Last visit was: 22 Apr 2026, 21:34 It is currently 22 Apr 2026, 21:34
Close
GMAT Club Daily Prep
Thank you for using the timer - this advanced tool can estimate your performance and suggest more practice questions. We have subscribed you to Daily Prep Questions via email.

Customized
for You

we will pick new questions that match your level based on your Timer History

Track
Your Progress

every week, we’ll send you an estimated GMAT score based on your performance

Practice
Pays

we will pick new questions that match your level based on your Timer History
Not interested in getting valuable practice questions and articles delivered to your email? No problem, unsubscribe here.
Close
Request Expert Reply
Confirm Cancel
User avatar
smcgrath12
Joined: 28 Jun 2004
Last visit: 11 Jun 2005
Posts: 61
Own Kudos:
742
 [477]
Posts: 61
Kudos: 742
 [477]
19
Kudos
Add Kudos
455
Bookmarks
Bookmark this Post
Most Helpful Reply
User avatar
smcgrath12
Joined: 28 Jun 2004
Last visit: 11 Jun 2005
Posts: 61
Own Kudos:
742
 [250]
Posts: 61
Kudos: 742
 [250]
169
Kudos
Add Kudos
80
Bookmarks
Bookmark this Post
User avatar
KarishmaB
Joined: 16 Oct 2010
Last visit: 21 Apr 2026
Posts: 16,439
Own Kudos:
79,389
 [82]
Given Kudos: 484
Location: Pune, India
Expert
Expert reply
Active GMAT Club Expert! Tag them with @ followed by their username for a faster response.
Posts: 16,439
Kudos: 79,389
 [82]
44
Kudos
Add Kudos
37
Bookmarks
Bookmark this Post
avatar
PareshGmat
Joined: 27 Dec 2012
Last visit: 10 Jul 2016
Posts: 1,531
Own Kudos:
8,271
 [40]
Given Kudos: 193
Status:The Best Or Nothing
Location: India
Concentration: General Management, Technology
WE:Information Technology (Computer Software)
Posts: 1,531
Kudos: 8,271
 [40]
31
Kudos
Add Kudos
9
Bookmarks
Bookmark this Post
Let a man do \(\frac{1}{x}\) work per day and

each woman do \(\frac{1}{y}\) work per day

\(\frac{12}{x} + \frac{16}{y} = \frac{1}{5}............\)(1)
\(\frac{13}{x} +\frac{24}{y} = \frac{1}{4}\) ............ (2)

Multiply (1) by 3 & (2) by 2

\(\frac{36}{x} + \frac{48}{y} = \frac{3}{5}\) ....... (3)

\(\frac{26}{x} + \frac{48}{y} = \frac{1}{2}\) ........ (4)

Equation (3) - (4)

\(\frac{10}{x} = \frac{1}{10}\)

x = 100

y = 200

We require to find z; substituting the values

\(\frac{7}{x}+\frac{10}{y}= \frac{1}{z}\)

\(\frac{7}{100}+ \frac{10}{200} = \frac{1}{z}\)

\(\frac{7}{100}+ \frac{5}{100} = \frac{1}{z}\)

\(\frac{12}{100} = \frac{1}{z}\)

\(z = \frac{100}{12} = 8.33 = Answer\)
General Discussion
User avatar
SigEpUCI
Joined: 25 Jul 2004
Last visit: 11 Oct 2004
Posts: 179
Own Kudos:
34
 [1]
Posts: 179
Kudos: 34
 [1]
Kudos
Add Kudos
1
Bookmarks
Bookmark this Post
If you solve the two equations:

12M + 16W = 5
13M + 24W = 4

and then plug M and W into

7M + 10W = X,

X should be the amount of days.

