Last visit was: 19 Nov 2025, 23:57 It is currently 19 Nov 2025, 23:57
Close
GMAT Club Daily Prep
Thank you for using the timer - this advanced tool can estimate your performance and suggest more practice questions. We have subscribed you to Daily Prep Questions via email.

Customized
for You

we will pick new questions that match your level based on your Timer History

Track
Your Progress

every week, we’ll send you an estimated GMAT score based on your performance

Practice
Pays

we will pick new questions that match your level based on your Timer History
Not interested in getting valuable practice questions and articles delivered to your email? No problem, unsubscribe here.
Close
Request Expert Reply
Confirm Cancel
555-605 Level|   Word Problems|                  
User avatar
vanidhar
Joined: 04 Feb 2010
Last visit: 14 Jan 2014
Posts: 71
Own Kudos:
1,436
 [87]
Given Kudos: 15
Status:GMAT Preperation
Concentration: Social Entrepreneurship, Social Entrepreneurship
GPA: 3
WE:Consulting (Insurance)
Posts: 71
Kudos: 1,436
 [87]
9
Kudos
Add Kudos
76
Bookmarks
Bookmark this Post
Most Helpful Reply
User avatar
Bunuel
User avatar
Math Expert
Joined: 02 Sep 2009
Last visit: 19 Nov 2025
Posts: 105,408
Own Kudos:
Given Kudos: 99,987
Products:
Expert
Expert reply
Active GMAT Club Expert! Tag them with @ followed by their username for a faster response.
Posts: 105,408
Kudos: 778,414
 [31]
13
Kudos
Add Kudos
18
Bookmarks
Bookmark this Post
avatar
abcd12345
Joined: 06 Jun 2011
Last visit: 19 Aug 2011
Posts: 17
Own Kudos:
38
 [17]
Given Kudos: 2
Posts: 17
Kudos: 38
 [17]
16
Kudos
Add Kudos
1
Bookmarks
Bookmark this Post
General Discussion
User avatar
siddhans
Joined: 29 Jan 2011
Last visit: 04 Sep 2012
Posts: 158
Own Kudos:
Given Kudos: 87
Posts: 158
Kudos: 786
Kudos
Add Kudos
Bookmarks
Bookmark this Post
plz explain detail steps...

A sum of $200,000 from a certain estate was divided among a spouse and three children. How much of the estate did the youngest child receive?

(1) The spouse received 1/2 of the sum from the estate, and the oldest child received 1/4 of the remainder.
(2) Each of the two younger children received $12,500 more than the oldest child and $62,500 less than the spouse.
User avatar
GMATD11
Joined: 10 Nov 2010
Last visit: 25 Sep 2012
Posts: 128
Own Kudos:
3,194
 [3]
Given Kudos: 22
Location: India
Concentration: Strategy, Operations
GMAT 1: 520 Q42 V19
GMAT 2: 540 Q44 V21
WE:Information Technology (Computer Software)
GMAT 2: 540 Q44 V21
Posts: 128
Kudos: 3,194
 [3]
3
Kudos
Add Kudos
Bookmarks
Bookmark this Post
where it is mentioned that s2=s3?
avatar
swetamurthy
Joined: 23 Jul 2011
Last visit: 13 Jan 2012
Posts: 2
Own Kudos:
7
 [2]
Given Kudos: 1
Location: India
Concentration: Healthcare
GMAT 1: 710 Q50 V36
GMAT 1: 710 Q50 V36
Posts: 2
Kudos: 7
 [2]
2
Kudos
Add Kudos
Bookmarks
Bookmark this Post
GMATD11
where it is mentioned that s2=s3?

B.Each of the two younger children received ....
implying that both s2 and s3 received same amount.
i hope its clear now
avatar
ankurjay
Joined: 01 Oct 2011
Last visit: 21 Dec 2013
Posts: 4
Own Kudos:
8
 [2]
Location: United States (NY)
Concentration: Finance, Technology
GMAT 1: 690 Q49 V34
GMAT 2: 710 Q49 V38
GPA: 3.5
WE:Information Technology (Computer Software)
GMAT 2: 710 Q49 V38
Posts: 4
Kudos: 8
 [2]
2
Kudos
Add Kudos
Bookmarks
Bookmark this Post
There has been slight mistake in calculation, though it doesnt affect the final answer:

Second statement
S2=S3
S3=S1+12,500
S3=SP-62,500
Sp+S1+S2+S3=200,000

converting everything into S3
S3+62,500+S3-12,500+S3+S3=200,000
4S3=150,000
S3=37,500
Hence answer is B
User avatar
minwoswoh
Joined: 10 May 2014
Last visit: 17 Nov 2021
Posts: 115
Own Kudos:
392
 [3]
Given Kudos: 28
Posts: 115
Kudos: 392
 [3]
3
Kudos
Add Kudos
Bookmarks
Bookmark this Post
Let´s call s for spouse and a, b, c to the children from younger to older

Question Stem
200,000 = s + a + b + c


Statement 1
s = 100,000
c = 25,000
We have 4 variables and 3 equations, hence we cannot solve. Not sufficient


Statement 2
Here´s the catch! The question stem can be rewritten as 200,000 = s + 2a + c
a = c + 12,500
a = s – 62,500
Since we now have 3 variables and 3 equations, we can solve. Sufficient.


