Last visit was: 25 Apr 2026, 16:39 It is currently 25 Apr 2026, 16:39
Close
GMAT Club Daily Prep
Thank you for using the timer - this advanced tool can estimate your performance and suggest more practice questions. We have subscribed you to Daily Prep Questions via email.

Customized
for You

we will pick new questions that match your level based on your Timer History

Track
Your Progress

every week, we’ll send you an estimated GMAT score based on your performance

Practice
Pays

we will pick new questions that match your level based on your Timer History
Not interested in getting valuable practice questions and articles delivered to your email? No problem, unsubscribe here.
Close
Request Expert Reply
Confirm Cancel
User avatar
Bunuel
User avatar
Math Expert
Joined: 02 Sep 2009
Last visit: 25 Apr 2026
Posts: 109,830
Own Kudos:
Given Kudos: 105,886
Products:
Expert
Expert reply
Active GMAT Club Expert! Tag them with @ followed by their username for a faster response.
Posts: 109,830
Kudos: 811,281
 [18]
Kudos
Add Kudos
18
Bookmarks
Bookmark this Post
User avatar
Bunuel
User avatar
Math Expert
Joined: 02 Sep 2009
Last visit: 25 Apr 2026
Posts: 109,830
Own Kudos:
Given Kudos: 105,886
Products:
Expert
Expert reply
Active GMAT Club Expert! Tag them with @ followed by their username for a faster response.
Posts: 109,830
Kudos: 811,281
Kudos
Add Kudos
Bookmarks
Bookmark this Post
User avatar
GMATinsight
User avatar
Major Poster
Joined: 08 Jul 2010
Last visit: 25 Apr 2026
Posts: 6,977
Own Kudos:
16,917
 [2]
Given Kudos: 128
Status:GMAT/GRE Tutor l Admission Consultant l On-Demand Course creator
Location: India
GMAT: QUANT+DI EXPERT
Schools: IIM (A) ISB '24
GMAT 1: 750 Q51 V41
WE:Education (Education)
Products:
Expert
Expert reply
Schools: IIM (A) ISB '24
GMAT 1: 750 Q51 V41
Posts: 6,977
Kudos: 16,917
 [2]
1
Kudos
Add Kudos
1
Bookmarks
Bookmark this Post
User avatar
yashikaaggarwal
User avatar
Senior Moderator - Masters Forum
Joined: 19 Jan 2020
Last visit: 29 Mar 2026
Posts: 3,089
Own Kudos:
Given Kudos: 1,510
Location: India
GPA: 4
WE:Analyst (Internet and New Media)
Kudos
Add Kudos
Bookmarks
Bookmark this Post
Let 3√5√3√5√3............∞ = Y
3√5√Y = Y
Squaring both sides
9*5√Y = Y^2
Squaring again
81*25*Y = Y^4
3*3*3*3*5*5 = Y^3
Y = 3³√75

Answer is B

Posted from my mobile device
User avatar
Kinshook
User avatar
Major Poster
Joined: 03 Jun 2019
Last visit: 25 Apr 2026
Posts: 5,986
Own Kudos:
5,859
 [1]
Given Kudos: 163
Location: India
GMAT 1: 690 Q50 V34
WE:Engineering (Transportation)
Products:
GMAT 1: 690 Q50 V34
Posts: 5,986
Kudos: 5,859
 [1]
Kudos
Add Kudos
Bookmarks
Bookmark this Post
[quote="Bunuel"]What is the value of \(3\sqrt{5\sqrt{3\sqrt{5\sqrt{...}}}}\), where the given expression extends to an infinite number of roots?

\(x^2 = 9×5\sqrt{x}\)
\(x^4 = 81×25x\)
\(x^3 = 3^3×75\)
\(x = 3\sqrt[3]{75}\)

IMO B

Posted from my mobile device
User avatar
BrushMyQuant
Joined: 05 Apr 2011
Last visit: 03 Apr 2026
Posts: 2,286
Own Kudos:
Given Kudos: 100
Status:Tutor - BrushMyQuant
Location: India
Concentration: Finance, Marketing
Schools: XLRI (A)
GMAT 1: 700 Q51 V31
GPA: 3
WE:Information Technology (Computer Software)
Expert
Expert reply
Schools: XLRI (A)
GMAT 1: 700 Q51 V31
Posts: 2,286
Kudos: 2,681
Kudos
Add Kudos
Bookmarks
Bookmark this Post
↧↧↧ Detailed Video Solution to the Problem Series ↧↧↧



