Last visit was: 01 May 2026, 08:37 It is currently 01 May 2026, 08:37
Close
GMAT Club Daily Prep
Thank you for using the timer - this advanced tool can estimate your performance and suggest more practice questions. We have subscribed you to Daily Prep Questions via email.

Customized
for You

we will pick new questions that match your level based on your Timer History

Track
Your Progress

every week, we’ll send you an estimated GMAT score based on your performance

Practice
Pays

we will pick new questions that match your level based on your Timer History
Not interested in getting valuable practice questions and articles delivered to your email? No problem, unsubscribe here.
Close
Request Expert Reply
Confirm Cancel
555-605 (Medium)|   Number Properties|                              
User avatar
Bunuel
User avatar
Math Expert
Joined: 02 Sep 2009
Last visit: 01 May 2026
Posts: 109,994
Own Kudos:
Given Kudos: 105,972
Products:
Expert
Expert reply
Active GMAT Club Expert! Tag them with @ followed by their username for a faster response.
Posts: 109,994
Kudos: 812,287
 [384]
19
Kudos
Add Kudos
365
Bookmarks
Bookmark this Post
Most Helpful Reply
User avatar
ScottTargetTestPrep
User avatar
Target Test Prep Representative
Joined: 14 Oct 2015
Last visit: 30 Apr 2026
Posts: 22,308
Own Kudos:
Given Kudos: 302
Status:Founder & CEO
Affiliations: Target Test Prep
Location: United States (CA)
Expert
Expert reply
Active GMAT Club Expert! Tag them with @ followed by their username for a faster response.
Posts: 22,308
Kudos: 26,562
 [187]
120
Kudos
Add Kudos
66
Bookmarks
Bookmark this Post
User avatar
rishi02
Joined: 21 Sep 2015
Last visit: 06 Jan 2025
Posts: 85
Own Kudos:
528
 [64]
Given Kudos: 403
Location: India
GMAT 1: 730 Q48 V42
GMAT 2: 750 Q50 V41
GMAT 3: 760 Q49 V46
Products:
GMAT 3: 760 Q49 V46
Posts: 85
Kudos: 528
 [64]
43
Kudos
Add Kudos
21
Bookmarks
Bookmark this Post
User avatar
rishi02
Joined: 21 Sep 2015
Last visit: 06 Jan 2025
Posts: 85
Own Kudos:
528
 [43]
Given Kudos: 403
Location: India
GMAT 1: 730 Q48 V42
GMAT 2: 750 Q50 V41
GMAT 3: 760 Q49 V46
Products:
GMAT 3: 760 Q49 V46
Posts: 85
Kudos: 528
 [43]
28
Kudos
Add Kudos
15
Bookmarks
Bookmark this Post
AbdurRakib

4^2 - 3^2 = 7
5^2 -4^2 = 9
6^2 -5^2 =11
100^2-99^2 = 199

The difference between the squares of consecutive integers always increases since a^2 -b^2 = (a+b)(a-b)

(a-b) will always be 1 since consecutive integers so as the integers increase a + b will also increase

What you can also figure out from this is that a+b = 25 for this problem

Therefore 2b +1 =25 and b =12, a=13

However you do not need to do this for a DS problem. Its sufficient to know that the difference is unique :)

Hope it is clear!
General Discussion
User avatar
LightYagami
Joined: 16 Jul 2014
Last visit: 10 Jun 2023
Posts: 19
Own Kudos:
123
 [8]
Location: United Arab Emirates
Posts: 19
Kudos: 123
 [8]
5
Kudos
Add Kudos
3
Bookmarks
Bookmark this Post
Let x and y be 2 consecutive squares such that y>x.

Then root(y) = root (x) + 1

Now let's look at the question.