Please let me know with Kudos if you find my response elegant!
User avatar
TheKingInTheNorth
Joined: 13 Mar 2013
Last visit: 03 May 2019
Posts: 132
Own Kudos:
Given Kudos: 25
Location: United States
Concentration: Leadership, Technology
GPA: 3.5
WE:Engineering (Telecommunications)
Posts: 132
Kudos: 321
Kudos
Add Kudos
Bookmarks
Bookmark this Post
Its a C trap Question
User avatar
mcelroytutoring
Joined: 10 Jul 2015
Last visit: 15 Nov 2025
Posts: 1,204
Own Kudos:
2,644
 [1]
Given Kudos: 282
Status:Expert GMAT, GRE, and LSAT Tutor / Coach
Affiliations: Harvard University, A.B. with honors in Government, 2002
Location: United States (CO)
Age: 45 (10 years and counting on GMAT Club!)
GMAT 1: 770 Q47 V48
GMAT 2: 730 Q44 V47
GMAT 3: 750 Q50 V42
GMAT 4: 730 Q48 V42 (Online)
GRE 1: Q168 V169
GRE 2: Q170 V170
Expert
Expert reply
GMAT 4: 730 Q48 V42 (Online)
GRE 1: Q168 V169
GRE 2: Q170 V170
Posts: 1,204
Kudos: 2,644
 [1]
Kudos
Add Kudos
1
Bookmarks
Bookmark this Post
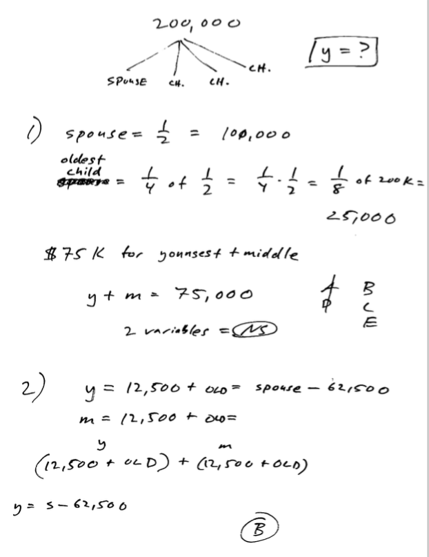
Here is a visual that should help. Notice that it doesn't say anywhere that the funds were divided equally, so don't assume this!

TIP: if the funds were divided equally, then you would know the answer to the question prior to either of the conditions. This never happens on DS. Thus, this is a red flag that indicates you are misinterpreting the question.

I didn't have time to complete the question before the lesson was over, but once I realized that I could solve for all three variables (y, m, and s) in terms of "old", I knew that condition #2 was was sufficient.

(I wrote "old" instead of the variable "o" because I didn't want to get it confused with the number zero.)
Attachments

Screen Shot 2016-03-28 at 6.22.20 PM.png
Screen Shot 2016-03-28 at 6.22.20 PM.png [ 114.4 KiB | Viewed 31214 times ]

User avatar
09173140521
Joined: 09 May 2017
Last visit: 03 Jul 2025
Posts: 175
Own Kudos:
365
 [1]
Given Kudos: 778
Location: Iran (Islamic Republic of)
GMAT 1: 430 Q39 V12
GMAT 1: 430 Q39 V12
Posts: 175
Kudos: 365
 [1]
1
Kudos
Add Kudos
Bookmarks
Bookmark this Post
its a bit confusing . the question says what is youngest .......but in B answer we encounter 2 younger !!! how we can interpret that ?
youngest is unique but we calculate 2 !!!! could any one say why ?
avatar
pulak1988
Joined: 15 Jan 2019
Last visit: 09 Sep 2020
Posts: 49
Own Kudos:
Given Kudos: 249
Location: India
GMAT 1: 650 Q42 V38
GPA: 4
GMAT 1: 650 Q42 V38
Posts: 49
Kudos: 6
Kudos
Add Kudos
Bookmarks
Bookmark this Post
swetamurthy
GMATD11
where it is mentioned that s2=s3?

B.Each of the two younger children received ....
implying that both s2 and s3 received same amount.
i hope its clear now

great word play. really missed that step. I was keen to find that they have not mentioned youngest child. silly silly mistake.
avatar
matteotchodi
Joined: 29 May 2020
Last visit: 07 Jan 2022
Posts: 12
Own Kudos:
Given Kudos: 94
Posts: 12
Kudos: 9
Kudos
Add Kudos
Bookmarks
Bookmark this Post
in DS never write down the actual RAW numbers.....

I use the following strategies.... when I know that I have a raw number I just annotate #

if you have any questions on how I use this strategy and how it may be useful feel free to ask
Attachments

Capture.JPG
Capture.JPG [ 96.84 KiB | Viewed 21232 times ]

User avatar
bumpbot
User avatar
Non-Human User
Joined: 09 Sep 2013
Last visit: 04 Jan 2021
Posts: 38,591
Own Kudos:
Posts: 38,591
Kudos: 1,079
Kudos
Add Kudos
Bookmarks
Bookmark this Post
Hello from the GMAT Club BumpBot!

Thanks to another GMAT Club member, I have just discovered this valuable topic, yet it had no discussion for over a year. I am now bumping it up - doing my job. I think you may find it valuable (esp those replies with Kudos).

Want to see all other topics I dig out? Follow me (click follow button on profile). You will receive a summary of all topics I bump in your profile area as well as via email.
Moderators:
Math Expert
105408 posts
496 posts