Last visit was: 19 Nov 2025, 02:37 It is currently 19 Nov 2025, 02:37
Close
GMAT Club Daily Prep
Thank you for using the timer - this advanced tool can estimate your performance and suggest more practice questions. We have subscribed you to Daily Prep Questions via email.

Customized
for You

we will pick new questions that match your level based on your Timer History

Track
Your Progress

every week, we’ll send you an estimated GMAT score based on your performance

Practice
Pays

we will pick new questions that match your level based on your Timer History
Not interested in getting valuable practice questions and articles delivered to your email? No problem, unsubscribe here.
Close
Request Expert Reply
Confirm Cancel
User avatar
Economist
Joined: 01 Apr 2008
Last visit: 24 Dec 2018
Posts: 383
Own Kudos:
4,450
 [63]
Given Kudos: 18
Name: Ronak Amin
Schools: IIM Lucknow (IPMX) - Class of 2014
Schools: IIM Lucknow (IPMX) - Class of 2014
Posts: 383
Kudos: 4,450
 [63]
5
Kudos
Add Kudos
58
Bookmarks
Bookmark this Post
Most Helpful Reply
User avatar
Bunuel
User avatar
Math Expert
Joined: 02 Sep 2009
Last visit: 19 Nov 2025
Posts: 105,379
Own Kudos:
Given Kudos: 99,977
Products:
Expert
Expert reply
Active GMAT Club Expert! Tag them with @ followed by their username for a faster response.
Posts: 105,379
Kudos: 778,172
 [18]
6
Kudos
Add Kudos
12
Bookmarks
Bookmark this Post
User avatar
Bunuel
User avatar
Math Expert
Joined: 02 Sep 2009
Last visit: 19 Nov 2025
Posts: 105,379
Own Kudos:
778,172
 [4]
Given Kudos: 99,977
Products:
Expert
Expert reply
Active GMAT Club Expert! Tag them with @ followed by their username for a faster response.
Posts: 105,379
Kudos: 778,172
 [4]
Kudos
Add Kudos
4
Bookmarks
Bookmark this Post
General Discussion
avatar
milo
Joined: 11 Mar 2009
Last visit: 01 Aug 2014
Posts: 3
Own Kudos:
Posts: 3
Kudos: 27
Kudos
Add Kudos
Bookmarks
Bookmark this Post
Answer should be C. Factors of 5000 are 2x2x2x5x5x5x5 (2^3x5^4). Only if both x and y have to be integer (statement one and two) there is no other option than x=2 and more importantly y=5. The alternative y=-5 - since in y^4 the power is even - can also be excluded by the addition positive integer in statement 1.
User avatar
xenok
Joined: 01 Apr 2008
Last visit: 11 Jan 2012
Posts: 136
Own Kudos:
59
 [2]
Given Kudos: 6
Concentration: Strategy, GM, Energy, Technology
Schools:Chicago Booth 2011
Posts: 136
Kudos: 59
 [2]
1
Kudos
Add Kudos
1
Bookmarks
Bookmark this Post
We need Statement 2.

With Statement 1 alone, we cannot say that y = 5.
E.g. Let's say y = 4, so it satisfies Statement 1.
Then x^3 = 5000/256 = 19.53125, therefore x = 2.69 (rounded off to the last two decimal places)
This is a perfectly legitimate solution.

We need Statement 2 to find a unique solution to x^3y^4 = 5000; otherwise with just Statement 1, there will be an infinite numbers of solutions.

Only when you also specify that x is an integer, do you get a single solution (x = 2, y = 5)

So the answer is C.

[EDIT: To correct an incorrect value of x]
User avatar
Hades
Joined: 14 May 2009
Last visit: 13 Aug 2009
Posts: 135
Own Kudos:
90
 [4]
Given Kudos: 1
Schools:Stanford, Harvard, Berkeley, INSEAD
Posts: 135
Kudos: 90
 [4]
3
Kudos
Add Kudos
1
Bookmarks
Bookmark this Post
If \(x^3y^4\) = 5,000, is y = 5?
(1) y is a positive integer.
(2) x is an integer.

