Last visit was: 24 Apr 2026, 06:20 It is currently 24 Apr 2026, 06:20
Close
GMAT Club Daily Prep
Thank you for using the timer - this advanced tool can estimate your performance and suggest more practice questions. We have subscribed you to Daily Prep Questions via email.

Customized
for You

we will pick new questions that match your level based on your Timer History

Track
Your Progress

every week, we’ll send you an estimated GMAT score based on your performance

Practice
Pays

we will pick new questions that match your level based on your Timer History
Not interested in getting valuable practice questions and articles delivered to your email? No problem, unsubscribe here.
Close
Request Expert Reply
Confirm Cancel
User avatar
AkshdeepS
Joined: 13 Apr 2013
Last visit: 20 Apr 2026
Posts: 1,423
Own Kudos:
1,937
 [9]
Given Kudos: 1,002
Status:It's near - I can see.
Location: India
Concentration: International Business, Operations
GPA: 3.01
WE:Engineering (Real Estate)
Products:
Posts: 1,423
Kudos: 1,937
 [9]
Kudos
Add Kudos
9
Bookmarks
Bookmark this Post
User avatar
Leo8
Joined: 23 May 2017
Last visit: 11 Sep 2020
Posts: 182
Own Kudos:
401
 [3]
Given Kudos: 9
Concentration: Finance, Accounting
WE:Programming (Energy)
Posts: 182
Kudos: 401
 [3]
1
Kudos
Add Kudos
1
Bookmarks
Bookmark this Post
User avatar
generis
User avatar
Senior SC Moderator
Joined: 22 May 2016
Last visit: 18 Jun 2022
Posts: 5,258
Own Kudos:
37,728
 [2]
Given Kudos: 9,464
Expert
Expert reply
Posts: 5,258
Kudos: 37,728
 [2]
2
Kudos
Add Kudos
Bookmarks
Bookmark this Post
User avatar
EgmatQuantExpert
User avatar
e-GMAT Representative
Joined: 04 Jan 2015
Last visit: 02 Apr 2024
Posts: 3,657
Own Kudos:
20,876
 [4]
Given Kudos: 165
Expert
Expert reply
Posts: 3,657
Kudos: 20,876
 [4]
1
Kudos
Add Kudos
3
Bookmarks
Bookmark this Post
QZ
If Adrian mixes 15 liters of saline solution A with 5 liters of a 40% saline solution to get a 25% saline solution, what percent saline is solution A ?

a. 5
b. 10
c. 15
d. 20
e. 25


Ratio in which Solution A and Other solution was mixed = 15: 5 = 3: 1

Saline Concentration of Solution A = x

Saline Concentration of Other Solution = 40%

Overall Concentration = 25%

Using Alligation we can write -

(40-25): ( 25 - x) = 3: 1

15 = 75 - 3x

3x = 60

x = 20%

Correct Answer is Option D.


Regards,
Saquib
e-GMAT
Quant Expert
User avatar
gracie
Joined: 07 Dec 2014
Last visit: 11 Oct 2020
Posts: 1,028
Own Kudos:
Given Kudos: 27
Posts: 1,028
Kudos: 2,022
Kudos
Add Kudos
Bookmarks
Bookmark this Post
QZ
If Adrian mixes 15 liters of saline solution A with 5 liters of a 40% saline solution to get a 25% saline solution, what percent saline is solution A ?

a. 5
b. 10
c. 15
d. 20
e. 25

let x=saline % of A
15*x+5*.4=20*.25
x=1/5=20%
D
User avatar
ScottTargetTestPrep
User avatar
Target Test Prep Representative
Joined: 14 Oct 2015
Last visit: 23 Apr 2026
Posts: 22,283
Own Kudos:
Given Kudos: 302
Status:Founder & CEO
Affiliations: Target Test Prep
Location: United States (CA)
Expert
Expert reply
Active GMAT Club Expert! Tag them with @ followed by their username for a faster response.
Posts: 22,283
Kudos: 26,534
Kudos
Add Kudos
Bookmarks
Bookmark this Post
AkshdeepS
If Adrian mixes 15 liters of saline solution A with 5 liters of a 40% saline solution to get a 25% saline solution, what percent saline is solution A ?