Thats too much math for me, and the numbers don't look too clean either.
avatar
psal
Joined: 05 Dec 2013
Last visit: 12 Jun 2016
Posts: 25
Own Kudos:
19
 [10]
Given Kudos: 3
Concentration: Technology
GMAT Date: 02-01-2014
GPA: 3.95
WE:Information Technology (Finance: Venture Capital)
Posts: 25
Kudos: 19
 [10]
6
Kudos
Add Kudos
4
Bookmarks
Bookmark this Post
Here is how I solved it:

Create two equations based on the information given. Start from the basics. Each man can do 1/x work per day and each woman can to 1/y work per day. If we have 12 men and 16 women, then in total they can do 12/x work per day and 16/y work per day together. We also know that they can do the work together in 5 days. So in 1 day, how much of the job did they finish? 1/5 or 20%. Repeat this logic to create the second formula.
12/x + 16/y = 1/5
13/x + 24/y = 1/4

Solve for common denominators in each formula:
12y+16x=((xy)^2)/5
13y+24x=((xy)^2)/4

Multiply by denominator of fraction in each formula to get nice numbers. Since both would equal the same variable, make them equal to each other:
60y+80x=52y+96x
8y=16x
y=2x

Plug y=2x into the first equation to get:
12/x+16/2x=1/5
12/x+8/x=1/5
20/x=1/5
x=100

If x=100 and y=2x, y=200

Now in the original equation, it asks us how long 7 men and 10 women can do the work. We can create the following formula, similar to what we did in the first step. This formula tells us that in one day 7 men and 10 women can do X% of the job. We can simply take the reciprocal of the fraction to get the number of days the job will be completed in:
7/x+10/y=1/z (we want to solve for z)
7/100+10/200=1/z
7/100+5/100=1/z
12/100=1/z
z=100/12 or 8.33
User avatar
Bunuel
User avatar
Math Expert
Joined: 02 Sep 2009
Last visit: 22 Apr 2026
Posts: 109,754
Own Kudos:
810,694
 [2]
Given Kudos: 105,825
Products:
Expert
Expert reply
Active GMAT Club Expert! Tag them with @ followed by their username for a faster response.
Posts: 109,754
Kudos: 810,694
 [2]
Kudos
Add Kudos
2
Bookmarks
Bookmark this Post
smcgrath12
If 12 men and 16 women can do a piece of work in 5 days and 13 men and 24 women can do it in 4 days, how long will 7 men and 10 women take to do it?

Similar questions to practice:

it-takes-6-days-for-3-women-and-2-men-working-together-to-82718.html
if-w-women-can-do-a-job-in-d-days-then-how-many-days-will-83771.html
User avatar
GMATinsight
User avatar
Major Poster
Joined: 08 Jul 2010
Last visit: 22 Apr 2026
Posts: 6,976
Own Kudos:
16,901
 [16]
Given Kudos: 128
Status:GMAT/GRE Tutor l Admission Consultant l On-Demand Course creator
Location: India
GMAT: QUANT+DI EXPERT
Schools: IIM (A) ISB '24
GMAT 1: 750 Q51 V41
WE:Education (Education)
Products:
Expert
Expert reply
Schools: IIM (A) ISB '24
GMAT 1: 750 Q51 V41
Posts: 6,976
Kudos: 16,901
 [16]
9
Kudos
Add Kudos
6
Bookmarks
Bookmark this Post
smcgrath12
If 12 men and 16 women can do a piece of work in 5 days and 13 men and 24 women can do it in 4 days, how long will 7 men and 10 women take to do it?

(A) 4.2 days
(B) 6.8 days
(C) 8.3 days
(D) 9.8 days
(E) 10.2 days


Answer: Option C

Please find solution as attached.
Attachments

File comment: www.GMATinsight.com
Sol4.jpg
Sol4.jpg [ 107.01 KiB | Viewed 230735 times ]

avatar
ajdse22
Joined: 17 Aug 2015
Last visit: 30 Nov 2019
Posts: 76
Own Kudos:
88
 [1]
Given Kudos: 196
Posts: 76
Kudos: 88
 [1]
1
Kudos
Add Kudos
Bookmarks
Bookmark this Post
If 12 men and 16 women can do a piece of work in 5 days and 13 men and 24 women can do it in 4 days, how long will 7 men and 10 women take to do it?

