Last visit was: 27 Apr 2026, 04:02 It is currently 27 Apr 2026, 04:02
Close
GMAT Club Daily Prep
Thank you for using the timer - this advanced tool can estimate your performance and suggest more practice questions. We have subscribed you to Daily Prep Questions via email.

Customized
for You

we will pick new questions that match your level based on your Timer History

Track
Your Progress

every week, we’ll send you an estimated GMAT score based on your performance

Practice
Pays

we will pick new questions that match your level based on your Timer History
Not interested in getting valuable practice questions and articles delivered to your email? No problem, unsubscribe here.
Close
Request Expert Reply
Confirm Cancel
User avatar
Mascarfi
Joined: 08 May 2015
Last visit: 05 Jul 2024
Posts: 65
Own Kudos:
297
 [6]
Given Kudos: 14
GMAT 1: 630 Q39 V38
GMAT 2: 670 Q44 V38
GMAT 3: 750 Q49 V44
GMAT 3: 750 Q49 V44
Posts: 65
Kudos: 297
 [6]
Kudos
Add Kudos
6
Bookmarks
Bookmark this Post
User avatar
ENGRTOMBA2018
Joined: 20 Mar 2014
Last visit: 01 Dec 2021
Posts: 2,319
Own Kudos:
Given Kudos: 816
Concentration: Finance, Strategy
GMAT 1: 750 Q49 V44
GPA: 3.7
WE:Engineering (Aerospace and Defense)
Products:
GMAT 1: 750 Q49 V44
Posts: 2,319
Kudos: 3,890
Kudos
Add Kudos
Bookmarks
Bookmark this Post
User avatar
GMATinsight
User avatar
Major Poster
Joined: 08 Jul 2010
Last visit: 26 Apr 2026
Posts: 6,977
Own Kudos:
16,926
 [2]
Given Kudos: 128
Status:GMAT/GRE Tutor l Admission Consultant l On-Demand Course creator
Location: India
GMAT: QUANT+DI EXPERT
Schools: IIM (A) ISB '24
GMAT 1: 750 Q51 V41
WE:Education (Education)
Products:
Expert
Expert reply
Schools: IIM (A) ISB '24
GMAT 1: 750 Q51 V41
Posts: 6,977
Kudos: 16,926
 [2]
1
Kudos
Add Kudos
Bookmarks
Bookmark this Post
User avatar
sahil7389
Joined: 03 May 2014
Last visit: 18 Mar 2018
Posts: 42
Own Kudos:
123
 [1]
Given Kudos: 43
Concentration: Operations, Marketing
GMAT 1: 680 Q48 V34
GMAT 2: 700 Q49 V35
GPA: 3.6
WE:Engineering (Energy)
GMAT 2: 700 Q49 V35
Posts: 42
Kudos: 123
 [1]
1
Kudos
Add Kudos
Bookmarks
Bookmark this Post
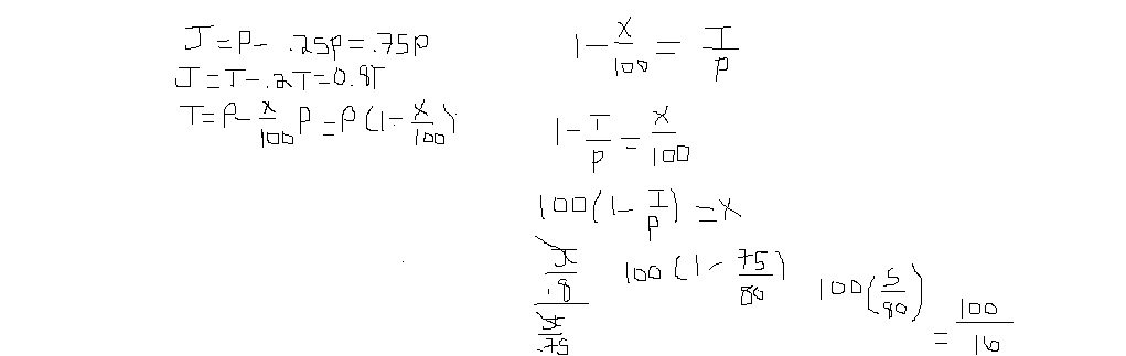
we can directly have relation. .75P=.80T (as these both are values of J)----=> T=75/80 P----1.
we have been given T= P(1-x/100)
so by Putting the value of T from1. we get 75/80 P=P(1-x/100) and from here we get a value of x=6.25.
avatar
OptimusPrepJanielle
Joined: 06 Nov 2014
Last visit: 08 Sep 2017
Posts: 1,776
Own Kudos:
Given Kudos: 23
Expert
Expert reply
Posts: 1,776
Kudos: 1,508
Kudos
Add Kudos
Bookmarks
Bookmark this Post
J is 25% less than P and 20% less than T. T is x% less than P. What is the value of x?

A) 93.5
B) 90
C) 6.75
D) 6.25
E) 2
Attachments

Untitled.jpg
Untitled.jpg [ 33.23 KiB | Viewed 4465 times ]

User avatar
Abhishek009
User avatar
Board of Directors
Joined: 11 Jun 2011
Last visit: 17 Dec 2025
Posts: 5,902
Own Kudos:
5,456
 [1]
Given Kudos: 463
Status:QA & VA Forum Moderator
Location: India
GPA: 3.5
WE:Business Development (Commercial Banking)
Posts: 5,902
Kudos: 5,456
 [1]
Kudos
Add Kudos
1
Bookmarks
Bookmark this Post
Mascarfi
J is 25% less than P and 20% less than T. T is x% less than P. What is the value of x?

A) 93.5
B) 90
C) 6.75
D) 6.25
E) 2
Let \(P = 100 \); \(J = 75 \) & \(T = 93.75\)

Thus, \(\frac{6.25}{100}*100 = 6.25\)% , Answer must be (D)
User avatar
bumpbot
User avatar
Non-Human User
Joined: 09 Sep 2013
Last visit: 04 Jan 2021
Posts: 38,990
Own Kudos:
Posts: 38,990
Kudos: 1,118
Kudos
Add Kudos
Bookmarks
Bookmark this Post
Automated notice from GMAT Club BumpBot:

A member just gave Kudos to this thread, showing it’s still useful. I’ve bumped it to the top so more people can benefit. Feel free to add your own questions or solutions.

This post was generated automatically.
Moderators:
Math Expert
109927 posts
Tuck School Moderator
852 posts