Last visit was: 23 Apr 2026, 09:03 It is currently 23 Apr 2026, 09:03
Close
GMAT Club Daily Prep
Thank you for using the timer - this advanced tool can estimate your performance and suggest more practice questions. We have subscribed you to Daily Prep Questions via email.

Customized
for You

we will pick new questions that match your level based on your Timer History

Track
Your Progress

every week, we’ll send you an estimated GMAT score based on your performance

Practice
Pays

we will pick new questions that match your level based on your Timer History
Not interested in getting valuable practice questions and articles delivered to your email? No problem, unsubscribe here.
Close
Request Expert Reply
Confirm Cancel
User avatar
CAMANISHPARMAR
Joined: 12 Feb 2015
Last visit: 13 Mar 2022
Posts: 1,016
Own Kudos:
2,552
 [91]
Given Kudos: 77
Posts: 1,016
Kudos: 2,552
 [91]
5
Kudos
Add Kudos
86
Bookmarks
Bookmark this Post
Most Helpful Reply
User avatar
KarishmaB
Joined: 16 Oct 2010
Last visit: 23 Apr 2026
Posts: 16,441
Own Kudos:
79,393
 [31]
Given Kudos: 484
Location: Pune, India
Expert
Expert reply
Active GMAT Club Expert! Tag them with @ followed by their username for a faster response.
Posts: 16,441
Kudos: 79,393
 [31]
16
Kudos
Add Kudos
14
Bookmarks
Bookmark this Post
User avatar
CAMANISHPARMAR
Joined: 12 Feb 2015
Last visit: 13 Mar 2022
Posts: 1,016
Own Kudos:
2,552
 [9]
Given Kudos: 77
Posts: 1,016
Kudos: 2,552
 [9]
4
Kudos
Add Kudos
5
Bookmarks
Bookmark this Post
General Discussion
User avatar
CAMANISHPARMAR
Joined: 12 Feb 2015
Last visit: 13 Mar 2022
Posts: 1,016
Own Kudos:
2,552
 [4]
Given Kudos: 77
Posts: 1,016
Kudos: 2,552
 [4]
2
Kudos
Add Kudos
2
Bookmarks
Bookmark this Post
Official Answer from Veritas prep:

The key to this difficult probability question is focusing not on Romeo’s win probability, not on Juliet’s win probability, but instead on the relationship between the two. Consider Juliet’s chances as the sum of two cases: Either, with probability \(\frac{1}{6}\) , Romeo gets a 6 on the first roll – Juliet loses; or, with probability \(\frac{5}{6}\) , Romeo does not get a 6 on the first roll – Juliet becomes Romeo. Of course, Juliet does not literally become Romeo in the latter case, but the point is that Romeo’s and Juliet’s situations and probabilities are then reversed: Juliet gets to roll with a chance to win on a 6 or else pass the turn to her opponent, so her probability at that moment is exactly whatever Romeo’s win probability was at the beginning of the game.

This may sound messy, but algebraically it’s quite neat:


\(PJ=\frac{1}{6}∗0+\frac{5}{6}∗PR=\frac{5}{6}PR\)


Of course, someone will win the game eventually, which means that the two probabilities are complementary, and we can also write


\(PJ+PR=1\)


Now we have a system of two equations and two variables, and substitution will clean it up nicely:


\(\frac{5}{6}PR+PR=1\)


\(\frac{11}{6}\)PR=1


PR=\(\frac{6}{11}\)
and
PJ=\(\frac{5}{6}∗\frac{6}{11}=\frac{5}{11}\)


This is the correct answer, D.
avatar
GMATINSECT
Joined: 17 Jun 2017
Last visit: 22 Jul 2020
Posts: 54
Own Kudos:
Given Kudos: 56
Posts: 54
Kudos: 64
Kudos
Add Kudos
Bookmarks
Bookmark this Post
CAMANISHPARMAR
Romeo and Juliet play a dice game in which the two participants take turns rolling a single fair six-sided die. The first player to roll a 6 wins. If Romeo rolls first, what is the probability that Juliet will win?