1) 94 + n and 69 + n are consecutive sqaures

x = 69 + n
y = 94+ n

root(y) = root (x) + 1
Squaring the above equation we get: y = × + 2root (×) +1

2root (×) = y - x - 1 = 94 + n - 69 - n - 1 = 24
Root (x) = 12

x= 144

n = 144 - 69 = 75

y= 94 + 75 = 169

Sufficient

2) 94 + n and 121 + n are consecutive squares.

Sufficient. Can be proven the same way as case 1.
User avatar
AbdurRakib
Joined: 11 May 2014
Last visit: 03 Mar 2026
Posts: 464
Own Kudos:
43,799
 [1]
Given Kudos: 220
Status:I don't stop when I'm Tired,I stop when I'm done
Location: Bangladesh
Concentration: Finance, Leadership
GPA: 2.81
WE:Business Development (Real Estate)
Posts: 464
Kudos: 43,799
 [1]
1
Kudos
Add Kudos
Bookmarks
Bookmark this Post
rishi02
If the positive integer n is added to each of the integers 69, 94, and 121, what is the value of n?

(1) 69 + n and 94 + n are the squares of two consecutive integers

Difference between the two squares is 25 since 94-69=25. This difference is unique.
For example 4^2 - 3^2 = 7
5^2 -4^2 = 9


As can be seen the difference goes on increasing and hence only one unique value is possible. SUFFICIENT

(2) 94 + n and 121 + n are the squares of two consecutive integers

Difference between the squares is 27. Again this difference is unique . SUFFICIENT.

(For those wondering what n is ;
n=75 and the consecutive integeres are 12, 13 & 14)

Interesting application.

Can you elaborate the highlighted Concept ?

Thanks
User avatar
Konstantin1983
Joined: 02 Dec 2014
Last visit: 08 Dec 2021
Posts: 298
Own Kudos:
324
 [13]
Given Kudos: 353
Location: Russian Federation
Concentration: General Management, Economics
GMAT 1: 640 Q44 V33
WE:Sales (Telecommunications)
GMAT 1: 640 Q44 V33
Posts: 298
Kudos: 324
 [13]
5
Kudos
Add Kudos
8
Bookmarks
Bookmark this Post
Bunuel
If the positive integer n is added to each of the integers 69, 94, and 121, what is the value of n?

(1) 69 + n and 94 + n are the squares of two consecutive integers
(2) 94 + n and 121 + n are the squares of two consecutive integers

Statement 1. Let x and (x+1) be two consecutive integers. Then we have: 69+n=x^2 and 94+n=(x+1)^2. Substitute (69+n) into second equation to get 25+x^2=x^2 + 2x + 1 ==> 2x=24 and x=12 Hence n=75 Sufficient
Statement 2. The same as Statement 1. Sufficient
avatar
OptimusPrepJanielle
Joined: 06 Nov 2014
Last visit: 08 Sep 2017
Posts: 1,776
Own Kudos:
1,508
 [12]
Given Kudos: 23
Expert
Expert reply
Posts: 1,776
Kudos: 1,508
 [12]
9
Kudos
Add Kudos
3
Bookmarks
Bookmark this Post
Bunuel
If the positive integer n is added to each of the integers 69, 94, and 121, what is the value of n?

(1) 69 + n and 94 + n are the squares of two consecutive integers
(2) 94 + n and 121 + n are the squares of two consecutive integers

Statement 1: 69 + n and 94 + n are the squares of two consecutive integers
The difference between the numbers = 94 - 69 = 25
Let us list down some of the perfect squares.
Since 69 is near to 8^2, I will start from 8^2

64, 81, 100, 121, 144, 169, 196, 225.

Difference between 169 and 144 = 25
Hence 94 + n = 169, and 69 + n = 144

n = 75
SUFFICIENT

Statement 2: 94 + n and 121 + n are the squares of two consecutive integers
Difference between the two = 121 - 94 = 27
Applying the same logic and writing the perfect squares.

