Last visit was: 19 Nov 2025, 16:23 It is currently 19 Nov 2025, 16:23
Close
GMAT Club Daily Prep
Thank you for using the timer - this advanced tool can estimate your performance and suggest more practice questions. We have subscribed you to Daily Prep Questions via email.

Customized
for You

we will pick new questions that match your level based on your Timer History

Track
Your Progress

every week, we’ll send you an estimated GMAT score based on your performance

Practice
Pays

we will pick new questions that match your level based on your Timer History
Not interested in getting valuable practice questions and articles delivered to your email? No problem, unsubscribe here.
Close
Request Expert Reply
Confirm Cancel
605-655 Level|   Exponents|               
User avatar
tonebeeze
Joined: 19 Nov 2009
Last visit: 15 Jan 2015
Posts: 78
Own Kudos:
3,093
 [157]
Given Kudos: 210
Status:Current MBA Student
Concentration: Finance, General Management
GMAT 1: 720 Q49 V40
6
Kudos
Add Kudos
151
Bookmarks
Bookmark this Post
Most Helpful Reply
User avatar
Bunuel
User avatar
Math Expert
Joined: 02 Sep 2009
Last visit: 19 Nov 2025
Posts: 105,390
Own Kudos:
Given Kudos: 99,977
Products:
Expert
Expert reply
Active GMAT Club Expert! Tag them with @ followed by their username for a faster response.
Posts: 105,390
Kudos: 778,368
 [32]
4
Kudos
Add Kudos
28
Bookmarks
Bookmark this Post
User avatar
fluke
User avatar
Retired Moderator
Joined: 20 Dec 2010
Last visit: 24 Oct 2013
Posts: 1,099
Own Kudos:
5,095
 [22]
Given Kudos: 376
Posts: 1,099
Kudos: 5,095
 [22]
12
Kudos
Add Kudos
10
Bookmarks
Bookmark this Post
General Discussion
User avatar
shrouded1
User avatar
Retired Moderator
Joined: 02 Sep 2010
Last visit: 29 Apr 2018
Posts: 609
Own Kudos:
3,191
 [10]
Given Kudos: 25
Location: London
Products:
Posts: 609
Kudos: 3,191
 [10]
5
Kudos
Add Kudos
5
Bookmarks
Bookmark this Post
tonebeeze
If x does not = 0 and \(x = \sqrt{4xy-4y^2}\) , then in terms of y, x =

a. 2y
b. y
c. \(y/2\)
d. \(-4^2/1-4y\)
e. -2y

\(x = \sqrt{4xy-4y^2}\)

Square both sides

\(x^2=4xy-4y^2\)
\(x^2+4y^2-4xy=0\)
\((x-2y)^2=0\)
\(\Rightarrow x-2y=0\)
\(x=2y\)

Answer : (A)
User avatar
Bunuel
User avatar
Math Expert
Joined: 02 Sep 2009
Last visit: 19 Nov 2025
Posts: 105,390
Own Kudos:
Given Kudos: 99,977
Products:
Expert
Expert reply
Active GMAT Club Expert! Tag them with @ followed by their username for a faster response.
Posts: 105,390
Kudos: 778,368
Kudos
Add Kudos
Bookmarks
Bookmark this Post
Bunuel
registerincog
If x does not equal to 0 and \(x = \sqrt{4xy - 4 y^2}\), then in terms of y, x = ?

A. 2y
B. y
C. y/2
D. 4y^2/(1-4y)
E. -2y

Square the expression: \(x^2 = 4xy - 4y^2\) --> \(x^2-4xy+4y^2=(x-2y)^2=0\) --> \(x=2y\).

Answer: A.

Similar question to practice: if-x-0-and-x-root-8xy-16y-2-then-in-terms-of-y-x-140869.html
User avatar
ScottTargetTestPrep
User avatar
Target Test Prep Representative
Joined: 14 Oct 2015
Last visit: 19 Nov 2025
Posts: 21,716
Own Kudos:
26,997
 [2]
Given Kudos: 300
Status:Founder & CEO
Affiliations: Target Test Prep
Location: United States (CA)
Expert
Expert reply
Active GMAT Club Expert! Tag them with @ followed by their username for a faster response.
Posts: 21,716
Kudos: 26,997
 [2]
1
Kudos
Add Kudos
1
Bookmarks
Bookmark this Post
tonebeeze
If x does not equal to 0 and \(x = \sqrt{4xy - 4 y^2}\), then in terms of y, x = ?