A) \(\frac{1}{4}\)
B) \(\frac{1}{3}\)
C) \(\frac{4}{9}\)
D) \(\frac{5}{11}\)
E) \(\frac{1}{2}\)

This can't be a two-minute question as per the solutions provided!
User avatar
JS1290
Joined: 27 Dec 2016
Last visit: 04 Nov 2019
Posts: 222
Own Kudos:
Given Kudos: 1,101
Posts: 222
Kudos: 268
Kudos
Add Kudos
Bookmarks
Bookmark this Post
Bunuel chetan2u
Hi experts, I was wondering if there was an easier way to solve this problem? The solutions given above will take more than 2 mins to solve.
User avatar
chetan2u
User avatar
GMAT Expert
Joined: 02 Aug 2009
Last visit: 22 Apr 2026
Posts: 11,229
Own Kudos:
45,001
 [3]
Given Kudos: 335
Status:Math and DI Expert
Location: India
Concentration: Human Resources, General Management
GMAT Focus 1: 735 Q90 V89 DI81
Products:
Expert
Expert reply
GMAT Focus 1: 735 Q90 V89 DI81
Posts: 11,229
Kudos: 45,001
 [3]
3
Kudos
Add Kudos
Bookmarks
Bookmark this Post
csaluja
Bunuel chetan2u
Hi experts, I was wondering if there was an easier way to solve this problem? The solutions given above will take more than 2 mins to solve.


Hi..

I) Logically if you look at the question, you can eliminate 3 choices..
Both have fair chances, so should have almost equal chances. A and B choice give very less probability to Juliet, so eliminate them
But only difference is that Romeo gets the first try, so his probability should be more and both cannot be equal. hence eliminate E
C and D are close but your probability becomes 50% to choose the correct choice.

II) Geometric Progression
It is a GP question and can be solved in a minute if you know the formula for an infinity....
J can fin in his first chance only if R does not win on first chance.. so R can pick any remaining 5 so \(\frac{5}{6}\), then J has to pick 6 so \(\frac{1}{6}\)..P = \(\frac{5}{6}*\frac{1}{6}\)
J can win in his next throw, if the first three throws have had any of other 5 numbers thus \(\frac{5}{6}*\frac{5}{6}*\frac{5}{6}*\frac{1}{6}\)
So P = \(\frac{5}{6}*\frac{1}{6}\)+\(\frac{5}{6}*\frac{5}{6}*\frac{5}{6}*\frac{1}{6}\)+.....
so r = \(\frac{5}{6}^2\)
formula is \(\frac{a}{1-r}\)=\((\frac{5}{6}*\frac{1}{6})/(1-\frac{5}{6}^2)=(\frac{5}{36})/\frac{11}{36}=\frac{5}{11}\)
User avatar
Archit3110
User avatar
Major Poster
Joined: 18 Aug 2017
Last visit: 23 Apr 2026
Posts: 8,628
Own Kudos:
5,190
 [1]
Given Kudos: 243
Status:You learn more from failure than from success.
Location: India
Concentration: Sustainability, Marketing
GMAT Focus 1: 545 Q79 V79 DI73
GMAT Focus 2: 645 Q83 V82 DI81
GPA: 4
WE:Marketing (Energy)
Products:
GMAT Focus 2: 645 Q83 V82 DI81
Posts: 8,628
Kudos: 5,190
 [1]
1
Kudos
Add Kudos
Bookmarks
Bookmark this Post
Romeo and Juliet play a dice game in which the two participants take turns rolling a single fair six-sided die. The first player to roll a 6 wins. If Romeo rolls first, what is the probability that Juliet will win?