Question: (y==5)?
Rearrange \(x^3y^4\) = 5,000 to \(y=\sqrt[4]{(5000/x^3))}\)

Substitute \(y=\sqrt[4]{(5000/x^3))}\) into Question:(y==5)?,
Question: (\(\sqrt[4]{(5000/x^3))}==5\))?
Rearrange:
Question: (\((5000/x^3)==625\))?
Question: (\((x^3==5000/625\))?
Question: (\((x^3==8\))?
Question: (\((x==2\))? (don't have to worry about negative numbers since we have an odd exponent)

(1) If y is an integer, we don't know whether x==2 or y==5, insufficient.

(2) If x is an integer, we don't know whether x==2 or y==5, insufficient.

(1&2) We know they're both integers, but again that's it. Let's factorize 5000 into \(2^3*5^4\)

Rearrange fact, (\(x^3y^4 == 2^3*5^4\)) ==>> x=2,y=4 (since exponents match, and are different, and x&y are both integers therefore the bases MUST be the same).


Hence Question:(y==5)?==>NO, Sufficient.

Final Answer, C.
User avatar
pleonasm
Joined: 01 Mar 2009
Last visit: 29 Aug 2011
Posts: 265
Own Kudos:
158
 [1]
Given Kudos: 24
Location: PDX
Concentration: Entrepreneurship
Posts: 265
Kudos: 158
 [1]
Kudos
Add Kudos
1
Bookmarks
Bookmark this Post
So I got thoroughly confused with this question. Hope I can articulate my thoughts correctly here.
\(x^3\) * \(y^4\) = 5000. Is y=5.

so \(y^4\) = 5000/x^3[/m]

y = \(4\sqrt{5000/x^3}\)

y = \(4\sqrt{625 * 8 /x^3}\)

y = 5 * \(4\sqrt{625 * 8 /x^3}\)

If y has to be 5 then \(4\sqrt{625 * 8 /x^3}\)should be 1.

Combining a and b \(4\sqrt{625 * 8 /x^3}\) can or cannot be 1. What am I missing ?
User avatar
xcusemeplz2009
Joined: 09 May 2009
Last visit: 24 Jul 2011
Posts: 109
Own Kudos:
Given Kudos: 13
Posts: 109
Kudos: 1,134
Kudos
Add Kudos
Bookmarks
Bookmark this Post
pleonasm
So I got thoroughly confused with this question. Hope I can articulate my thoughts correctly here.
\(x^3\) * \(y^4\) = 5000. Is y=5.

so \(y^4\) = 5000/x^3[/m]

y = \(4\sqrt{5000/x^3}\)

y = \(4\sqrt{625 * 8 /x^3}\)

y = 5 * \(4\sqrt{625 * 8 /x^3}\)

If y has to be 5 then \(4\sqrt{625 * 8 /x^3}\)should be 1.

Combining a and b \(4\sqrt{625 * 8 /x^3}\) can or cannot be 1. What am I missing ?

on combining we get two more restriction and i.e x and y are int
now keeping that in mind the exp can be simplified further as
4th root of ([5^4 *2^3)/x^3] and for this to be an int there is only one possible value for x i.e is 2

in your approach u are getting confused because u are accepting x to be an int and are forgetting that y also has to be an int as per the statements

HTH
avatar
sidvish
Joined: 12 Dec 2012
Last visit: 01 Apr 2014
Posts: 25
Own Kudos:
183
 [3]
Given Kudos: 19
Concentration: Leadership, Social Entrepreneurship
GMAT 1: 660 Q48 V33
GMAT 2: 740 Q49 V41
GPA: 3.74
2
Kudos
Add Kudos
1
Bookmarks
Bookmark this Post
Hades
If \(x^3y^4\) = 5,000, is y = 5?
(1) y is a positive integer.
(2) x is an integer.

Question: (y==5)?
Rearrange \(x^3y^4\) = 5,000 to \(y=\sqrt[4]{(5000/x^3))}\)

Substitute \(y=\sqrt[4]{(5000/x^3))}\) into Question:(y==5)?,
Question: (\(\sqrt[4]{(5000/x^3))}==5\))?
Rearrange:
Question: (\((5000/x^3)==625\))?
Question: (\((x^3==5000/625\))?
Question: (\((x^3==8\))?
Question: (\((x==2\))? (don't have to worry about negative numbers since we have an odd exponent)

(1) If y is an integer, we don't know whether x==2 or y==5, insufficient.