A. 2y
B. y
C. y/2
D. 4y^2/(1-4y)
E. -2y


We can square both sides of the given equation and obtain:

x^2 = 4xy - 4y^2

x^2 - 4xy + 4y^2 = 0

(x - 2y)(x - 2y) = 0

(x - 2y)^2 = 0

x - 2y = 0

x = 2y

Answer: A
User avatar
JeffTargetTestPrep
User avatar
Target Test Prep Representative
Joined: 04 Mar 2011
Last visit: 05 Jan 2024
Posts: 2,977
Own Kudos:
8,391
 [1]
Given Kudos: 1,646
Status:Head GMAT Instructor
Affiliations: Target Test Prep
Expert
Expert reply
Posts: 2,977
Kudos: 8,391
 [1]
1
Kudos
Add Kudos
Bookmarks
Bookmark this Post
petrifiedbutstanding
If x≠0 and \(x = \sqrt{4xy-4y^2}\), then, in terms of y, x =

A. 2y
B. y
C. y/2
D. -(4y^2)/(1-2y)
E. -2y

We first square both sides of the equation and then simplify. We have:

x^2 = 4xy - 4y^2

4y^2 - 4xy + x^2 = 0

(2y - x)^2 = 0

2y - x = 0

2y = x

Answer: A
User avatar
dave13
Joined: 09 Mar 2016
Last visit: 12 Aug 2025
Posts: 1,108
Own Kudos:
1,113
 [1]
Given Kudos: 3,851
Posts: 1,108
Kudos: 1,113
 [1]
1
Kudos
Add Kudos
Bookmarks
Bookmark this Post
fluke
petrifiedbutstanding
If x≠0 and x = \sqrt{4xy-4y^2} , then, in
terms of y, x =

A. 2y
B. y
C. y/2
D. -(4y^2)/(1-2y)
E. -2y

Can someone please help?

\(x = \sqrt{4xy-4y^2}\)
Square both sides;

\(x^2 = 4xy-4y^2\)
\(x^2+4y^2-4xy=0\)
\((x-2y)^2=0\) Note: \((a-b)^2=a^2+b^2-2ab\)
\((x-2y)^2=0\)
\(x-2y=0\)
\(x=2y\)

Ans: "A"


Gladiator59


Hi Gladi,

can you please breakdown this for me

how from here \(x^2+4y^2-4xy=0\)

we got this \((x-2y)^2=0\)


and how from this \((x-2y)^2=0\)

we got this \(x-2y=0\)

thank you :)
User avatar
Bunuel
User avatar
Math Expert
Joined: 02 Sep 2009
Last visit: 19 Nov 2025
Posts: 105,390
Own Kudos:
778,368
 [4]
Given Kudos: 99,977
Products:
Expert
Expert reply
Active GMAT Club Expert! Tag them with @ followed by their username for a faster response.
Posts: 105,390
Kudos: 778,368
 [4]
4
Kudos
Add Kudos
Bookmarks
Bookmark this Post
dave13
fluke
petrifiedbutstanding
If x≠0 and x = \sqrt{4xy-4y^2} , then, in
terms of y, x =

A. 2y
B. y
C. y/2
D. -(4y^2)/(1-2y)
E. -2y

Can someone please help?

\(x = \sqrt{4xy-4y^2}\)
Square both sides;

\(x^2 = 4xy-4y^2\)
\(x^2+4y^2-4xy=0\)
\((x-2y)^2=0\) Note: \((a-b)^2=a^2+b^2-2ab\)
\((x-2y)^2=0\)
\(x-2y=0\)
\(x=2y\)

Ans: "A"


Gladiator59


Hi Gladi,

can you please breakdown this for me

how from here \(x^2+4y^2-4xy=0\)

we got this \((x-2y)^2=0\)


and how from this \((x-2y)^2=0\)

we got this \(x-2y=0\)

thank you :)

What number when squared gives 0? Only 0^2 = 0. So, if \((x-2y)^2=0\), then \(x-2y=0\).
User avatar
dave13
Joined: 09 Mar 2016
Last visit: 12 Aug 2025
Posts: 1,108
Own Kudos:
Given Kudos: 3,851
Posts: 1,108
Kudos: 1,113
Kudos
Add Kudos
Bookmarks
Bookmark this Post
Gladiator59
dave13,

Also, (a-b)^2= a^2-2ab+b^2 is an identity which is true for any a,b

Put a = x and b = -2y ... And you'll get the first part of your question.

