First, big thanks to
bb &
Bunuel for the GMAT Club Quant tests -- I did 20 of them with the online whiteboard, and my confidence & accuracy improved significantly.
I know this is long, so the most actionable suggestions are bolded below.
Notes & Tips on Online Format:
• A great thing about the online format is that you have more flexibility to
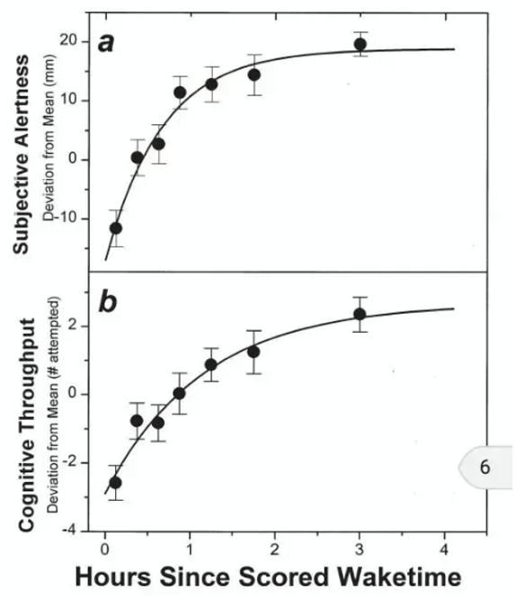
thoughtfully choose the ideal start time for you. I've seen research that 3-4 hours after waking is ideal, so I chose 9:45am on June 10th, but it can depend on the person, so think about when you are most focused and sharp. (graph attached)
• It can be helpful to
practice an energizing and healthy morning routine, planned in advance -- mine included: 16 oz of water immediately, going outside for walk/stretches, light reading, meditation in bath, light cardio & yoga, protein breakfast. (I limited fluid intake and caffeine before my test, to reduce the risk of needing a restroom break, since there's no break after quant).
• When I did the system test, my internet speed failed, and I noticed that my heart rate spiked as I immediately felt some uncertainty. After resetting the modem and disabling other Wifi devices and fixing the issue, I took an extra 2 minutes to lie down and do deep breathing to relax before finishing checking in to the exam.
Take the time you need to get your mindset where you want it before you start. See attached table on "Ideal Activation Level".• The 2 proctors (1st one you speak with during check-in, the 2nd uses text chat during the exam) were very friendly, and I was extra friendly and thankful at the start as we checked my surroundings with the camera (I had to prove that my 3 extra monitors were unplugged). This friendly interaction at the start actually helped me relax and loosen up.
• Once you're checked in, you have a screen where you confirm your name. Before proceeding, I hit the "Chat" button to test it -- I thought it would just open a chat box, but instead you get a pop-up saying "the proctor will help you shortly". A minute later, the chat box popped up, and I typed, "sorry, I was just testing the button, thanks very much". The proctor typed a friendly response, and then on the next screen, I used the 2 minutes of general instructions and 30 seconds of quant instructions for deep belly breathing (
video demo here,
article here) / meditation / mantras.
•
For the deep breathing, the more you practice on a daily basis, the better you can automatically call upon it to relax in a more stressful situation. As you take practice tests, it can also be helpful to use external cues as a reminder to breathe -- before each section, on the confirm screens after each question, and whenever you feel additional tension.
• For the mantras, perhaps consider -- what habits / cues / intentions could be useful for you? Based on your error log, what habits could help you prevent the kind of mistakes you tend to make? There's a lot we can learn about peak mental performance from sports psychology, and
brief mantras are popular among elite athletes.
Based on my #1 error cause of imprecise reading & loss of focus, my mantras are:
Overall: "I'm sharp, focused, precise!"
Quant: "Read sharp, write sharp, read EVERY word" (for example, to not miss "If x is a positive integer")
Verbal: "Fingers (reminder to attack the question and
eliminate with fingers), Stem First (engaging with the stem before the passage),
Curious (mindset)."
•
Do the System Test well in advance of the exam, so you are comfortable with the process. You will do the same process on the day of the exam as well, after clicking the Begin Exam link on the right on the Pearson VUE site, and before speaking to the proctor.
• The font is quite small, and the words stretch across the width of the entire screen, which feels a bit strange on a CR question (unlike the in-person exam, where it's confined to a smaller part of the screen). This was particularly pronounced on my 27" monitor, but
this wide formatting would be less noticeable on a smaller monitor. (example formatting attached)
• At the top of the screen, you have the "Whiteboard" and "Chat" buttons and a small square showing your video feed. You never see the proctor, but they can hear you, so
you can speak if they ask you a question in the chat, instead of typing a response. At one point, I had my hand over my mouth, and the proctor's chat box popped up saying to please not do that. There have been other debriefs where the proctor told them to stop mumbling. I did a little mumbling, just mouthing a few words that you probably couldn't hear, but the proctor never complained about it.
•
I highly recommend trying focusmate.com -- it is an awesome virtual coworking productivity tool for creating structure, accountability, focus, and brief encouraging interaction. I use it to plan my schedule the night before and be held accountable. (
Here is a Daily Training Log & Error Log Template you can use) Also, it will help to practice focusing while there is a video feed of yourself with someone you don't know -- so you are more comfortable with this on the exam.
•
Use any downtime productively. There are 30 seconds of instructions between quant and verbal, and if you finish early on quant, take the extra time to rest and prepare for verbal; I recommend mantras, deep breathing, and moving your body a bit -- I've seen research that movement is great for mental function, so it's a good habit in general when you're training. You don't have to confirm the final question. I had 6 extra minutes, so I closed my eyes and stretched my arms up and to the sides, and moved my legs and ankles.