a. 5
b. 10
c. 15
d. 20
e. 25

Let solution A be an x% saline solution; we can create the equation:

15(x/100) + 5(0.4) = 0.25(15 + 5)

15x/100 + 2 = 5

15x/100 = 3

15x = 300

x = 20

Answer: D
avatar
pearljiandani
Joined: 21 Oct 2019
Last visit: 03 Jul 2024
Posts: 23
Own Kudos:
Given Kudos: 22
Location: India
GMAT 1: 720 Q49 V39
GPA: 3.64
GMAT 1: 720 Q49 V39
Posts: 23
Kudos: 9
Kudos
Add Kudos
Bookmarks
Bookmark this Post
VeritasKarishma
If I solve this with your method, I'm not getting the correct answer -

w1/w2 = a2 - Avg / Avg - a1

15/5 = 40-25 / 25-x

3 = 20/25-x

75 - 3x = 20

x = 55/3 which is 18 point something but not 20. Can you please explain where I'm going wrong?
User avatar
KarishmaB
Joined: 16 Oct 2010
Last visit: 23 Apr 2026
Posts: 16,442
Own Kudos:
Given Kudos: 485
Location: Pune, India
Expert
Expert reply
Active GMAT Club Expert! Tag them with @ followed by their username for a faster response.
Posts: 16,442
Kudos: 79,401
Kudos
Add Kudos
Bookmarks
Bookmark this Post
pearljiandani
VeritasKarishma
If I solve this with your method, I'm not getting the correct answer -

w1/w2 = a2 - Avg / Avg - a1

15/5 = 40-25 / 25-x

3 = 20/25-x

75 - 3x = 20

x = 55/3 which is 18 point something but not 20. Can you please explain where I'm going wrong?

Calculation error.

40 - 25 = 15
Correct it to get x = 20
User avatar
CrackverbalGMAT
User avatar
Major Poster
Joined: 03 Oct 2013
Last visit: 24 Apr 2026
Posts: 4,846
Own Kudos:
Given Kudos: 226
Affiliations: CrackVerbal
Location: India
Expert
Expert reply
Posts: 4,846
Kudos: 9,182
Kudos
Add Kudos
Bookmarks
Bookmark this Post
Let A be a y% saline solution.
Thus 15(y/100) + 5(0.4) = 0.25(15+5)
=>15y/100 = 3
=> y =20 (D)

Hope this helps. Keep working :)
User avatar
kop18
Joined: 30 Sep 2020
Last visit: 09 Jan 2025
Posts: 87
Own Kudos:
Given Kudos: 98
GMAT 1: 610 Q40 V35
GMAT 1: 610 Q40 V35
Posts: 87
Kudos: 22
Kudos
Add Kudos
Bookmarks
Bookmark this Post
I would use the mixture/allegation concept here.

20---------40 (Already given)
-----25-------(Avg given)
15----------5 (both nos given)

The subtraction in mixture/allegation should always subtract the higher value from the smaller value to give the resultant. We must get a positive ratio down because the items in the third line represent the actual weights. So we need to ensure that we get a positive value in the 3rd line. The 1st line must always be populated by "per cents" "per kg" value etc.

