Last visit was: 23 Apr 2026, 10:27 It is currently 23 Apr 2026, 10:27
Close
GMAT Club Daily Prep
Thank you for using the timer - this advanced tool can estimate your performance and suggest more practice questions. We have subscribed you to Daily Prep Questions via email.

Customized
for You

we will pick new questions that match your level based on your Timer History

Track
Your Progress

every week, we’ll send you an estimated GMAT score based on your performance

Practice
Pays

we will pick new questions that match your level based on your Timer History
Not interested in getting valuable practice questions and articles delivered to your email? No problem, unsubscribe here.
Close
Request Expert Reply
Confirm Cancel
User avatar
shawndx
Joined: 13 Oct 2011
Last visit: 20 May 2013
Posts: 9
Own Kudos:
136
 [39]
Given Kudos: 16
Products:
Posts: 9
Kudos: 136
 [39]
4
Kudos
Add Kudos
35
Bookmarks
Bookmark this Post
Most Helpful Reply
User avatar
Bunuel
User avatar
Math Expert
Joined: 02 Sep 2009
Last visit: 23 Apr 2026
Posts: 109,782
Own Kudos:
Given Kudos: 105,853
Products:
Expert
Expert reply
Active GMAT Club Expert! Tag them with @ followed by their username for a faster response.
Posts: 109,782
Kudos: 810,823
 [17]
9
Kudos
Add Kudos
8
Bookmarks
Bookmark this Post
General Discussion
User avatar
subhashghosh
User avatar
Retired Moderator
Joined: 16 Nov 2010
Last visit: 25 Jun 2024
Posts: 894
Own Kudos:
Given Kudos: 43
Location: United States (IN)
Concentration: Strategy, Technology
Products:
Posts: 894
Kudos: 1,302
Kudos
Add Kudos
Bookmarks
Bookmark this Post
avatar
nfjet
Joined: 11 Aug 2011
Last visit: 31 May 2012
Posts: 5
Own Kudos:
7
 [1]
Given Kudos: 6
Location: United States
Concentration: Finance, Accounting
GMAT 1: 680 Q47 V36
GPA: 2.7
WE:Other (Hospitality and Tourism)
GMAT 1: 680 Q47 V36
Posts: 5
Kudos: 7
 [1]
1
Kudos
Add Kudos
Bookmarks
Bookmark this Post
A.) First distribute (x+y)(x-y)=5 to get (x^2)-xy+xy-(y^2)=5.
The -xy and +xy cancel each other out so that you now have (x^2)-(y^2)=5.
The question tells us that both x and y are negative (x<y<0) and are integers. From that point you can easliy determine two squares whose difference is 5. And since the question tells us the absolute value of x>y, then x=-3 and y=-2. Sufficient.

B.) The question tells us that the two variables represent negative integers(x<y<0). B tells us that xy=6, which gives us two differnt pairs of integers for x and y: (-1x-6) and (-2x-3). Insufficient.


Answer A.
User avatar
calreg11
Joined: 27 Oct 2011
Last visit: 07 Mar 2013
Posts: 84
Own Kudos:
Given Kudos: 4
Location: United States
Concentration: Finance, Strategy
GPA: 3.7
WE:Account Management (Consumer Packaged Goods)
Kudos
Add Kudos
Bookmarks
Bookmark this Post
great answer guys.
It is important to look at it a different way other than just trying to go brute algebra. It's hard to go out of that mindset once you are so used to just solving all other problems that way. Thanks
Kudos
Add Kudos
Bookmarks
Bookmark this Post
Bunuel
If x and y are integers such that x<y<0 what is x-y?

(1) (x+y)(x-y)=5. x and y are integers means that both x+y and x-y are integers. So, we have that the product of two integer factors equal to 5. There are only two combination of such factors possible: (1, 5) and (-1, -5). Since given that x and y are both negative then the first case is out, so x-y is either -1 or -5, but it can not be -5, because in this case x+y must be -1 and no sum of two negative integers yields -1. Hence x-y=-1. Sufficient.

(2) xy= 6. If x=-3 and y=-2 then x-y=-1 but if x=-6 and y=-1 then x-y=-5. Not sufficient.

Answer: A.

Hope it's clear.

In these type of questions such how do we know that in statement A we must have only 2 possible combinations? My GMAT "instinct" lead me to choose A but it I can not think of a logical way to prove that there must be for sure only 2 combinations.
User avatar
Bunuel
User avatar
Math Expert
Joined: 02 Sep 2009
Last visit: 23 Apr 2026
Posts: 109,782
Own Kudos:
810,823
 [1]
Given Kudos: 105,853
Products:
Expert
Expert reply
Active GMAT Club Expert! Tag them with @ followed by their username for a faster response.
Posts: 109,782
Kudos: 810,823
 [1]
1
Kudos
Add Kudos
Bookmarks
Bookmark this Post
alexpavlos
Bunuel
If x and y are integers such that x<y<0 what is x-y?

(1) (x+y)(x-y)=5. x and y are integers means that both x+y and x-y are integers. So, we have that the product of two integer factors equal to 5. There are only two combination of such factors possible: (1, 5) and (-1, -5). Since given that x and y are both negative then the first case is out, so x-y is either -1 or -5, but it can not be -5, because in this case x+y must be -1 and no sum of two negative integers yields -1. Hence x-y=-1. Sufficient.

(2) xy= 6. If x=-3 and y=-2 then x-y=-1 but if x=-6 and y=-1 then x-y=-5. Not sufficient.

Answer: A.

Hope it's clear.