A) 1/4
B) 1/3
C) 4/9
D) 5/11
E) 1/2

GMATinsight: Sir is there any other way to solve this probability question apart from using GP expression which other experts have also used?
User avatar
GMATinsight
User avatar
Major Poster
Joined: 08 Jul 2010
Last visit: 23 Apr 2026
Posts: 6,976
Own Kudos:
16,906
 [2]
Given Kudos: 128
Status:GMAT/GRE Tutor l Admission Consultant l On-Demand Course creator
Location: India
GMAT: QUANT+DI EXPERT
Schools: IIM (A) ISB '24
GMAT 1: 750 Q51 V41
WE:Education (Education)
Products:
Expert
Expert reply
Schools: IIM (A) ISB '24
GMAT 1: 750 Q51 V41
Posts: 6,976
Kudos: 16,906
 [2]
2
Kudos
Add Kudos
Bookmarks
Bookmark this Post
Archit3110
Romeo and Juliet play a dice game in which the two participants take turns rolling a single fair six-sided die. The first player to roll a 6 wins. If Romeo rolls first, what is the probability that Juliet will win?

A) 1414
B) 1313
C) 4949
D) 511511
E) 12

GMATinsight: Sir is there any other way to solve this probability question apart from using GP expression which other experts have also used?

No, I am unable to think any alternative method to solve this other than coming down to the following calculation

For juliet to win

Case 1: Romeo gets a number other than 6 and juliet in first throw gets 6
Probability \(= (5/6)*(1/6)\)

Case 2: Romeo gets a number other than 6 on two successive throws and juliet in first throw gets other than 6 and in second throw gets a 6
Probability \(= (5/6)*(5/6)*(5/6)*(1/6) = (5/6)^3*(1/6)\)

Case 3: Romeo gets a number other than 6 on three successive throws and juliet in first two throw gets other than 6 and in third throw gets a 6
Probability \(= (5/6)*(5/6)*(5/6)*(5/6)*(5/6)*(1/6) = (5/6)^5*(1/6)\)

and so on...

Total Probability \(= (5/6)*(1/6) + (5/6)^3*(1/6) + (5/6)^5*(1/6) + --- = (1/6)*[(5/6)+(125/216)+---] =\)

which eventually requires sum of an infinite GP which may conveniently be called beyond GMAT scope.

Archit3110
User avatar
CAMANISHPARMAR
Joined: 12 Feb 2015
Last visit: 13 Mar 2022
Posts: 1,016
Own Kudos:
Given Kudos: 77
Posts: 1,016
Kudos: 2,552
Kudos
Add Kudos
Bookmarks
Bookmark this Post
VeritasKarishma
CAMANISHPARMAR
Romeo and Juliet play a dice game in which the two participants take turns rolling a single fair six-sided die. The first player to roll a 6 wins. If Romeo rolls first, what is the probability that Juliet will win?

A) \(\frac{1}{4}\)
B) \(\frac{1}{3}\)
C) \(\frac{4}{9}\)
D) \(\frac{5}{11}\)
E) \(\frac{1}{2}\)

You don't need to use the GP formula if you don't want to. Here is how:

\(P(Romeo) = \frac{1}{6} + (\frac{5}{6}*\frac{5}{6}*\frac{1}{6}) + (\frac{5}{6}*\frac{5}{6}*\frac{5}{6}*\frac{5}{6}*\frac{1}{6}) + ...\) ... (I)

\(P(Juliet) = (\frac{5}{6}*\frac{1}{6}) + (\frac{5}{6}*\frac{5}{6}*\frac{5}{6}*\frac{1}{6}) + ...\) ... (II)

Substituting (II) into (I), we get

\(P(Romeo) = \frac{1}{6} + (\frac{5}{6})*P(Juliet)\)

But, \(P(Romeo) + P(Juliet) = 1\)
So,
\(1 - P(Juliet) = \frac{1}{6} + (\frac{5}{6})*P(Juliet)\)

\(P(Juliet) = \frac{5}{11}\)

Answer (D)

