Last visit was: 22 Apr 2026, 18:55 It is currently 22 Apr 2026, 18:55
Close
GMAT Club Daily Prep
Thank you for using the timer - this advanced tool can estimate your performance and suggest more practice questions. We have subscribed you to Daily Prep Questions via email.

Customized
for You

we will pick new questions that match your level based on your Timer History

Track
Your Progress

every week, we’ll send you an estimated GMAT score based on your performance

Practice
Pays

we will pick new questions that match your level based on your Timer History
Not interested in getting valuable practice questions and articles delivered to your email? No problem, unsubscribe here.
Close
Request Expert Reply
Confirm Cancel
User avatar
Bunuel
User avatar
Math Expert
Joined: 02 Sep 2009
Last visit: 22 Apr 2026
Posts: 109,754
Own Kudos:
Given Kudos: 105,823
Products:
Expert
Expert reply
Active GMAT Club Expert! Tag them with @ followed by their username for a faster response.
Posts: 109,754
Kudos: 810,672
 [24]
1
Kudos
Add Kudos
22
Bookmarks
Bookmark this Post
avatar
Prateek1793
Joined: 08 Feb 2019
Last visit: 27 Nov 2021
Posts: 8
Own Kudos:
13
 [4]
Given Kudos: 11
Location: India
Concentration: Finance, International Business
GPA: 3.8
Posts: 8
Kudos: 13
 [4]
3
Kudos
Add Kudos
1
Bookmarks
Bookmark this Post
User avatar
Timebomb
Joined: 29 Nov 2016
Last visit: 07 Oct 2020
Posts: 179
Own Kudos:
67
 [2]
Given Kudos: 446
Location: India
GMAT 1: 750 Q50 V42
Kudos
Add Kudos
1
Bookmarks
Bookmark this Post
User avatar
CrackverbalGMAT
User avatar
Major Poster
Joined: 03 Oct 2013
Last visit: 22 Apr 2026
Posts: 4,846
Own Kudos:
9,180
 [2]
Given Kudos: 226
Affiliations: CrackVerbal
Location: India
Expert
Expert reply
Posts: 4,846
Kudos: 9,180
 [2]
Kudos
Add Kudos
2
Bookmarks
Bookmark this Post
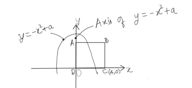
This is an excellent question which tests you on multiple concepts – quadratic equations, shifting of graphs and co-ordinate geometry. So, let’s quickly review some of these concepts.

The standard graph for a quadratic equation of the form a\(x^2\) + bx + c = 0, is a parabola whose axis is a vertical line . When a>0, we get an upright parabola, whereas, when a<0, the parabola is inverted.
So,the standard graph of \(x^2\) = 0 is a parabola whose roots are the co-ordinates of the origin. Therefore, -\(x^2\) = 0 is an inverted parabola with the same roots as above.

If we need the graph of f(x) + a, where a is a constant, the graph of the function f(x) is to be shifted a units upwards. Similarly, the graph of f(x) – a can be obtained by shifting the graph of f(x), a units downwards.
The graph given to us is y = a – \(x^2\). We can rewrite this as –\(x^2\) + a. This means, the graph of y= -\(x^2\) has been shifted ‘a’ units upwards, which is corroborated by the diagram as well.

If any point lies on a line/curve, the co-ordinates of the point will satisfy the equation of the line/curve on substitution.


We know that the area of the square is 16 units. Therefore, AB = BC = 4 units.

Let the co-ordinates of point B be (p,q). Knowing that BC = 4 units, we can conclude that q = 4. So, the co-ordinates of B can now be written as (p,4).

Since B and C are on the same vertical line, their x co-ordinates will be the same. Since C is ON the x-axis, we can conclude that the co-ordinates of C are (p,0).

Let the co-ordinates of D be (r,0). Then, CD = √\((p-r)^2\).

But CD = AB = 4.

Therefore, √\((p-r)^2\) = 4 which means (p-r) = 4. This equation can be satisfied in many ways. For example:
p = 2 and r = -2 OR

p = 4 and r = 0.

But, what is to be noted is that y = -\(x^2\) is a parabola with y-axis as its axis. If we take the case of p = 4 and r = 0, we are taking one side of the square to be lying on the y-axis and the other outside the parabola. In this case, the vertices A and B will not be lying on the curve. Something like this:

Attachment:
21st June 2019 - Reply 1.JPG
21st June 2019 - Reply 1.JPG [ 17.91 KiB | Viewed 10835 times ]

So, we can say for sure that p = 2 and r = -2 is the only combination that lets A and B be on the curve. Now, we can say that the co-ordinates of B are (2,4).

Substituting this in the equation of the curve, we have,
4 = -\((2)^2\) + a
Therefore, a = 4 + 4 = 8.
The correct answer option is D.

Hope this helps!
User avatar
Kinshook
User avatar
Major Poster
Joined: 03 Jun 2019
Last visit: 22 Apr 2026
Posts: 5,985
Own Kudos:
Given Kudos: 163
Location: India
GMAT 1: 690 Q50 V34
WE:Engineering (Transportation)
Products:
GMAT 1: 690 Q50 V34
Posts: 5,985
Kudos: 5,858
Kudos
Add Kudos
Bookmarks
Bookmark this Post
Bunuel

The figure above shows the graph of y = a − x^2 for some constant a. If the square ABCD intersects the graph at points A and B and the area of the square is 16, what is the value of a ?

(A) 2
(B) 4
(C) 6
(D) 8
(E) 10

Attachment:
2019-04-17_1143.png

Given: The figure above shows the graph of y = a − x^2 for some constant a.
Asked: If the square ABCD intersects the graph at points A and B and the area of the square is 16, what is the value of a ?

Coordinate of point D:
x = 2
y = 2x = 4
so that square has area = 16

Graph of y = a - x^2 at point D:
y = a - 2^2 = 4; a = 8

IMO D
User avatar
Advait01
Joined: 09 Nov 2024
Last visit: 22 Apr 2026
Posts: 92
Own Kudos:
Given Kudos: 81
GMAT Focus 1: 645 Q81 V86 DI80
Products:
GMAT Focus 1: 645 Q81 V86 DI80
Posts: 92
Kudos: 2
Kudos
Add Kudos
Bookmarks
Bookmark this Post
Since the pt. A and B lie on the graph, it means these points should satisfy the equation y = a-x^2.
Thus, the y coordinate of both A and B is 4. Why? Since the square area is 16, therefore the side length is 4.
Thus, Pt A is (-2,4) and Pt B is (2,4).
Putting these values in the above equation y= a-x^2, we get a = 8.

Hence, D
Moderators:
Math Expert
109754 posts
Tuck School Moderator
853 posts