100, 121, 144, 169, 196, 225

Hence the numbers are 196 and 169
121 + n = 196 and 94 + n = 169
n = 75
SUFFICIENT

Correct Option: D
User avatar
colorblind
Joined: 30 Dec 2015
Last visit: 23 Jun 2020
Posts: 52
Own Kudos:
158
 [14]
Given Kudos: 173
GPA: 3.92
WE:Engineering (Aerospace and Defense)
Posts: 52
Kudos: 158
 [14]
8
Kudos
Add Kudos
6
Bookmarks
Bookmark this Post
AbdurRakib
rishi02
If the positive integer n is added to each of the integers 69, 94, and 121, what is the value of n?

(1) 69 + n and 94 + n are the squares of two consecutive integers

Difference between the two squares is 25 since 94-69=25. This difference is unique.
For example 4^2 - 3^2 = 7
5^2 -4^2 = 9


As can be seen the difference goes on increasing and hence only one unique value is possible. SUFFICIENT

(2) 94 + n and 121 + n are the squares of two consecutive integers

Difference between the squares is 27. Again this difference is unique . SUFFICIENT.

(For those wondering what n is ;
n=75 and the consecutive integeres are 12, 13 & 14)

Interesting application.

Can you elaborate the highlighted Concept ?

Thanks

the BIG IDEA here:
The difference between squares of two consecutive integers = Sum of the two consecutive integers
eg: \(10^2 - 9^2 = (10+9)(10-9) = 19\) so on and so forth

In Statement 1 we are told that (69+n) & (94+n) are the squares of two consecutive integers,
So use the above idea:
\((94+n)-(69+n) = 25\)
Since we know that the sum of the two consecutive integers is 25 & to find the individual consecutive integers: 25 = 2n+1 (since integers are consecutive)
n = 12 & (n+1) = 13
Now that we have each individual integer:
\(12^2 = (69+n)\)
\(144 = 69 + n\)
\(n = 75\)

Same applies for statement 2
User avatar
suminha
Joined: 03 Feb 2020
Last visit: 02 Jan 2025
Posts: 106
Own Kudos:
495
 [4]
Given Kudos: 242
Location: Korea, Republic of
Posts: 106
Kudos: 495
 [4]
4
Kudos
Add Kudos
Bookmarks
Bookmark this Post
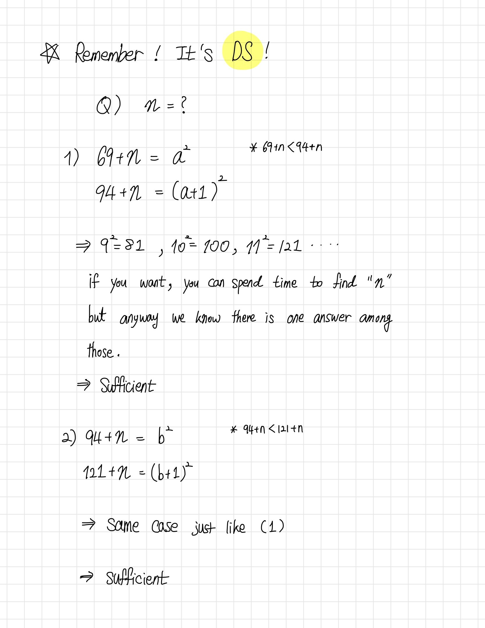
This is typical DS !

Hope this note helps !
Attachments

-221.jpg
-221.jpg [ 396.58 KiB | Viewed 46683 times ]

User avatar
GMATinsight
User avatar
Major Poster
Joined: 08 Jul 2010
Last visit: 01 May 2026
Posts: 6,991
Own Kudos:
16,942
 [2]
Given Kudos: 128
Status:GMAT/GRE Tutor l Admission Consultant l On-Demand Course creator
Location: India
GMAT: QUANT+DI EXPERT
Schools: IIM (A) ISB '24
GMAT 1: 750 Q51 V41
WE:Education (Education)
Products:
Expert
Expert reply
Schools: IIM (A) ISB '24
GMAT 1: 750 Q51 V41
Posts: 6,991
Kudos: 16,942
 [2]
1
Kudos
Add Kudos
1
Bookmarks
Bookmark this Post
Bunuel
If the positive integer n is added to each of the integers 69, 94, and 121, what is the value of n?