(A) 4.2 days
(B) 6.8 days
(C) 8.3 days
(D) 9.8 days
(E) 10.2 days

We can solve this using algebra but as others have noted doing this on GMAT may not be feasible.
So I thought about an intuitive explanation and so forum members let me know if you concur.
So we have 13 Men and 24 Women who together will finish the task in 4 days (per the prompt). Now if we reduce women and men by half. The task is going to take twice the time.
We see that we reduce Men to 7 (reduce by slightly less than half 6/13) and Women to 10 (reduce by slightly more than half 14/24 = 7/12). So my time would have nearly doubled. 9.8 is next nearest to 8 , but that would imply that time required has become 2.5 times. 8.8 is a good guess using this reasoning and turns out to be the correct answer.
User avatar
KarishmaB
Joined: 16 Oct 2010
Last visit: 21 Apr 2026
Posts: 16,439
Own Kudos:
Given Kudos: 484
Location: Pune, India
Expert
Expert reply
Active GMAT Club Expert! Tag them with @ followed by their username for a faster response.
Posts: 16,439
Kudos: 79,389
Kudos
Add Kudos
Bookmarks
Bookmark this Post
ajdse22
If 12 men and 16 women can do a piece of work in 5 days and 13 men and 24 women can do it in 4 days, how long will 7 men and 10 women take to do it?

(A) 4.2 days
(B) 6.8 days
(C) 8.3 days
(D) 9.8 days
(E) 10.2 days

We can solve this using algebra but as others have noted doing this on GMAT may not be feasible.
So I thought about an intuitive explanation and so forum members let me know if you concur.
So we have 13 Men and 24 Women who together will finish the task in 4 days (per the prompt). Now if we reduce women and men by half. The task is going to take twice the time.
We see that we reduce Men to 7 (reduce by slightly less than half 6/13) and Women to 10 (reduce by slightly more than half 14/24 = 7/12). So my time would have nearly doubled. 9.8 is next nearest to 8 , but that would imply that time required has become 2.5 times. 8.8 is a good guess using this reasoning and turns out to be the correct answer.

Nothing wrong with the solution but I would be a little uncomfortable making this approximation. If I know the approximate relation between that the rate of work of men and women, then perhaps I will have an easier time making these assumptions.
User avatar
SVaidyaraman
Joined: 17 Dec 2012
Last visit: 11 Jul 2025
Posts: 566
Own Kudos:
1,833
 [2]
Given Kudos: 20
Location: India
Expert
Expert reply
Posts: 566
Kudos: 1,833
 [2]
2
Kudos
Add Kudos
Bookmarks
Bookmark this Post
smcgrath12
If 12 men and 16 women can do a piece of work in 5 days and 13 men and 24 women can do it in 4 days, how long will 7 men and 10 women take to do it?

(A) 4.2 days
(B) 6.8 days
(C) 8.3 days
(D) 9.8 days
(E) 10.2 days
1. Let us take the same number of days in both the cases, say 20 days
2. In the first case 3 men and 4 women can do the work in 20 days and in the second case 2.6 men and 4.8 women can do the work in 20 days.
3. 0.8 more women does the work of 0.4 less men or 2 women does the work of 1 man.
4. We can find the number of days taken by 1 man and 1 woman as 100 and 200 days
5. So the time taken by 7 men and 10 women is 1/ (7/100+10/200)=8.3 days

Do not mind the decimals if you can reach the solution faster.
User avatar
JeffTargetTestPrep
User avatar
Target Test Prep Representative
Joined: 04 Mar 2011
Last visit: 05 Jan 2024
Posts: 2,974
Own Kudos:
8,710
 [6]
Given Kudos: 1,646
Status:Head GMAT Instructor
Affiliations: Target Test Prep
Expert
Expert reply
Posts: 2,974
Kudos: 8,710
 [6]
3
Kudos
Add Kudos
3
Bookmarks
Bookmark this Post
smcgrath12
If 12 men and 16 women can do a piece of work in 5 days and 13 men and 24 women can do it in 4 days, how long will 7 men and 10 women take to do it?

(A) 4.2 days
(B) 6.8 days
(C) 8.3 days
(D) 9.8 days
(E) 10.2 days

We can let the time it takes 1 man to finish the work = m, and thus the rate of 1 man = 1/m. Likewise, we can let the time it takes 1 woman to finish the work = w, and thus the rate of 1 woman = 1/w.