• I can easily lose focus without proactive steps to prevent this. Other debriefs mentioned that fatigue can be a factor without a break, and precise reading is essential on verbal, so it's helpful to ask yourself,
how can you proactively energize yourself and refocus when you feel fatigue or distraction? First, I have a mantra that sounds silly but helps me -- I smile and say to myself passionately, "I energize and uplift myself on command!". If you mentally laugh at yourself a little, even better -- it relieves tension.
Second, partly inspired by chess players, I lean forward towards the screen, and it noticeably improves my attention.
• All of the screens automatically proceed when time runs out, except for the end of your break after the verbal section.
You have to manually click the "end break" button before your 5 minutes ends, or you will lose time on IR. • I was surprised when the IR instructions appeared immediately after the Verbal section -- I was expecting the "break" screen, but the IR instructions come first (and have a 30-second timer), and then on the next screen you can click the button on the bottom right to "Begin Break". There is a 60-second timer on this initial break screen, which says that if you don't do anything, your break will automatically start in 60 seconds. After you click the button, there is a 5-minute countdown timer. With the online whiteboard, I did not need permission from the proctor to take my break, but
now you need to show the proctor that your physical whiteboard is clean, before taking your break. Notes on Online vs Physical Whiteboard
• I got comfortable with the online whiteboard, but there were 2 particularly unusual questions that I took a long time on, that probably would have been easier with a physical whiteboard. However, the flip side is that I could have solved them easier with clearer thinking and strategy at the start, instead of rushed and confused scribbling and erasing. The other 29 questions felt great, but I clearly made a few errors somewhere.
• A nice thing about doing a lot of practice with the online whiteboard is that now the physical board feels like a luxury.
• Below are the products I'm practicing with, and I'm happy with them. It's actually easier to use than the normal yellow pad, because you have more flexibility -- I like the freedom of being able to use as much space as necessary, and if I keep the block eraser on top of the board, it takes only 1-2 seconds to erase. (photo attached)
Whiteboard PensEraser GMAT Preparation Resources Used:
• Huge thanks to the GMAT Club community, for the great explanations when I needed to
better understand the all-important WHY behind the right and wrong answer choices on verbal. • Thanks to
GMATNinja for recommending LSAT practice. I used
Khan Academy's 10 free practice tests, and this challenge helped me improve my reading focus, precision, and speed.
• Practice tests from GMAT Club,
Official Practice, Manhattan, Veritas, Kaplan
• OG questions on Efficient Learning, plus the excellent
Advanced Questions product.
• Older official questions on GMAT Club.
Tag search is very useful.
• 4 "Fake" practice tests using the
new Official Practice Questions 2 product • Adaptive flashcard app:
Brainscape.com• Reference Books:
MGMAT "All the Verbal" , and
Erica Meltzer's GMAT Sentence Correction Guide• I generally prefer official problems, but I also like the structure of
Target Test Prep -- very thorough, excellent interface and customer service, detailed analytics to track your progress and weaknesses, and great for targeting specific topics. Questions are tagged to very specific topics, so you can efficiently review the relevant lesson and example questions with just 1 click (this is much more efficient than books or searches). You're encouraged to log the cause of each mistake, which is very important. Their new verbal lessons are also very detailed, and I look forward to trying more of them as they roll out. Great work by
ScottTargetTestPrep,
JeffTargetTestPrep,
MartyTargetTestPrep & their team.
Other Favorite Resources:
•
Habits/discipline tools: focusmate.com (#1 favorite, a major game-changer),
Habitbull app for daily habit tracking,
Spar app for challenges with the accountability of financial rewards/penalties (the most important daily challenge was to always plan my day the night before, to increase discipline & reduce "decision fatigue")
I highly recommend setting a recurring nightly reminder to plan your following day (
great article on the power of "implementation intentions" here)
Here's a Daily Training Log & Error Log Template you can useHere's a template to write your WHY for your GMAT & MBA goals. My clients have found it very helpful, and
research supports the power of a clear sense of purpose, to increase your focus, energy, and discipline, and persist through inevitable challenges.
•
Distraction blocker tools & habits -- it's best to completely remove any temptation, rather than rely on willpower
i.
Delete social media & news apps from phone, and keep phone in separate room from work desk. (
article/research here)
ii.
Cold Turkey -- for Mac or Windows -- blocks sites and applications
iii.
Block Site - Website Blocker for Chrome
iv.
Kill News Feed for Chrome:
v.
Momentum for Chrome:
vi.