Your thinking is always supercool :) ...... you always think out of the box!! Needless to say that this post deserves a kudos :)
User avatar
Mananjain
Joined: 13 Jul 2020
Last visit: 21 Mar 2024
Posts: 8
Own Kudos:
Given Kudos: 15
Location: India
Schools: ISB '24
GMAT 1: 670 Q50 V30
GMAT 2: 690 Q50 V31
GPA: 4
Schools: ISB '24
GMAT 2: 690 Q50 V31
Posts: 8
Kudos: 1
Kudos
Add Kudos
Bookmarks
Bookmark this Post
CAMANISHPARMAR
Romeo and Juliet play a dice game in which the two participants take turns rolling a single fair six-sided die. The first player to roll a 6 wins. If Romeo rolls first, what is the probability that Juliet will win?

A) \(\frac{1}{4}\)
B) \(\frac{1}{3}\)
C) \(\frac{4}{9}\)
D) \(\frac{5}{11}\)
E) \(\frac{1}{2}\)


Solution:
P(6) = 1/6
P (winning) = 1/6P (losing) = 5/6
Romeo goes first and we need to find P(Juliet winning)
Juliet wil make 2nd, 4th, 6th, 8th, 10th, etc. number of rolls
P (Juliet winning) = P(Juliet winning in 2nd roll) + P(Juliet winning on 4th roll) + P(Juliet winning on 6th roll ) + .......
P(Juliet winning on 2nd roll) = P(Romeo losing on 1st) * p(Juliet winning on 2nd) = 5/6 * 1/6P(Juliet winning on 4th roll) = P(Romeo losing on 1st)* p(Juliet losing on 2nd) * P(Romeo losing on 3rd) + P(Juliet winning on 4th) = 5/6 * 5/6 * 5/6 * 1/6------
P(Juliet winning) = 5/6 * 1/6 + 5/6*5/6*5/6 * 1/6 + ....This becomes an infinite GP with 1st term = 5/6 * 1/6  and common difference = 5/6*5/6
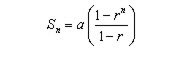
S(Infinite GP) = a/(1-r) = {5/6* 1/6} / {1 - 5/6 * 5/6}= 5/11
Hope this helps!
User avatar
adewale223
Joined: 07 Oct 2022
Last visit: 14 Apr 2026
Posts: 113
Own Kudos:
Given Kudos: 45
Location: Nigeria
Posts: 113
Kudos: 76
Kudos
Add Kudos
Bookmarks
Bookmark this Post
Possibilities

1st Case

Ro 5/6 Ju 1/6

5/6 x 1/6 = 5/36


2nd Case

5/6 x 5/6 x 5/6 x 1/6 = 5/36 x 25/36


3rd Case

5/6 x 5/6 x 5/6 x 5/6 x 5/6 x 1/6

5/36 x 25/36 x 25/36


And so on. It is obvious the term forms a GP with common ratio 25/36

Probability that Juliet wins


Sum to infinity

S = a/1-r

5/36/1-25/36

5/36 x 36/11

5/11. Answer choice D
https://www.teacheron.com/tutor-profile/8tG7?r=8tG7
User avatar
Kinshook
User avatar
Major Poster
Joined: 03 Jun 2019
Last visit: 23 Apr 2026
Posts: 5,986
Own Kudos:
Given Kudos: 163
Location: India
GMAT 1: 690 Q50 V34
WE:Engineering (Transportation)
Products:
GMAT 1: 690 Q50 V34
Posts: 5,986
Kudos: 5,858
Kudos
Add Kudos
Bookmarks
Bookmark this Post
Given: Romeo and Juliet play a dice game in which the two participants take turns rolling a single fair six-sided die. The first player to roll a 6 wins.
Asked: If Romeo rolls first, what is the probability that Juliet will win?