Also, as Bunuel sir mentioned.. x^2 = 0 .. means X=0

Hope this answers.. let me know.

Regards,
G

Posted from my mobile device

gladiator
thanks Gladi

but where do you see here \(x^2+4y^2-4xy=0\) that a = x and b = -2y ? :?
User avatar
Gladiator59
Joined: 16 Sep 2016
Last visit: 19 Nov 2025
Posts: 842
Own Kudos:
2,613
 [2]
Given Kudos: 260
Status:It always seems impossible until it's done.
GMAT 1: 740 Q50 V40
GMAT 2: 770 Q51 V42
Products:
GMAT 2: 770 Q51 V42
Posts: 842
Kudos: 2,613
 [2]
2
Kudos
Add Kudos
Bookmarks
Bookmark this Post
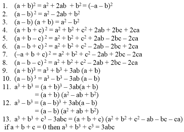
This is pattern recognition. When you have two perfect squares being added ( here \(x^2\) and \((2y)^2 = 4y^2\) are definitely perfect squares) you need to immediately search for the product terms 2ab ... which is present here. \(2*(x)*(-2y) = -4xy\)

This should flash like a light-bulb and will come only from drilling the identities in.

Here is attached a list of identities which you might want to try & drill in. At least the binomial ones :-)

dave13

gladiator
thanks Gladi

but where do you see here \(x^2+4y^2-4xy=0\) that a = x and b = -2y ? :?

Attachments

Algebraic-Identities.png
Algebraic-Identities.png [ 17.5 KiB | Viewed 27144 times ]

User avatar
BrentGMATPrepNow
User avatar
Major Poster
Joined: 12 Sep 2015
Last visit: 31 Oct 2025
Posts: 6,739
Own Kudos:
Given Kudos: 799
Location: Canada
Expert
Expert reply
Posts: 6,739
Kudos: 35,355
Kudos
Add Kudos
Bookmarks
Bookmark this Post
tonebeeze
If \(x ≠ 0\) and \(x = \sqrt{4xy - 4 y^2}\), then in terms of y, x = ?

A. \(2y\)

B. \(y\)

C. \(\frac{y}{2}\)

D. \(\frac{4y^2}{1-4y}\)

E. \(-2y\)

Given: \(x = \sqrt{4xy - 4y^2}\)

Square both sides of the equation: \(x^2 = 4xy - 4y^2\)

Strategy: Since this looks like a quadratic equation, let's set it equal to 0

Add \(4y^2\) and subtract \(4xy\) to/from both sides of the equation: \(4y^2 - 4xy + x^2 = 0\)

Strategy: This looks like one of the special products \((a-b)(a-b) = a^2 - 2ab + b^2\)

Factor the left side to get: \((2y - x)(2y - x) = 0\)

At this point, we can conclude that \(2y - x = 0\), which means \(x = 2y\)

Answer: A
User avatar
bumpbot
User avatar
Non-Human User
Joined: 09 Sep 2013
Last visit: 04 Jan 2021
Posts: 38,589
Own Kudos:
Posts: 38,589
Kudos: 1,079
Kudos
Add Kudos
Bookmarks
Bookmark this Post
Hello from the GMAT Club BumpBot!

Thanks to another GMAT Club member, I have just discovered this valuable topic, yet it had no discussion for over a year. I am now bumping it up - doing my job. I think you may find it valuable (esp those replies with Kudos).

Want to see all other topics I dig out? Follow me (click follow button on profile). You will receive a summary of all topics I bump in your profile area as well as via email.
Moderators:
Math Expert
105390 posts
Tuck School Moderator
805 posts