Thus, the combined rate of 12 men and 16 women is 12/m + 16/w. Since they can finish the work in 5 days, their combined rate is also equal to 1/5. Thus, we have:

12/m + 16/w = 1/5

Multiplying both sides of the equation by 5mw, we have:

60w + 80m = mw

Similarly, the combined rate of 13 men and 24 women is 13/m + 24/w. Since they can finish the work in 4 days, their combined rate is also equal to 1/4. Thus, we have:

13/m + 24/w = 1/4

Multiplying both sides of the equation by 4mw, we have:

52w + 96m = mw

So, we have 60w + 80m = 52w + 96m (since they both equal mw).

60w + 80m = 52w + 96m

8w = 16m

w = 2m

We can now substitute w = 2m into the first equation, 12/m + 16/w = 1/5, to solve for m:

12/m + 16/(2m) = 1/5

12/m + 8/m = 1/5

20/m = 1/5

m = 100

Since m = 100 days, w = 200 days. The rate of 1 man is 1/100 and the rate of 1 woman is 1/200. Thus, the rate of 7 men and 10 women is 7/100 + 10/200 = 7/100 + 5/100 = 12/100, and the time for them to finish the same work is 1/(12/100) = 100/12 = 8.3 days.

Answer: C
User avatar
Mo2men
Joined: 26 Mar 2013
Last visit: 09 May 2023
Posts: 2,426
Own Kudos:
Given Kudos: 641
Concentration: Operations, Strategy
Schools: Erasmus (II)
Products:
Schools: Erasmus (II)
Posts: 2,426
Kudos: 1,508
Kudos
Add Kudos
Bookmarks
Bookmark this Post
GMATinsight
smcgrath12
If 12 men and 16 women can do a piece of work in 5 days and 13 men and 24 women can do it in 4 days, how long will 7 men and 10 women take to do it?

(A) 4.2 days
(B) 6.8 days
(C) 8.3 days
(D) 9.8 days
(E) 10.2 days


Answer: Option C

Please find solution as attached.

Dear GMATinsight

I liked you solution. But I do not understand the abbreviation used in the equation compared to other problems in which you used this equation.

In the equation (M*T)/w, I understand 'M' as pure manpower, but it seems you used (12M+16w) as rate multiplied by # of days (5) which work equation and at end Work/Work. I have real confusion about the abbreviations used in the equation and the solution.

Can you elaborate please ?
Thanks in advance
User avatar
GMATinsight
User avatar
Major Poster
Joined: 08 Jul 2010
Last visit: 22 Apr 2026
Posts: 6,976
Own Kudos:
16,901
 [3]
Given Kudos: 128
Status:GMAT/GRE Tutor l Admission Consultant l On-Demand Course creator
Location: India
GMAT: QUANT+DI EXPERT
Schools: IIM (A) ISB '24
GMAT 1: 750 Q51 V41
WE:Education (Education)
Products:
Expert
Expert reply
Schools: IIM (A) ISB '24
GMAT 1: 750 Q51 V41
Posts: 6,976
Kudos: 16,901
 [3]
1
Kudos
Add Kudos
2
Bookmarks
Bookmark this Post
Mo2men
GMATinsight
smcgrath12
If 12 men and 16 women can do a piece of work in 5 days and 13 men and 24 women can do it in 4 days, how long will 7 men and 10 women take to do it?

(A) 4.2 days
(B) 6.8 days
(C) 8.3 days
(D) 9.8 days
(E) 10.2 days


Answer: Option C

Please find solution as attached.

Dear GMATinsight

I liked you solution. But I do not understand the abbreviation used in the equation compared to other problems in which you used this equation.

In the equation (M*T)/w, I understand 'M' as pure manpower, but it seems you used (12M+16w) as rate multiplied by # of days (5) which work equation and at end Work/Work. I have real confusion about the abbreviations used in the equation and the solution.