DF Tube for Chrome
• Books:
How Champions Think (author is Lebron James' sports psychologist;
audiobook should be free with this link if you haven't received a book from a friend before)
Atomic Habits (
free Audible link here)
The Power of Habit Make it Stick: The Science of Successful Learning (
summary & infographics here)
IndistractableExecutive Toughness (
key habit is a daily 100-second Mental Workout-- brief article here)
Peak: Secrets from the New Science of ExpertiseThe Little Book of Talent: 52 Tips for Improving Your SkillsUltralearning Essentialism: The Disciplined Pursuit of Less (it's so important to remind myself to practice these principles that I've listened to the audiobook 4 times) (
2 free chapters here on how to say "NO" gracefully;
free Audible link here)
The Way of the Warrior Kid (kid's book, but loved the principles, characters, and voice acting. Main point:
write down a personal code and hold yourself accountable to live by it --
here's the one from the book). (
free Audible link here)
• Documentaries:
In Search of Greatness (featuring Jerry Rice, Wayne Gretzky, and Pele)
Almost Impossible series•
"Finding Your Best" online course from Pete Carroll & peak performance psychologist Dr. Michael Gervais. Dr. Gervais'
Finding Mastery is my favorite podcast. (Some favorite episodes
here,
here,
here, and
here)
3 key takeaways from the course:
1)
Write your personal philosophy in 25 words or less, and recite it daily. For example, Coach Carroll's is simple, "Always Compete". Mine is "To Serve, I Hone my Habits every day -- with Passion, Purpose, Priority, and Play".
2) Carroll's definition of "compete" is not to beat others -- instead, it's "Challenge yourself and support others who are striving to be their best" (graphic attached). This is what's awesome about our GMAT Club community here!
3) Research supports that a highly effective dose of meditation is just 8 minutes -- this helped me make it a consistent daily habit.
• Calm mindfulness app --
Lebron James' 38-minute series is excellent, and it's interesting to hear him explain why sleep is his top priority. There's a
7 day free premium trial, or alternatively,
Insight Timer is free. Many also like
Headspace. My personal favorite is unguided, with relaxing "
Binaural Beats" background music -- accepting in advance that my mind will wander sometimes, and just calmly keep
refocusing on deeply relaxing belly breathing for 8 minutes.
I recommend finding a daily habit that works for you.Here's a study showing that a 2-week mindfulness course improved GRE scores significantly. This makes sense, because training our minds for focused attention and precision is so important.
Self-Assessment
On my 4 attempts, I've had a goal of 800 each time, which can put a lot of pressure on myself to not make a mistake. Using the resources above, I've been working to cultivate a more effective mindset -- optimism and intense focus, but less tension and pressure on myself. I decided in advance that I would just focus on what I could control in my preparation and process, and accept whatever the outcome was. Another useful mantra adapted from legendary football coach Bill Walsh, is "Focus on the Play, and
The Score Takes Care of Itself". In the past, I've had issues with indecision and wavering between choices on verbal, and felt some time pressure at the end. On this one, my pacing and confidence felt much better, and I had more than 5 minutes of extra time on both quant and verbal. I felt confident that I scored 780+, but I clearly made more mistakes than I expected. Most likely, the verbal errors came from a few SC problems that I was between 2 choices on. I decided to look at the bright side, and noted that the V45 is a new personal best.
There were 2 conditions that were less than ideal, that I will attempt to improve next time:
1) I normally sleep great, but I had an unusually annoying earworm, and I had trouble going back to sleep in the middle of the night. I make good sleep habits a priority, and use a strict 9:30 bedtime alarm leading up to the test.
Since the GMAT harshly punishes imprecision and careless errors, improving sleep can make a huge difference -- a notable example is a client going from 620 to 740 on 2 practice tests within a week, when well-rested versus tired.
2) I tend to be sensitive to outside noise, and there was extremely loud construction drilling that I didn't expect at that time. For an instant I thought, "Damn, I should have negotiated with the foreman", but fortunately, I think my meditation practice is helping because I quickly refocused and was able to block it out better than I expected.
Before my next attempt, I will prioritize SC, and work on increasing quant precision to get back to Q51. I look forward to taking the GMAT Online again with the physical whiteboard.
Thanks for reading, and please let me know if you have any comments or questions, thanks.
Attachments

Graph from study of Sleep Intertia Dissipation in Human Performance and Alertness.png [ 141.93 KiB | Viewed 29597 times ]

Ideal Activation Level and Optimal Performance (from Sports Psychology for Dummies, pgs 155-156) .png [ 867.83 KiB | Viewed 29668 times ]

Example of wide formatting for GMAT Online.png [ 140.78 KiB | Viewed 29594 times ]

Physical Whiteboard, Pen, & Eraser.jpg [ 29.69 KiB | Viewed 29580 times ]

Compete definition from Finding Your Best course with Pete Carroll and Dr Michael Gervais.png [ 66.89 KiB | Viewed 29574 times ]