026
Posts: 494
Own Kudos:
578
 [2]
Given Kudos: 68
Status:Independent GMAT Tutor
Affiliations: Ex - Director, Subject Matter Expertise at e-GMAT
Products:
Expert
Expert reply
Active GMAT Club Expert! Tag them with @ followed by their username for a faster response.
Posts: 494
Kudos: 578
 [2]
2
Kudos
Add Kudos
Bookmarks
Bookmark this Post



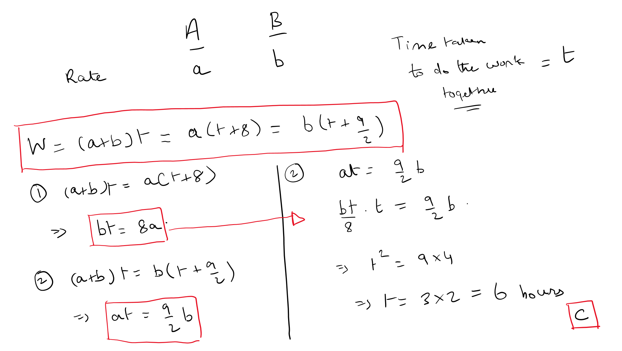
Harsha
Attachment:
GMAT-Club-Forum-lkw3mpl4.png
GMAT-Club-Forum-lkw3mpl4.png [ 192.19 KiB | Viewed 3296 times ]
User avatar
placeat
Joined: 17 Jul 2025
Last visit: 17 Jul 2025
Posts: 1
Posts: 1
Kudos: 0
Kudos
Add Kudos
Bookmarks
Bookmark this Post
root of a.b = root8*4.5 =root 36 =6
Moderators:
Math Expert
109837 posts
Tuck School Moderator
852 posts