Can you elaborate please ?
Thanks in advance

Mo2men

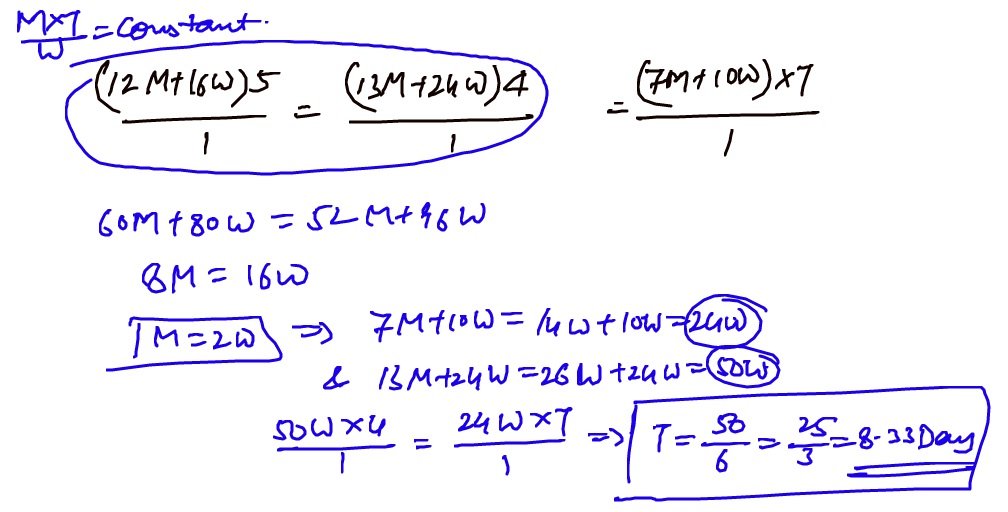
M = manpower/Machine power here total manpower is 12 Men and 16 women hence wrote it as 12M+16W
T = Time that Man/machine power will take to finish the work
W = Amount of work to be finished

M is directly proportional to W and
M is inversely Proportional to T
hence, M = k(W/T)
CONCEPT: \(\frac{(Machine_Power * Time)}{Work} = Constant\)
i.e. \(\frac{(M_1 * T_1)}{W_1} = \frac{(M_2 * T_2)}{W_2}\)

Hope this explains your doubt
User avatar
Mo2men
Joined: 26 Mar 2013
Last visit: 09 May 2023
Posts: 2,426
Own Kudos:
Given Kudos: 641
Concentration: Operations, Strategy
Schools: Erasmus (II)
Products:
Schools: Erasmus (II)
Posts: 2,426
Kudos: 1,508
Kudos
Add Kudos
Bookmarks
Bookmark this Post
GMATinsight


Mo2men

M = manpower/Machine power here total manpower is 12 Men and 16 women hence wrote it as 12M+16W
T = Time that Man/machine power will take to finish the work
W = Amount of work to be finished

M is directly proportional to W and
M is inversely Proportional to T
hence, M = k(W/T)
CONCEPT: \(\frac{(Machine_Power * Time)}{Work} = Constant\)
i.e. \(\frac{(M_1 * T_1)}{W_1} = \frac{(M_2 * T_2)}{W_2}\)

Hope this explains your doubt

Dear GMATinsight

Thanks for your care to reply. I still have confusion. Let me try to explain.

The highlight past is comprise of 12M so it is 12 multiplied by variable M and 16 multiplied by variable W and hence you concluded a relation between them. I do not know why you multiplied by those variables whereas the original formula (as stated by you and your solution in other problems like below) contains only machine/man power without multiplication in any variables). Please look below

https://gmatclub.com/forum/if-it-takes- ... s#p1729381

While I understood your solutions in the link, I could not comprehend what you provided for the question at hand.

I hope you understand where my confusion is.
Thanks in advance
User avatar
GMATinsight
User avatar
Major Poster
Joined: 08 Jul 2010
Last visit: 22 Apr 2026
Posts: 6,976
Own Kudos:
Given Kudos: 128
Status:GMAT/GRE Tutor l Admission Consultant l On-Demand Course creator
Location: India
GMAT: QUANT+DI EXPERT
Schools: IIM (A) ISB '24
GMAT 1: 750 Q51 V41
WE:Education (Education)
Products:
Expert
Expert reply
Schools: IIM (A) ISB '24
GMAT 1: 750 Q51 V41
Posts: 6,976
Kudos: 16,901
Kudos
Add Kudos
Bookmarks
Bookmark this Post
Mo2men
GMATinsight


Mo2men

M = manpower/Machine power here total manpower is 12 Men and 16 women hence wrote it as 12M+16W
T = Time that Man/machine power will take to finish the work
W = Amount of work to be finished

M is directly proportional to W and
M is inversely Proportional to T
hence, M = k(W/T)
CONCEPT: \(\frac{(Machine_Power * Time)}{Work} = Constant\)
i.e. \(\frac{(M_1 * T_1)}{W_1} = \frac{(M_2 * T_2)}{W_2}\)

Hope this explains your doubt

Dear GMATinsight

Thanks for your care to reply. I still have confusion. Let me try to explain.