The probability that Juliet will win = \(\frac{5}{6}*\frac{1}{6} + \frac{5}{6}*\frac{5}{6}*\frac{5}{6}*\frac{1}{6} + (\frac{5}{6})^5(\frac{1}{6}) + ...\\
= (\frac{5}{36}) * 1/(1-\frac{25}{36}) = \frac{5}{36} * \frac{36}{11} = \frac{5}{11}\)

IMO D
User avatar
samarpan.g28
Joined: 08 Dec 2023
Last visit: 18 Feb 2026
Posts: 315
Own Kudos:
Given Kudos: 1,236
Location: India
Concentration: General Management, Human Resources
GPA: 8.88
WE:Engineering (Technology)
Kudos
Add Kudos
Bookmarks
Bookmark this Post
CAMANISHPARMAR
Romeo and Juliet play a dice game in which the two participants take turns rolling a single fair six-sided die. The first player to roll a 6 wins. If Romeo rolls first, what is the probability that Juliet will win?

A) \(\frac{1}{4}\)
B) \(\frac{1}{3}\)
C) \(\frac{4}{9}\)
D) \(\frac{5}{11}\)
E) \(\frac{1}{2}\)
Can someone please help me understand, if "the two participants take turns rolling a single fair six-sided die", why are we considering R and J to take more than 1 turn in each case? What I mean to say is, in the first attempt, R gets one chance and J gets one chance so (5/6)*(1/6), understood. Why in the second attempt R and J bot get 2 consecutive chances?
User avatar
Regor60
Joined: 21 Nov 2021
Last visit: 19 Apr 2026
Posts: 529
Own Kudos:
420
 [1]
Given Kudos: 462
Posts: 529
Kudos: 420
 [1]
1
Kudos
Add Kudos
Bookmarks
Bookmark this Post
samarpan.g28
CAMANISHPARMAR
Romeo and Juliet play a dice game in which the two participants take turns rolling a single fair six-sided die. The first player to roll a 6 wins. If Romeo rolls first, what is the probability that Juliet will win?

A) \(\frac{1}{4}\)
B) \(\frac{1}{3}\)
C) \(\frac{4}{9}\)
D) \(\frac{5}{11}\)
E) \(\frac{1}{2}\)
Can someone please help me understand, if "the two participants take turns rolling a single fair six-sided die", why are we considering R and J to take more than 1 turn in each case? What I mean to say is, in the first attempt, R gets one chance and J gets one chance so (5/6)*(1/6), understood. Why in the second attempt R and J bot get 2 consecutive chances?

They don't get two consecutive chances.

For the second attempt to exist both R and J need to lose their first attempts, so the second attempt reflects 5/6 chance R loses first, 5/6 chance J also misses first attempt, then R misses with 5/6 on 2nd attempt, etcetera

Posted from my mobile device
User avatar
samarpan.g28
Joined: 08 Dec 2023
Last visit: 18 Feb 2026
Posts: 315
Own Kudos:
Given Kudos: 1,236
Location: India
Concentration: General Management, Human Resources
GPA: 8.88
WE:Engineering (Technology)
Kudos
Add Kudos
Bookmarks
Bookmark this Post
Regor60
samarpan.g28
CAMANISHPARMAR
Romeo and Juliet play a dice game in which the two participants take turns rolling a single fair six-sided die. The first player to roll a 6 wins. If Romeo rolls first, what is the probability that Juliet will win?

A) \(\frac{1}{4}\)
B) \(\frac{1}{3}\)
C) \(\frac{4}{9}\)
D) \(\frac{5}{11}\)
E) \(\frac{1}{2}\)
Can someone please help me understand, if "the two participants take turns rolling a single fair six-sided die", why are we considering R and J to take more than 1 turn in each case? What I mean to say is, in the first attempt, R gets one chance and J gets one chance so (5/6)*(1/6), understood. Why in the second attempt R and J bot get 2 consecutive chances?

They don't get two consecutive chances.