(2) If x is an integer, we don't know whether x==2 or y==5, insufficient.

(1&2) We know they're both integers, but again that's it. Let's factorize 5000 into \(2^3*5^4\)

Rearrange fact, (\(x^3y^4 == 2^3*5^4\)) ==>> x=2,y=4 (since exponents match, and are different, and x&y are both integers therefore the bases MUST be the same).


Hence Question:(y==5)?==>NO, Sufficient.

Final Answer, C.

The key distinguishing factor here is that in statement 1 it says y is a POSITIVE integer.

1. Statement one says y is a positive integer. Therefore y^4 is also a positive integer. There are two possible values for y -> 1 or 5 (we dont know whether x is an integer, so x could be an irrational number and y could be 1, similarly y could also be 5). Not sufficient

2. Statement 2 says x is an integer. Again multiple possible values here -> x could be 1 and y would be the 4th root of 5000, x could be 2 and y could be 5 OR -5 (we dont even know if it's positive or negative)

Combined: x and y are both integers, therefore both x^3 and y^4 have to be integers. The only option for x is 2 (it cannot be -2 since it's raised to an odd power). The important part is that y is a POSITIVE integer, therefore it has to be 5. If this was not specified then y could be 5 or -5 and the answer would be E. As it stands the correct answer is C.

Takeaway- never assume anything not given and always take a contrarian view in DS! Watch out for even powers - they hide the sign while odd powers don't. Great question!
avatar
sidvish
Joined: 12 Dec 2012
Last visit: 01 Apr 2014
Posts: 25
Own Kudos:
Given Kudos: 19
Concentration: Leadership, Social Entrepreneurship
GMAT 1: 660 Q48 V33
GMAT 2: 740 Q49 V41
GPA: 3.74
Kudos
Add Kudos
Bookmarks
Bookmark this Post
Super helpful. I hear you. I should've said AT LEAST 2 values of y exist.
User avatar
GMATinsight
User avatar
Major Poster
Joined: 08 Jul 2010
Last visit: 18 Nov 2025
Posts: 6,836
Own Kudos:
16,351
 [2]
Given Kudos: 128
Status:GMAT/GRE Tutor l Admission Consultant l On-Demand Course creator
Location: India
GMAT: QUANT+DI EXPERT
Schools: IIM (A) ISB '24
GMAT 1: 750 Q51 V41
WE:Education (Education)
Products:
Expert
Expert reply
Schools: IIM (A) ISB '24
GMAT 1: 750 Q51 V41
Posts: 6,836
Kudos: 16,351
 [2]
1
Kudos
Add Kudos
1
Bookmarks
Bookmark this Post
Economist
This topic is locked. If you want to discuss this question please re-post it in the respective forum.

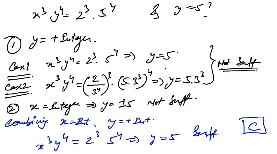
If \(x^3y^4 = 5,000\), is y = 5?

(1) y is a positive integer.
(2) x is an integer.


Please find solution as attached...
Attachments

File comment: www.GMATinsight.com
1114.jpg
1114.jpg [ 90.54 KiB | Viewed 21599 times ]

User avatar
bumpbot
User avatar
Non-Human User
Joined: 09 Sep 2013
Last visit: 04 Jan 2021
Posts: 38,583
Own Kudos:
Posts: 38,583
Kudos: 1,079
Kudos
Add Kudos
Bookmarks
Bookmark this Post
Hello from the GMAT Club BumpBot!

Thanks to another GMAT Club member, I have just discovered this valuable topic, yet it had no discussion for over a year. I am now bumping it up - doing my job. I think you may find it valuable (esp those replies with Kudos).

Want to see all other topics I dig out? Follow me (click follow button on profile). You will receive a summary of all topics I bump in your profile area as well as via email.
Moderators:
Math Expert
105379 posts
496 posts