The highlight past is comprise of 12M so it is 12 multiplied by variable M and 16 multiplied by variable W and hence you concluded a relation between them. I do not know why you multiplied by those variables whereas the original formula (as stated by you and your solution in other problems like below) contains only machine/man power without multiplication in any variables). Please look below

https://gmatclub.com/forum/if-it-takes- ... s#p1729381

While I understood your solutions in the link, I could not comprehend what you provided for the question at hand.

I hope you understand where my confusion is.
Thanks in advance

Mo2men

Let me attempt to answer this again

The relationship that I explained MT/W = Constant is applicable only if the work is of same nature in both scenarios and the Manpower also is of same nature in both scenario only their quantities differ.

When I say 12M+16W then I am considering the manpower of different nature hence it's important for me to use this relationship to determine the ratio of efficiencies of different manpowers.

Similarly if two machines of different types (e.g. old and new) are used together then it's paramount that we convert the machines into equivalent machines of one nature only.

12M refers to efficiency of 12 men and 16W refers to efficiency of 16 women here.
User avatar
fskilnik
Joined: 12 Oct 2010
Last visit: 03 Jan 2025
Posts: 883
Own Kudos:
1,880
 [1]
Given Kudos: 57
Status:GMATH founder
Expert
Expert reply
Posts: 883
Kudos: 1,880
 [1]
1
Kudos
Add Kudos
Bookmarks
Bookmark this Post
smcgrath12
If 12 men and 16 women can do a piece of work in 5 days and 13 men and 24 women can do it in 4 days, how long will 7 men and 10 women take to do it?

(A) 4.2 days
(B) 6.8 days
(C) 8.3 days
(D) 9.8 days
(E) 10.2 days
\(7\,\,{\text{men}}\,\, \cup \,\,\,{\text{10}}\,\,{\text{women}}\,\,\, - \,\,\,1\,\,{\text{work}}\,\,\,\, - \,\,\,?\,\,{\text{days}}\)

Is there a systematic way of dealing with this kind of problem, to be able to do it in a few minutes "naturally"?

Certainly! Let´s do it:

Let "task" be the fraction of this (piece of) work that one man can do in 1 day, hence:

\(1\,\,{\text{man}}\,\,\, - \,\,\,1\,\,{\text{day}}\,\,\,\, - \,\,\,1\,\,{\text{task}}\)

Let k (k>0) be the fraction of the "task" defined above that one woman can do in 1 day (where k may be between 0 and 1, or equal to 1, or greater), hence:

\(1\,\,{\text{woman}}\,\,\, - \,\,\,1\,\,{\text{day}}\,\,\, - k\,\,{\text{tasks}}\,\)

Now the long-lasting benefit of this "structure": everything else becomes easy and "automatic":

\(\left. \begin{gathered}\\
{\text{12}}\,\,{\text{men}} - \,\,\,5\,\,{\text{days}}\,\,\, - \,\,\,\,12 \cdot \,5 \cdot 1\,\,\,{\text{tasks}}\, \hfill \\\\
{\text{16}}\,\,{\text{women}} - \,\,\,5\,\,{\text{days}}\,\,\, - \,\,\,\,16 \cdot \,5 \cdot k\,\,\,{\text{tasks}}\,\,\, \hfill \\ \\
\end{gathered} \right\}\,\,\,\,\,\mathop \Rightarrow \limits^{{\text{question}}\,\,{\text{stem}}} \,\,\,\,5\left( {12 + 16k} \right)\,\,{\text{tasks}}\,\,\,\, = \,\,\,\,1\,\,{\text{work}}\,\,\,\,\left( * \right)\)