For the second attempt to exist both R and J need to lose their first attempts, so the second attempt reflects 5/6 chance R loses first, 5/6 chance J also misses first attempt, then R misses with 5/6 on 2nd attempt, etcetera

Posted from my mobile device

I understand now. Thank you for helping.
User avatar
Bunuel
User avatar
Math Expert
Joined: 02 Sep 2009
Last visit: 23 Apr 2026
Posts: 109,779
Own Kudos:
810,802
 [1]
Given Kudos: 105,853
Products:
Expert
Expert reply
Active GMAT Club Expert! Tag them with @ followed by their username for a faster response.
Posts: 109,779
Kudos: 810,802
 [1]
1
Kudos
Add Kudos
Bookmarks
Bookmark this Post
samarpan.g28
CAMANISHPARMAR
Romeo and Juliet play a dice game in which the two participants take turns rolling a single fair six-sided die. The first player to roll a 6 wins. If Romeo rolls first, what is the probability that Juliet will win?

A) \(\frac{1}{4}\)
B) \(\frac{1}{3}\)
C) \(\frac{4}{9}\)
D) \(\frac{5}{11}\)
E) \(\frac{1}{2}\)
Can someone please help me understand, if "the two participants take turns rolling a single fair six-sided die", why are we considering R and J to take more than 1 turn in each case? What I mean to say is, in the first attempt, R gets one chance and J gets one chance so (5/6)*(1/6), understood. Why in the second attempt R and J bot get 2 consecutive chances?

The probability of Juliet winning after the first round is 5/6*1/6. However, if both Romeo and Juliet fail to roll a 6 in their first attempt, the game continues. The probability for Juliet to win in her next turn can be calculated as follows: P(Romeo not 6)*P(Juliet not 6)*P(Romeo not 6)*P(Juliet 6) = 5/6*5/6*5/6*1/6. This pattern is repeated for each subsequent round.

Hope it's clear.
User avatar
samarpan.g28
Joined: 08 Dec 2023
Last visit: 18 Feb 2026
Posts: 315
Own Kudos:
Given Kudos: 1,236
Location: India
Concentration: General Management, Human Resources
GPA: 8.88
WE:Engineering (Technology)
Kudos
Add Kudos
Bookmarks
Bookmark this Post
Bunuel
samarpan.g28
CAMANISHPARMAR
Romeo and Juliet play a dice game in which the two participants take turns rolling a single fair six-sided die. The first player to roll a 6 wins. If Romeo rolls first, what is the probability that Juliet will win?

A) \(\frac{1}{4}\)
B) \(\frac{1}{3}\)
C) \(\frac{4}{9}\)
D) \(\frac{5}{11}\)
E) \(\frac{1}{2}\)
Can someone please help me understand, if "the two participants take turns rolling a single fair six-sided die", why are we considering R and J to take more than 1 turn in each case? What I mean to say is, in the first attempt, R gets one chance and J gets one chance so (5/6)*(1/6), understood. Why in the second attempt R and J bot get 2 consecutive chances?

The probability of Juliet winning after the first round is 5/6*1/6. However, if both Romeo and Juliet fail to roll a 6 in their first attempt, the game continues. The probability for Juliet to win in her next turn can be calculated as follows: P(Romeo not 6)*P(Juliet not 6)*P(Romeo not 6)*P(Juliet 6) = 5/6*5/6*5/6*1/6. This pattern is repeated for each subsequent round.

Hope it's clear.

Yes it is clear to me now. Thank you very much.
User avatar
bumpbot
User avatar
Non-Human User
Joined: 09 Sep 2013
Last visit: 04 Jan 2021
Posts: 38,965
Own Kudos:
Posts: 38,965
Kudos: 1,117
Kudos
Add Kudos
Bookmarks
Bookmark this Post
Automated notice from GMAT Club BumpBot:

A member just gave Kudos to this thread, showing it’s still useful. I’ve bumped it to the top so more people can benefit. Feel free to add your own questions or solutions.

This post was generated automatically.
Moderators:
Math Expert
109779 posts
Tuck School Moderator
853 posts