Last visit was: 25 Apr 2026, 21:38 It is currently 25 Apr 2026, 21:38
Close
GMAT Club Daily Prep
Thank you for using the timer - this advanced tool can estimate your performance and suggest more practice questions. We have subscribed you to Daily Prep Questions via email.

Customized
for You

we will pick new questions that match your level based on your Timer History

Track
Your Progress

every week, we’ll send you an estimated GMAT score based on your performance

Practice
Pays

we will pick new questions that match your level based on your Timer History
Not interested in getting valuable practice questions and articles delivered to your email? No problem, unsubscribe here.
Close
Request Expert Reply
Confirm Cancel
User avatar
GMATinsight
User avatar
Major Poster
Joined: 08 Jul 2010
Last visit: 25 Apr 2026
Posts: 6,977
Own Kudos:
16,918
 [4]
Given Kudos: 128
Status:GMAT/GRE Tutor l Admission Consultant l On-Demand Course creator
Location: India
GMAT: QUANT+DI EXPERT
Schools: IIM (A) ISB '24
GMAT 1: 750 Q51 V41
WE:Education (Education)
Products:
Expert
Expert reply
Schools: IIM (A) ISB '24
GMAT 1: 750 Q51 V41
Posts: 6,977
Kudos: 16,918
 [4]
Kudos
Add Kudos
4
Bookmarks
Bookmark this Post
avatar
Fightingspirit
Joined: 26 Dec 2017
Last visit: 24 Nov 2020
Posts: 9
Own Kudos:
Given Kudos: 27
Posts: 9
Kudos: 5
Kudos
Add Kudos
Bookmarks
Bookmark this Post
avatar
ajaymahadev
Joined: 13 Nov 2019
Last visit: 25 Feb 2020
Posts: 26
Own Kudos:
11
 [2]
Given Kudos: 59
Location: India
Concentration: International Business, Marketing
GPA: 4
Posts: 26
Kudos: 11
 [2]
2
Kudos
Add Kudos
Bookmarks
Bookmark this Post
User avatar
firas92
User avatar
Current Student
Joined: 16 Jan 2019
Last visit: 02 Dec 2024
Posts: 616
Own Kudos:
Given Kudos: 142
Location: India
Concentration: General Management
GMAT 1: 740 Q50 V40
WE:Sales (Other)
Products:
GMAT 1: 740 Q50 V40
Posts: 616
Kudos: 1,766
Kudos
Add Kudos
Bookmarks
Bookmark this Post
ajaymahadev
Kudos will be highly appreciated.

Hi ajaymahadev

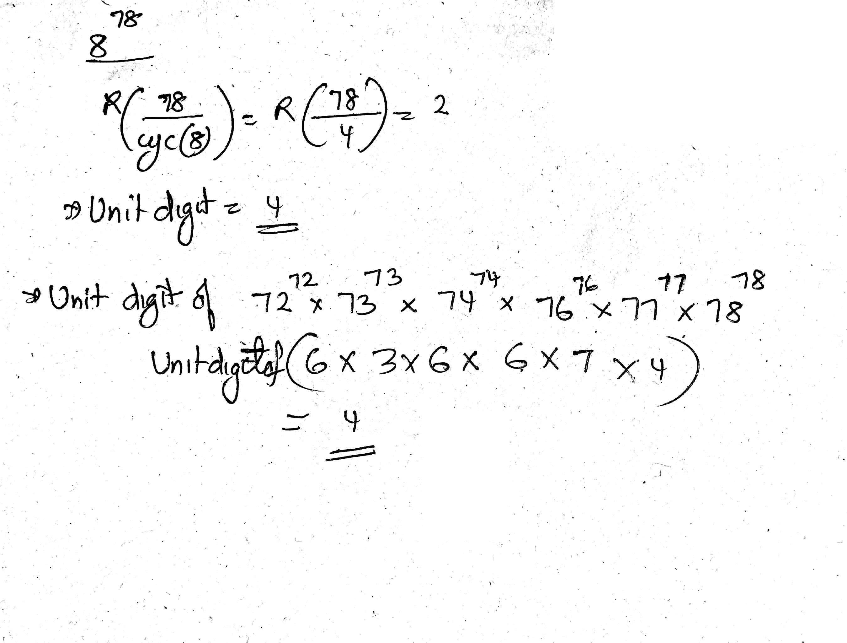
What do you mean by \(R(\frac{78}{4})=0\)?

Posted from my mobile device
avatar
ajaymahadev
Joined: 13 Nov 2019
Last visit: 25 Feb 2020
Posts: 26
Own Kudos:
Given Kudos: 59
Location: India
Concentration: International Business, Marketing
GPA: 4
Posts: 26
Kudos: 11
Kudos
Add Kudos
Bookmarks
Bookmark this Post
firas92
ajaymahadev
Kudos will be highly appreciated.

Hi ajaymahadev

What do you mean by \(R(\frac{78}{4})=0\)?

Posted from my mobile device


Careless mistake from my part. Sorry. The remainder of 78/4 is 2. Edited the answer. The answer is 4.
avatar
ajaymahadev
Joined: 13 Nov 2019
Last visit: 25 Feb 2020
Posts: 26
Own Kudos:
Given Kudos: 59
Location: India
Concentration: International Business, Marketing
GPA: 4
Posts: 26
Kudos: 11
Kudos
Add Kudos
Bookmarks
Bookmark this Post
The official answer is wrong. The answer is 4.