\(\left. \begin{gathered}\\
{\text{13}}\,\,{\text{men}} - \,\,\,4\,\,{\text{days}}\,\,\, - \,\,\,\,13 \cdot \,4 \cdot 1\,\,\,{\text{tasks}}\, \hfill \\\\
{\text{24}}\,\,{\text{women}} - \,\,\,4\,\,{\text{days}}\,\,\, - \,\,\,\,24 \cdot \,4 \cdot k\,\,\,{\text{tasks}}\,\,\, \hfill \\ \\
\end{gathered} \right\}\,\,\,\,\,\mathop \Rightarrow \limits^{{\text{question}}\,\,{\text{stem}}} \,\,\,\,4\left( {13 + 24k} \right)\,\,{\text{tasks}}\,\,\,\, = \,\,\,\,1\,\,{\text{work}}\,\,\,\,\left( {**} \right)\)

\(\left( * \right) = \left( {**} \right)\,\,\,\,\,\, \Rightarrow \,\,\,\,\,5\left( {12 + 16k} \right) = 4\left( {13 + 24k} \right)\,\,\,\,\, \Rightarrow \,\,\,\,\,k = \frac{1}{2}\)

\(?\,\,\,\,:\,\,\,\,\,\left. \begin{gathered}\\
\boxed{{\text{7}}\,\,{\text{men}}} - \,\,\,1\,\,{\text{day}}\,\,\, - \,\,\,\,7\,\,\,{\text{tasks}}\, \hfill \\\\
\boxed{{\text{10}}\,\,{\text{women}}} - \,\,\,1\,\,{\text{day}}\,\,\, - \,\,\,\,10 \cdot k = 5\,\,\,{\text{tasks}}\,\,\, \hfill \\ \\
\end{gathered} \right\}\,\,\,\,\,\mathop \Rightarrow \limits^{\boxed{{\text{FOCUSED - GROUP}}}} \,\,\,\,\frac{{12\,\,{\text{tasks}}}}{{1\,\,\,{\text{day}}}}\,\,\,\,\left( {***} \right)\)

\(\left( * \right)\,\,\,\,\, \Rightarrow \,\,\,\,\,5\left( {12 + 16 \cdot \frac{1}{2}} \right) = 100\,\,{\text{tasks}}\,\,{\text{ = }}\,\,{\text{1}}\,\,{\text{work}}\,\)

And we finish in "high style", using UNITS CONTROL, one of the most powerful tools of our method!

\(\left( {***} \right)\,\,\,\,?\,\,\, = \,\,\,100\,\,{\text{tasks}}\,\,\,\,\left( {\frac{{1\,\,\,\,{\text{day}}}}{{12\,\,{\text{tasks}}}}\begin{array}{*{20}{c}}\\
\nearrow \\ \\
\nearrow \\
\end{array}} \right)\,\,\,\, = \,\,\,\,\frac{{100}}{{12}} = \frac{{25}}{3} = \frac{{24 + 1}}{3} = 8\frac{1}{3}\,\,\,\,\left[ {{\text{days}}} \right]\)
Obs.: arrows indicate licit converter.



This solution follows the notations and rationale taught in the GMATH method.

Regards,
fskilnik.
User avatar
jaysonbeatty12
Joined: 14 Aug 2018
Last visit: 14 Dec 2023
Posts: 18
Own Kudos:
71
 [4]
Given Kudos: 3
Location: United States (WA)
GMAT 1: 670 Q43 V40
GMAT 2: 750 Q47 V47
GPA: 3.3
WE:Education (Education)
GMAT 2: 750 Q47 V47
Posts: 18
Kudos: 71
 [4]
4
Kudos
Add Kudos
Bookmarks
Bookmark this Post
This is a problem that the testmaker is trying to fool you into completing. You can definitely find the correct answer with math, however for most students this will take way too much time and is fraught with the opportunity for math errors. However, with 45 seconds or so of logic and estimation you can get this down to two possible answers. Strategically, this is a better choice here.

Here is the logic that you need to know:

Twice as many people complete the job in half of the time
Half of the people complete the job in twice of the time.

Pretty simple, right? Let's apply it to this question.

You know that 12 men and 16 women do the job in 5 days. So, 6 men and 8 women do the job in 10 days. Are 7 men and 10 women faster or slower? Well, faster! Eliminate E

You know that 13 men and 24 women do the job in 4 days. So, 6.5 men and 12 women do the job in 8 days. Are 7 men and 10 women faster or slower. While not as exact as the first estimation, probably a bit faster. A and B look pretty unlikely at this point.

