Let's talk strategy here. Many explanations of Quantitative questions focus blindly on the math, but remember: the GMAT is a critical-thinking test. For those of you studying for the GMAT, you will want to internalize strategies that actually minimize the amount of math that needs to be done, making it easier to manage your time. The tactics I will show you here will be useful for numerous questions, not just this one. My solution is going to walk through not just what the answer is, but how to strategically think about it. As a result, I might write out some steps that I would normally just do in my head on the GMAT, but I want to make sure everyone sees the complete approach. Ready? Here is the full "GMAT Jujitsu" for this question:
The first thing we need to do is setup our equations. The equation for a percent is simple:
\(N=\frac{\%}{100}T\). Alternately,
\(100N=\%T\).
The problem states that “
r percent of the store’s revenue from newspaper sales was from Newspaper A.” Revenue is equal to the number of items sold, multiplied by the sales price of each item. So, let’s plug revenue into our percent formula:
\(100(Revenue_A)=\%(Revenue_{total})\)\(100(1*A)=r(1*A+\frac{5}{4}B)\)Notice that I translated \($1.25\) into its fractional form. I call this strategy, “
Fractions Are Your Friends” in my classes. Fractions are almost always easier to mathematically manipulate than decimals are.
The problem also states that “
p percent of the newspapers that the store sold were copies of Newspaper A.” Thus,
\(100(Copies_A )=\%(Copies_{total})\)\(100(A)=p(A+B)\)We now have 2 equations with 4 unknowns, but the problem isn’t asking us to solve for a number. Our target is “
r in terms of p”, which means we need to get rid of variables \(A\) and \(B\), while simultaneously solving for \(r\). At this point, we have two options: (1) just doing the dang algebra, or (2) a strategy I call in my classes “
Easy Numbers.” Let's take a look at both strategies, starting with “
Easy Numbers”:
Tactic 1: Easy Numbers
Since the problem gives us ratios without ever giving us totals, we can actually chose the “total” values in a way that makes the math simple. The reasons why we can pick values for totals (if the totals aren’t given) are two-fold: first, doing this turns abstract formulas into very concrete, easy-to-understand equations. Second, since the total values clearly drop out of the final solutions – after all, \(A\) and \(B\) aren’t
in the answer choices – assigning them values that will disappear by the end is totally fine.
With
percentage questions without totals, a common “
Easy Number” we could pick is \(100\). The equation \(100A = p(A+B)\) demonstrates this. If we say that
\(A+B=100\), then
\(100A = p(100)\) and
\(A=p\), allowing us to eliminate \(A\). But we also know that if
\(A=p\) and
\(A+B = 100\), then
\(B = 100–p\). Plugging in these values into the revenue equation above gets us a single equation in terms of \(r\) and \(p\):
\(100(p)=r(1p+\frac{5}{4}(100-p)\)From this point forward, it’s just math, though our goal
shouldn’t be just to randomly move things around – instead we use the answer choices to inform what “shape” the GMAT wants the math to be in. Since the question tells us that we are looking for \(r\) in terms of \(p\), we isolate \(r\) in the equation by dividing both sides by the same value:
\(r=\frac{100(p)}{p+\frac{5}{4}(100)-\frac{5}{4}p}=\frac{100(p)}{\frac{5}{4}(100)-\frac{1}{4}p}\)Multiplying the fraction by \(\frac{4}{4}\) (a strategy I call in my classes “
Multiply by 1”), keeps the fraction equivalent, but simplifies the denominator so it looks like the answer choices:
\(r=\frac{400p}{500-p}\)We have our answer. It’s “D”.Tactic 2: Do the Algebra
Since the GMAT is a critical-thinking test that rewards mental flexibility, there is often more than one way to solve a question. (I guess this means that since the GMAT is a Computer-Adaptive Test, there
is more than one way to skin a CAT!)

Here is what it would look like algebraically…
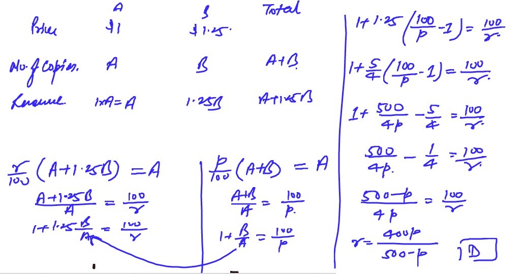
First, we know we need to eliminate both \(a\) and \(b\) out of the equation, leaving only \(r\) and \(p\). One quick way to eliminate variables is to substitute. Solving the first equation for \(r\), we get:
\(100(1*A)=r(A+\frac{5}{4}B)\)\(r=\frac{100A}{A+\frac{5}{4}B}\)Solving the second equation for \(b\), we get:
\(100(A)=p(A+B)\)\(100A-pA=pB\)\(B=\frac{100A-pA}{p}=A(\frac{100-p}{p})\)Now, substituting the second equation into the first allows us to eliminate \(b\), while simultaneously getting rid of \(a\), through a tactic I like to call in my classes “
Divide and Conquer.” Watch this:
\(r=\frac{100A}{A+\frac{5}{4}B}=\frac{100A}{A+\frac{5}{4}(A(\frac{100-p}{p}))}\)Now, our job is to turn what we have into one of the answer choices, so use the answer choices as a guide for how you should think about the math. I call this “
Stay on Target.” We know we still need to get rid of \(A\). Because we are dealing with a fraction, let’s see if we can factor out an \(A\) out of the top and bottom, thereby cancelling it:
\(r=\frac{100A}{A(1+\frac{5}{4}(\frac{100}{p}-1))}=\frac{100}{1+\frac{5}{4}(\frac{100}{p}-1)} =\frac{100}{1+\frac{500}{4p}-\frac{5}{4}}=\frac{100}{\frac{500}{4p}-\frac{1}{4}}\) We can multiply both the top and bottom of the fraction by \(4p\), eliminating the messy fractions in the bottom of the denominator. This simplifies it down to:
\(r=\frac{400p}{500-p}\)The answer is still “D”. Now, let’s look back at this problem from the perspective of strategy. For those of you studying for the GMAT, it is far more useful to identify patterns in questions than to memorize the solutions of individual problems. This problem can teach us a solid pattern seen throughout the GMAT. If you are given percentages or ratios without totals, one way to cut through this abstraction is to plug in “
Easy Numbers” for the totals. Otherwise, you could also solve such problems algebraically, but whatever you do, don't think haphazardly. Your job is to turn what you have been given into what you
want to have. Use the answer choices as a guide for what you should do. And that is how you think like the GMAT.