In these type of questions such how do we know that in statement A we must have only 2 possible combinations? My GMAT "instinct" lead me to choose A but it I can not think of a logical way to prove that there must be for sure only 2 combinations.

Given that (x+y)(x-y)=5. Since x and y are integers, then we have that the product of 2 multiples is equal to 5.

Now, 5 can be broken into a product of 2 multiples only in 2 ways: 5=1*5 or 5=(-1)*(-5). After that you can refer to the solution above to see how it comes that x-y=-1.

Hope it helps.
User avatar
hfbamafan
Joined: 29 Mar 2010
Last visit: 27 Feb 2019
Posts: 90
Own Kudos:
Given Kudos: 16
Location: United States
Concentration: Finance, International Business
GMAT 1: 590 Q28 V38
GPA: 2.54
WE:Accounting (Hospitality and Tourism)
GMAT 1: 590 Q28 V38
Posts: 90
Kudos: 591
Kudos
Add Kudos
Bookmarks
Bookmark this Post
Are we allowed to multiply Statement 2 by -1?
User avatar
Bunuel
User avatar
Math Expert
Joined: 02 Sep 2009
Last visit: 23 Apr 2026
Posts: 109,782
Own Kudos:
Given Kudos: 105,853
Products:
Expert
Expert reply
Active GMAT Club Expert! Tag them with @ followed by their username for a faster response.
Posts: 109,782
Kudos: 810,823
Kudos
Add Kudos
Bookmarks
Bookmark this Post
hfbamafan
Are we allowed to multiply Statement 2 by -1?

Yes, we can do that. But why?
User avatar
TheKingInTheNorth
Joined: 13 Mar 2013
Last visit: 03 May 2019
Posts: 132
Own Kudos:
Given Kudos: 25
Location: United States
Concentration: Leadership, Technology
GPA: 3.5
WE:Engineering (Telecommunications)
Posts: 132
Kudos: 326
Kudos
Add Kudos
Bookmarks
Bookmark this Post
How come this is a 700 level question ?
User avatar
GMATinsight
User avatar
Major Poster
Joined: 08 Jul 2010
Last visit: 23 Apr 2026
Posts: 6,976
Own Kudos:
16,908
 [1]
Given Kudos: 128
Status:GMAT/GRE Tutor l Admission Consultant l On-Demand Course creator
Location: India
GMAT: QUANT+DI EXPERT
Schools: IIM (A) ISB '24
GMAT 1: 750 Q51 V41
WE:Education (Education)
Products:
Expert
Expert reply
Schools: IIM (A) ISB '24
GMAT 1: 750 Q51 V41
Posts: 6,976
Kudos: 16,908
 [1]
1
Kudos
Add Kudos
Bookmarks
Bookmark this Post
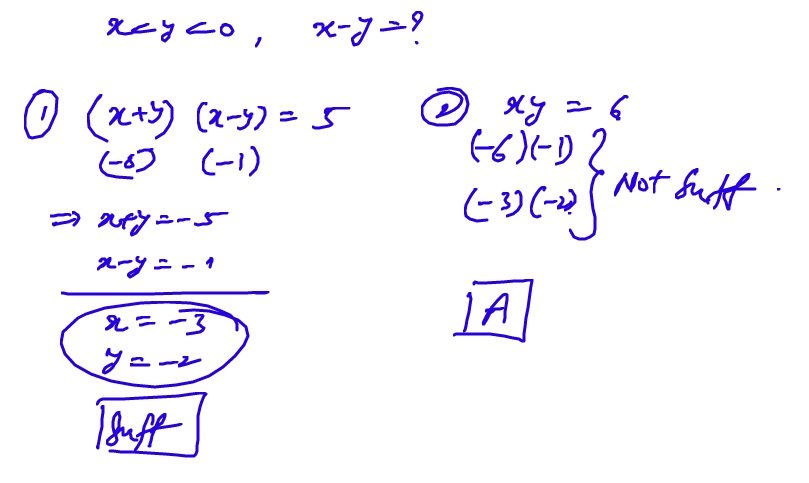
shawndx
If x and y are integers such that x < y < 0 what is x - y ?

(1) (x + y)(x - y) = 5
(2) xy = 6

Please check the solution as attached

Answer: Option A
Attachments

File comment: www.GMATinsight.com
2.jpg
2.jpg [ 58.61 KiB | Viewed 18948 times ]

User avatar
Prasannathawait
Joined: 10 Aug 2018
Last visit: 15 Jun 2020
Posts: 215
Own Kudos:
Given Kudos: 179
Location: India
Concentration: Strategy, Operations
WE:Operations (Energy)
Products:
Posts: 215
Kudos: 152
Kudos
Add Kudos
Bookmarks
Bookmark this Post
An excellent question that wants us to come out of conventional thinking to solve any question.
I got it wrong. Marked C.
But after reading the explanations realized that I have to be more cautious before answering the questions. This is a common trap of GMAT. Should be aware of it.
User avatar
bumpbot
User avatar
Non-Human User
Joined: 09 Sep 2013
Last visit: 04 Jan 2021
Posts: 38,965
Own Kudos:
Posts: 38,965
Kudos: 1,117
Kudos
Add Kudos
Bookmarks
Bookmark this Post
Automated notice from GMAT Club BumpBot:

A member just gave Kudos to this thread, showing it’s still useful. I’ve bumped it to the top so more people can benefit. Feel free to add your own questions or solutions.

This post was generated automatically.
Moderators:
Math Expert
109782 posts
498 posts
212 posts