Hence, 25-5=20.
User avatar
youcouldsailaway
Joined: 08 Nov 2022
Last visit: 07 Feb 2024
Posts: 63
Own Kudos:
Given Kudos: 57
Location: India
Concentration: Finance, Entrepreneurship
GMAT 1: 590 Q37 V34
GMAT 2: 660 Q40 V40
GPA: 3
GMAT 2: 660 Q40 V40
Posts: 63
Kudos: 54
Kudos
Add Kudos
Bookmarks
Bookmark this Post
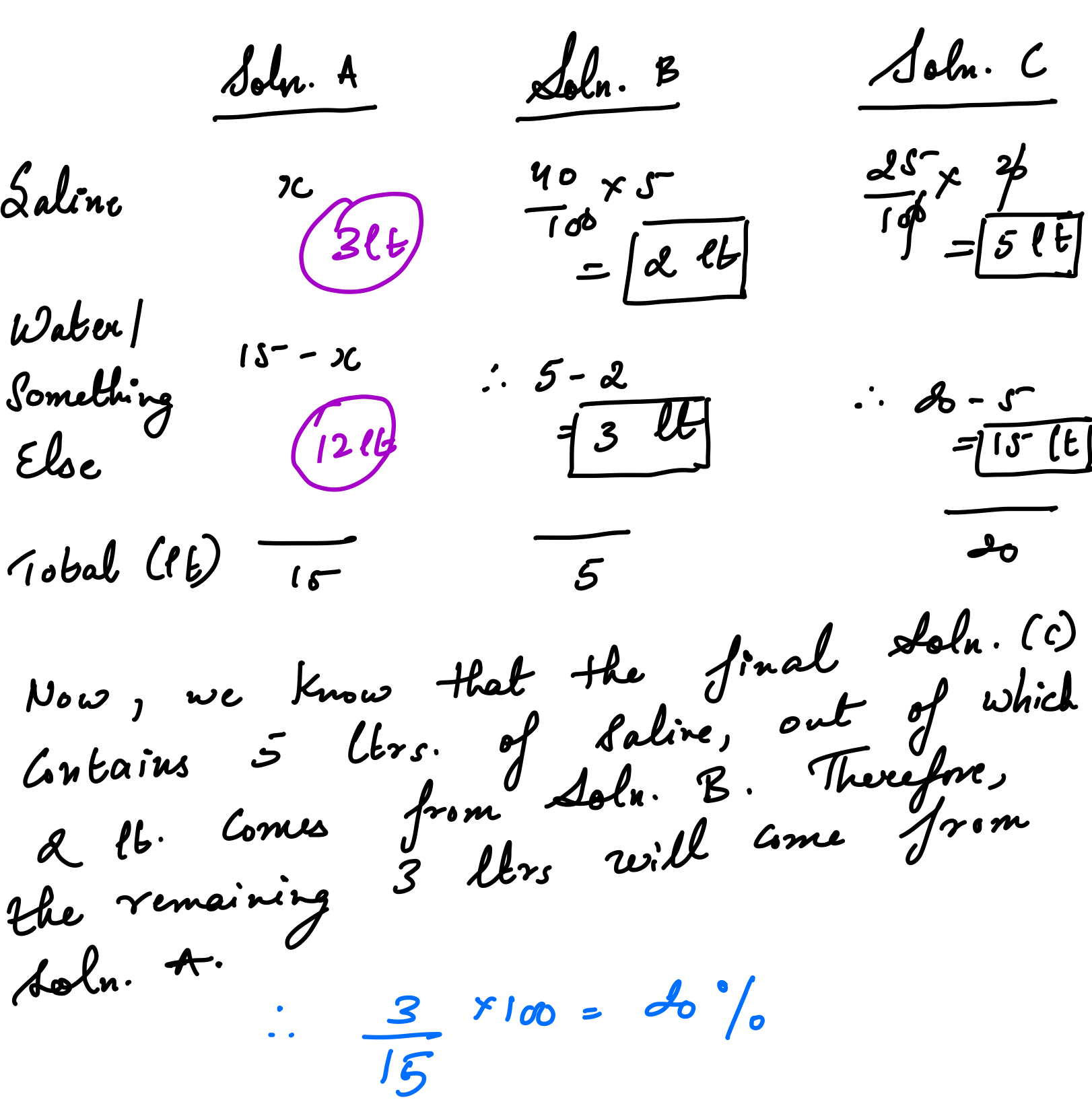
We can solve this using the mixture table. Since we know the final solution contains 5 lts of saline (25% of 20 lts), we can figure out the absolute value of saline in soln. B and then the remainder saline, would be coming from sol. A.
Attachments

File comment: Answer using table
image.png
image.png [ 282.06 KiB | Viewed 1969 times ]

Moderators:
Math Expert
109813 posts
Tuck School Moderator
853 posts