So you are down to C and D. Is the answer closer to 8.3 or 9.8? From the 6.5 men and 12 women scenario, probably 8.3, which turns out to be the right answer.

You are likely to get only one or two work equation questions on test day. These questions typically involve a lot of math and are time consuming. Strongly consider opting for a logic approach on these questions. This approach will save you time that you may allocate to other questions.

Take a look at OG2019 PS 88. A very similar logic can be used to quickly eliminate c, d and e.
User avatar
EMPOWERgmatRichC
User avatar
Major Poster
Joined: 19 Dec 2014
Last visit: 31 Dec 2023
Posts: 21,777
Own Kudos:
13,045
 [6]
Given Kudos: 450
Status:GMAT Assassin/Co-Founder
Affiliations: EMPOWERgmat
Location: United States (CA)
GMAT 1: 800 Q51 V49
GRE 1: Q170 V170
Expert
Expert reply
GMAT 1: 800 Q51 V49
GRE 1: Q170 V170
Posts: 21,777
Kudos: 13,045
 [6]
6
Kudos
Add Kudos
Bookmarks
Bookmark this Post
Hi All,

We're told that 12 men and 16 women can do a piece of work in 5 days and 13 men and 24 women can do it in 4 days. We're asked how long it will take 7 men and 10 women to complete that same task. This question can be approached in a couple of different ways (some of which involve a lot of calculations). The answer choices are sufficiently 'spread out' that you can use a bit of 'ratio math' and a little logic to get to the correct answer.

We're going to focus on just the first piece of information: it takes 12 men and 16 women a total of 5 days to complete a task. If you were to DOUBLE the number of workers, then you would HALVE the amount of time (re: 24 men and 32 women would take 2.5 days to complete the task). If you were to HALVE the number of workers, then you would DOUBLE the amount of time that it takes to complete the task:

6 men and 8 women would take a total of 10 days to complete a task.

If we HALVE the number of workers again, we would again DOUBLE the amount of time needed to complete the task:

3 men and 4 women would take a total of 20 days to complete a task.

We're asked how long it would take 7 men and 10 women to complete that task. If we multiply the above 'work information' by 2.5, we get...

(2.5)(3) men and (2.5)(4 women) would take a total of 20/2.5 days to complete a task...
7.5 men and 10 women would take a total of 8 days to complete a task.
Notice how this is almost the exact question we were asked to solve for. The difference is that we're including an extra "1/2 of a man" in this calculation. With just 7 men (instead of 7.5 men), we would need slightly more than 8 days to complete the task. There's only one answer that matches....

Final Answer:

GMAT assassins aren't born, they're made,
Rich
User avatar
vv65
Joined: 01 Mar 2015
Last visit: 21 Apr 2026
Posts: 536
Own Kudos:
405
 [1]
Given Kudos: 778
Location: India
GMAT 1: 740 Q47 V44
GMAT 1: 740 Q47 V44
Posts: 536
Kudos: 405
 [1]
Kudos
Add Kudos
1
Bookmarks
Bookmark this Post
This is a standard, no-complication work-rate problem.

If you practice enough work-rate problems, you will be able to do this question in less than two minutes: because you will set up the equations quickly, without having to think too much.

Let us say,
A man can do m amount of work in one day,
a woman can do n amount of work in one day

So 12 men and 16 women do (12m + 16n) work in one day.
In 5 days they do 5(12m + 16n) work

We know: 13 men and 24 women do the same work in 4 days
So 5(12m + 16n) = 4(13m + 24n)

We want to know how long 7 men and 10 women would take.
Let that number of days be d

So 5(12m + 16n) = 4(13m + 24n) = d(7m + 10n)

All simple now, start solving :)
60m + 80n = 52m + 96n
8m=16n
m=2n

5( 40n ) = 4( 50n ) = d( 24n )
200n = 24nd
25 = 3d
d = 25/3 = 8.33

Posted from my mobile device
 1   2   
Moderators:
Math Expert
109754 posts
Tuck School Moderator
853 posts