Posted from my mobile device
User avatar
Abhishek009
User avatar
Board of Directors
Joined: 11 Jun 2011
Last visit: 17 Dec 2025
Posts: 5,902
Own Kudos:
Given Kudos: 463
Status:QA & VA Forum Moderator
Location: India
GPA: 3.5
WE:Business Development (Commercial Banking)
Posts: 5,902
Kudos: 5,456
Kudos
Add Kudos
Bookmarks
Bookmark this Post
GMATinsight
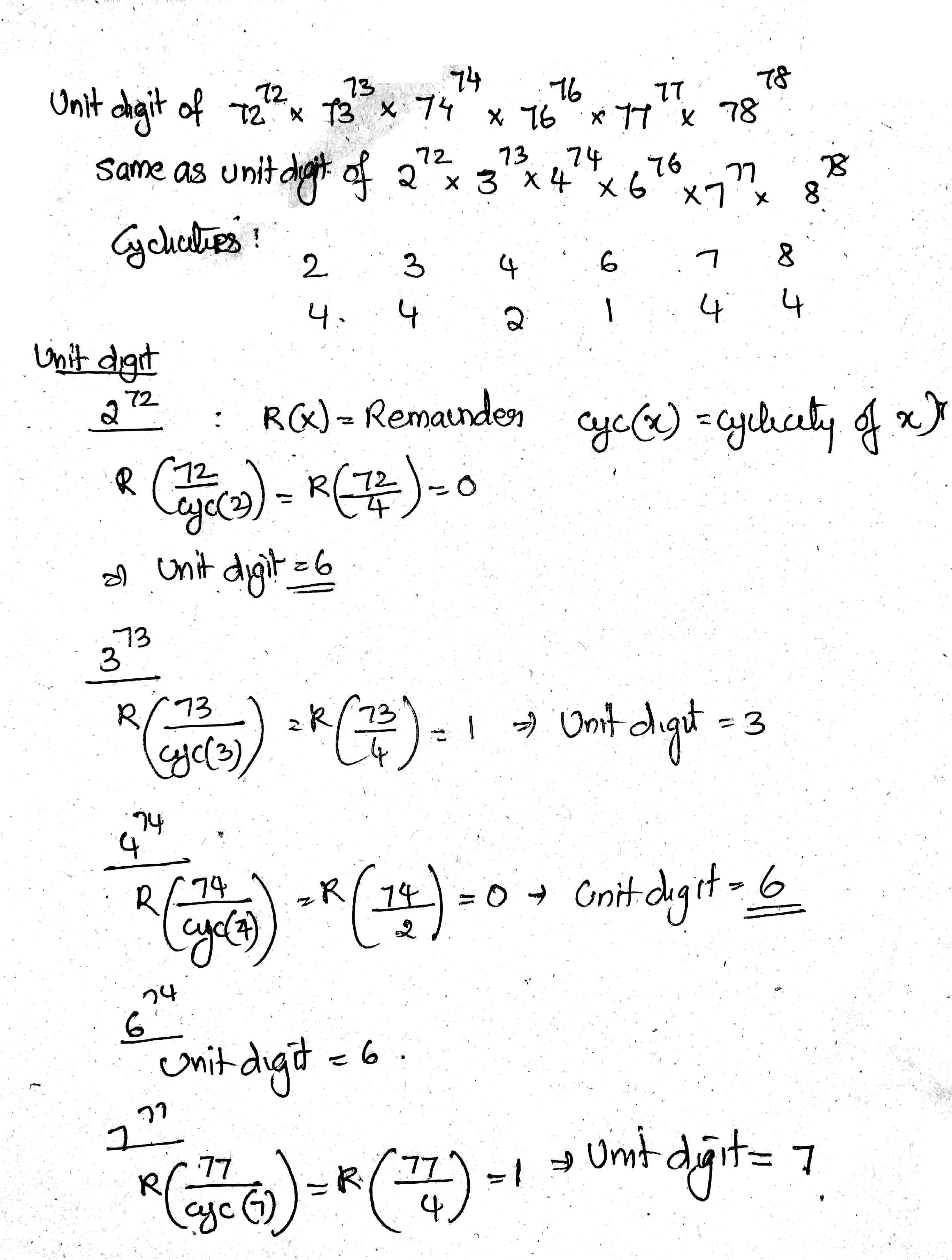
Find the unit digit of

\(72^{72}*73^{73}*74^{74}*76^{76}*77^{77}*78^{78}\)

A) 2
B) 4
c) 6
D) 8
E) None of these

Source: https://www.GMATinsight.com

\(72^{4*18}*73^{18*4+1}*74^{2*37}*76^{76}*77^{4*19+1}*78^{4*19+2}\)

72^4k = Will have units digit as 6
73^4k will have units digit 1 * 73 = Units digit 3
74^2k will have units digit as 6
76^k will have units digit as 6
77^4k will have units digit as 1 * 7 = Units digit 7
78^4k will have units digit as 6 * 4 = units 4

Multiply all 6*3*6*6*7*4 = 4 Units digit, Answer must be (B)
User avatar
bumpbot
User avatar
Non-Human User
Joined: 09 Sep 2013
Last visit: 04 Jan 2021
Posts: 38,986
Own Kudos:
Posts: 38,986
Kudos: 1,118
Kudos
Add Kudos
Bookmarks
Bookmark this Post
Automated notice from GMAT Club BumpBot:

A member just gave Kudos to this thread, showing it’s still useful. I’ve bumped it to the top so more people can benefit. Feel free to add your own questions or solutions.

This post was generated automatically.
Moderators:
Math Expert
109830 posts
Tuck School Moderator
852 posts