(1) 69 + n and 94 + n are the squares of two consecutive integers
(2) 94 + n and 121 + n are the squares of two consecutive integers


Answer: Option D

Video solution by GMATinsight

User avatar
avigutman
Joined: 17 Jul 2019
Last visit: 30 Sep 2025
Posts: 1,285
Own Kudos:
1,900
 [3]
Given Kudos: 66
Location: Canada
GMAT 1: 780 Q51 V45
GMAT 2: 780 Q50 V47
GMAT 3: 770 Q50 V45
Expert
Expert reply
GMAT 3: 770 Q50 V45
Posts: 1,285
Kudos: 1,900
 [3]
3
Kudos
Add Kudos
Bookmarks
Bookmark this Post
Video solution from Quant Reasoning:
Subscribe for more: https://www.youtube.com/QuantReasoning? ... irmation=1
User avatar
Hoozan
Joined: 28 Sep 2018
Last visit: 30 Dec 2025
Posts: 644
Own Kudos:
Given Kudos: 248
GMAT 1: 660 Q48 V33 (Online)
GMAT 2: 700 Q49 V37
Products:
GMAT 2: 700 Q49 V37
Posts: 644
Kudos: 738
Kudos
Add Kudos
Bookmarks
Bookmark this Post
ScottTargetTestPrep
Bunuel
If the positive integer n is added to each of the integers 69, 94, and 121, what is the value of n?

(1) 69 + n and 94 + n are the squares of two consecutive integers
(2) 94 + n and 121 + n are the squares of two consecutive integers

We are given that the positive integer n is added to each of the integers 69, 94, and 121, and need to determine the value of n.

Statement One Alone:

69 + n and 94 + n are the squares of two consecutive integers.

From statement one, we can say that for some positive integer x, 69 + n = x^2 and 94 + n = (x + 1)^2. Let’s subtract the first equation from the second equation:

(94 + n) - (69 + n) = (x + 1)^2 - x^2
25 = x^2 + 2x + 1 - x^2
25 = 2x + 1
24 = 2x
12 = x

Since we know x = 12, we can substitute this into the first equation to determine the value of n:

69 + n = 12^2
69 + n = 144
n = 75

Statement one alone is sufficient to answer the question. Eliminate answer choices B, C and E.

Statement Two Alone:

94 + n and 121 + n are the squares of two consecutive integers.

We can use the same method that we used in statement one to solve for n. Therefore, without performing the actual calculations, we can conclude that we can find a unique value for n. Statement two alone is also sufficient to answer the question.

Answer: D

Quote:
Let’s subtract the first equation from the second equation:

ScottTargetTestPrep please could you help me understand what prompted you to subtract the first and second equations? I want to understand your thought process while attempting this question
User avatar
ScottTargetTestPrep
User avatar
Target Test Prep Representative
Joined: 14 Oct 2015
Last visit: 30 Apr 2026
Posts: 22,308
Own Kudos:
26,562
 [2]
Given Kudos: 302
Status:Founder & CEO
Affiliations: Target Test Prep
Location: United States (CA)
Expert
Expert reply
Active GMAT Club Expert! Tag them with @ followed by their username for a faster response.
Posts: 22,308
Kudos: 26,562
 [2]
2
Kudos
Add Kudos
Bookmarks
Bookmark this Post
Hoozan
please could you help me understand what prompted you to subtract the first and second equations? I want to understand your thought process while attempting this question

We are trying to solve a system of equations consisting of 69 + n = x^2 and 94 + n = (x + 1)^2. We have two equations and two unknowns, so the natural thing to is to eliminate one of the variables. Subtracting the equations is one way of doing it, you could also write n = x^2 - 69 using the first equation and substitute this for n in the second equation:

94 + n = (x + 1)^2

94 + (x^2 - 69) = x^2 + 2x + 1

25 = 2x + 1

24 = 2x

12 = x

As you can see, we obtain the same result. So pretty much the only reason I subtracted the equations is so that one of the variables will be eliminated.
User avatar
Nrj0601
Joined: 15 May 2019
Last visit: 23 May 2024
Posts: 40
Own Kudos:
Given Kudos: 27
Status:Engineering Manager
Concentration: Leadership, Strategy
Schools: IIMA PGPX"20
WE:Engineering (Consulting)
Schools: IIMA PGPX"20
Posts: 40
Kudos: 12
Kudos
Add Kudos
Bookmarks
Bookmark this Post
n = I+ | what is n?

1. (94+n) - (69+n) = (x+1)^2 - x^2. The equation can be solved to get the ans. (Sufficient)
2. Same as 1. (Sufficient)
Ans D
avatar
Engineer1
Joined: 01 Jan 2014
Last visit: 23 Jan 2026
Posts: 194
Own Kudos:
Given Kudos: 457
Location: United States
Concentration: Strategy, Finance
Posts: 194
Kudos: 771
Kudos
Add Kudos
Bookmarks
Bookmark this Post
rishi02
If the positive integer n is added to each of the integers 69, 94, and 121, what is the value of n?

(1) 69 + n and 94 + n are the squares of two consecutive integers

Difference between the two squares is 25 since 94-69=25. This difference is unique.
For example 4^2 - 3^2 = 7
5^2 -4^2 = 9

As can be seen the difference goes on increasing and hence only one unique value is possible. SUFFICIENT

(2) 94 + n and 121 + n are the squares of two consecutive integers

Difference between the squares is 27. Again this difference is unique . SUFFICIENT.

(For those wondering what n is ;
n=75 and the consecutive integers are 12, 13 & 14)


Hi rishi02, I got it question right by equating the numbers to consecutive square, that is 94+ n = a2 and 121+n = (a+1)2.
However, I am curious to understand what is this concept of unique difference? Do you have a link or something to help explain? Thank you.
User avatar
scrantonstrangler
Joined: 19 Feb 2022
Last visit: 21 Apr 2026
Posts: 117
Own Kudos:
Given Kudos: 70
Status:Preparing for the GMAT
Location: India
GMAT 1: 700 Q49 V35
GPA: 3.33
WE:Consulting (Consulting)
GMAT 1: 700 Q49 V35
Posts: 117
Kudos: 56
Kudos
Add Kudos
Bookmarks
Bookmark this Post
­1. Given that 69 + n and 94 + n are squares of consecutive integers and differ by 25 (that is, (94 + n) – (69 + n) = 25), look for consecutive integers whose squares differ by 25. It would be wise to start with 102 = 100 since 94 + n will be greater than 94.­
Then, the consecutive integers whose squares differ by 25 are 69 + n = 144 and 94 + n = 169. The value of n can be determined from either equation.

2. Given that 94 + n and 121 + n are squares of consecutive integers and differ by 27 (that is, (121 + n) – (94+ n) = 27), look for consecutive integers whose squares differ by 27. It would be wise to start with 122 = 144 since 121 + n will be greater than 121

Then, the consecutive integers whose squares differ by 27 are 94 + n = 169 and 121 + n = 196. The value of n can be determined from either equation; SUFFICIENT.
User avatar
bumpbot
User avatar
Non-Human User
Joined: 09 Sep 2013
Last visit: 04 Jan 2021
Posts: 39,016
Own Kudos:
Posts: 39,016
Kudos: 1,122
Kudos
Add Kudos
Bookmarks
Bookmark this Post
Automated notice from GMAT Club BumpBot:

A member just gave Kudos to this thread, showing it’s still useful. I’ve bumped it to the top so more people can benefit. Feel free to add your own questions or solutions.

This post was generated automatically.
Moderators:
Math Expert
109994 posts
498 posts
215 posts