Last visit was: 21 Apr 2026, 10:41 It is currently 21 Apr 2026, 10:41
Close
GMAT Club Daily Prep
Thank you for using the timer - this advanced tool can estimate your performance and suggest more practice questions. We have subscribed you to Daily Prep Questions via email.

Customized
for You

we will pick new questions that match your level based on your Timer History

Track
Your Progress

every week, we’ll send you an estimated GMAT score based on your performance

Practice
Pays

we will pick new questions that match your level based on your Timer History
Not interested in getting valuable practice questions and articles delivered to your email? No problem, unsubscribe here.
Close
Request Expert Reply
Confirm Cancel
User avatar
Bunuel
User avatar
Math Expert
Joined: 02 Sep 2009
Last visit: 21 Apr 2026
Posts: 109,729
Own Kudos:
Given Kudos: 105,798
Products:
Expert
Expert reply
Active GMAT Club Expert! Tag them with @ followed by their username for a faster response.
Posts: 109,729
Kudos: 810,428
 [29]
Kudos
Add Kudos
29
Bookmarks
Bookmark this Post
Most Helpful Reply
User avatar
JeffTargetTestPrep
User avatar
Target Test Prep Representative
Joined: 04 Mar 2011
Last visit: 05 Jan 2024
Posts: 2,974
Own Kudos:
8,708
 [6]
Given Kudos: 1,646
Status:Head GMAT Instructor
Affiliations: Target Test Prep
Expert
Expert reply
Posts: 2,974
Kudos: 8,708
 [6]
3
Kudos
Add Kudos
3
Bookmarks
Bookmark this Post
General Discussion
User avatar
gmatophobia
User avatar
Quant Chat Moderator
Joined: 22 Dec 2016
Last visit: 19 Apr 2026
Posts: 3,173
Own Kudos:
11,439
 [4]
Given Kudos: 1,862
Location: India
Concentration: Strategy, Leadership
Posts: 3,173
Kudos: 11,439
 [4]
4
Kudos
Add Kudos
Bookmarks
Bookmark this Post
User avatar
Jake7Wimmer
Joined: 25 Apr 2023
Last visit: 24 Jan 2025
Posts: 24
Own Kudos:
Given Kudos: 8
GMAT Focus 1: 625 Q79 V83 DI81
GMAT 1: 650 Q48 V32
GMAT 2: 650 Q47 V32
GMAT Focus 1: 625 Q79 V83 DI81
GMAT 2: 650 Q47 V32
Posts: 24
Kudos: 47
Kudos
Add Kudos
Bookmarks
Bookmark this Post
Bunuel do we have practice questions for these types of simplifying square root problems in varying difficulty?
User avatar
Bunuel
User avatar
Math Expert
Joined: 02 Sep 2009
Last visit: 21 Apr 2026
Posts: 109,729
Own Kudos:
810,428
 [3]
Given Kudos: 105,798
Products:
Expert
Expert reply
Active GMAT Club Expert! Tag them with @ followed by their username for a faster response.
Posts: 109,729
Kudos: 810,428
 [3]
1
Kudos
Add Kudos
2
Bookmarks
Bookmark this Post
 
Jake7Wimmer
Bunuel do we have practice questions for these types of simplifying square root problems in varying difficulty?
­
Check question involving rationalization of a fraction:

8. Exponents and Roots of Numbers



Check below for more:
ALL YOU NEED FOR QUANT ! ! !
Ultimate GMAT Quantitative Megathread

Hope it helps.­­­­
User avatar
Krunaal
User avatar
Tuck School Moderator
Joined: 15 Feb 2021
Last visit: 19 Apr 2026
Posts: 853
Own Kudos:
909
 [1]
Given Kudos: 251
Status:Under the Square and Compass
Location: India
GMAT Focus 1: 755 Q90 V90 DI82
GPA: 5.78
WE:Marketing (Consulting)
Products:
GMAT Focus 1: 755 Q90 V90 DI82
Posts: 853
Kudos: 909
 [1]
1
Kudos
Add Kudos
Bookmarks
Bookmark this Post
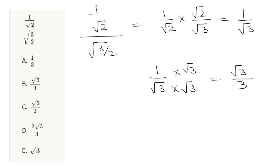
\(\frac{1}{\sqrt{2}}/\sqrt{\frac{3}{2}}\) = \(\frac{1}{\sqrt{2}}*\frac{\sqrt{2}}{\sqrt{3}}\) = \(\frac{1}{\sqrt{3}}\) = \(\frac{1}{\sqrt{3}}*\frac{\sqrt{3}}{\sqrt{3}}\) = \(\frac{\sqrt{3}}{3}\)

Answer B.
User avatar
bumpbot
User avatar
Non-Human User
Joined: 09 Sep 2013
Last visit: 04 Jan 2021
Posts: 38,948
Own Kudos:
Posts: 38,948
Kudos: 1,117
Kudos
Add Kudos
Bookmarks
Bookmark this Post
Automated notice from GMAT Club BumpBot:

A member just gave Kudos to this thread, showing it’s still useful. I’ve bumped it to the top so more people can benefit. Feel free to add your own questions or solutions.

This post was generated automatically.
Moderators:
Math Expert
109729 posts
Tuck School Moderator
853 posts