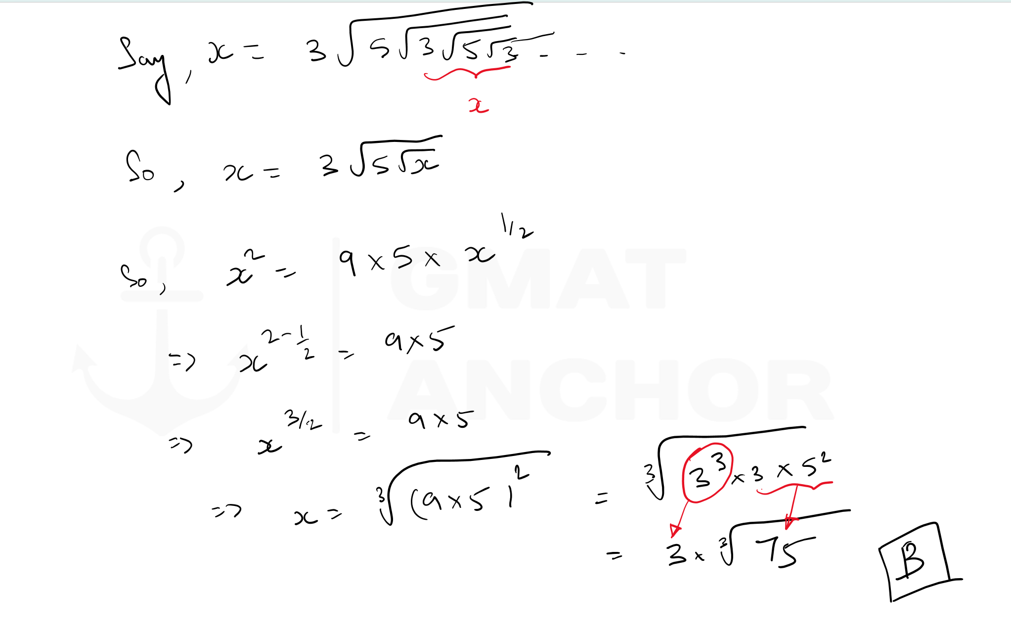
\(3\sqrt{5\sqrt{3\sqrt{5\sqrt{...}}}}\)

Let, \(3\sqrt{5\sqrt{3\sqrt{5\sqrt{...}}}}\) = x

Note that the terms is a sequence of 3 and 5 under square roots and is extending till infinity, so we can replace the part of the term after first 3 and 5 by x itself

=> \(3\sqrt{5\sqrt{3\sqrt{5\sqrt{...}}}}\) = \(3\sqrt{5\sqrt{x}}\)

Squaring both the sides we get
=> \(3^2 * (\sqrt{5\sqrt{x}})^2 = x^2\)
=> \(3^2 * 5\sqrt{x} = x^2\)

Squaring both the sides again, we get
=> \(3^4 * 5^2 * (\sqrt{x})^2 = x^4\)
=> \(3^4 * 5^2 * x = x^4\)
=> \(x^3 = 3^4 * 5^2\)
=> \(x^3 = 3^3 * 3 * 25 = 3^3 * 75\)

Taking cube root on both the sides we get
=> x = \(3\sqrt[3]{75}\)

So, Answer will be B
Hope it helps!

Watch the following video to MASTER Roots

­
User avatar
HarshavardhanR
Joined: 16 Mar 2023
Last visit: 25 Apr 2026
Posts: 492
Own Kudos:
Given Kudos: 68
Status:Independent GMAT Tutor
Affiliations: Ex - Director, Subject Matter Expertise at e-GMAT
Products:
Expert
Expert reply
Active GMAT Club Expert! Tag them with @ followed by their username for a faster response.
Posts: 492
Kudos: 576
Kudos
Add Kudos
Bookmarks
Bookmark this Post


Harsha
Attachment:
GMAT-Club-Forum-hmuhsnce.png
GMAT-Club-Forum-hmuhsnce.png [ 151.3 KiB | Viewed 1097 times ]
Moderators:
Math Expert
109830 posts
Tuck School Moderator
852 posts