Last visit was: 22 Apr 2026, 08:26 It is currently 22 Apr 2026, 08:26
Close
GMAT Club Daily Prep
Thank you for using the timer - this advanced tool can estimate your performance and suggest more practice questions. We have subscribed you to Daily Prep Questions via email.

Customized
for You

we will pick new questions that match your level based on your Timer History

Track
Your Progress

every week, we’ll send you an estimated GMAT score based on your performance

Practice
Pays

we will pick new questions that match your level based on your Timer History
Not interested in getting valuable practice questions and articles delivered to your email? No problem, unsubscribe here.
Close
Request Expert Reply
Confirm Cancel
User avatar
chetan2u
User avatar
GMAT Expert
Joined: 02 Aug 2009
Last visit: 22 Apr 2026
Posts: 11,229
Own Kudos:
44,992
 [37]
Given Kudos: 335
Status:Math and DI Expert
Location: India
Concentration: Human Resources, General Management
GMAT Focus 1: 735 Q90 V89 DI81
Products:
Expert
Expert reply
GMAT Focus 1: 735 Q90 V89 DI81
Posts: 11,229
Kudos: 44,992
 [37]
1
Kudos
Add Kudos
36
Bookmarks
Bookmark this Post
Most Helpful Reply
User avatar
HarshavardhanR
Joined: 16 Mar 2023
Last visit: 22 Apr 2026
Posts: 488
Own Kudos:
574
 [6]
Given Kudos: 67
Status:Independent GMAT Tutor
Affiliations: Ex - Director, Subject Matter Expertise at e-GMAT
Products:
Expert
Expert reply
Active GMAT Club Expert! Tag them with @ followed by their username for a faster response.
Posts: 488
Kudos: 574
 [6]
3
Kudos
Add Kudos
3
Bookmarks
Bookmark this Post
User avatar
chetan2u
User avatar
GMAT Expert
Joined: 02 Aug 2009
Last visit: 22 Apr 2026
Posts: 11,229
Own Kudos:
44,992
 [5]
Given Kudos: 335
Status:Math and DI Expert
Location: India
Concentration: Human Resources, General Management
GMAT Focus 1: 735 Q90 V89 DI81
Products:
Expert
Expert reply
GMAT Focus 1: 735 Q90 V89 DI81
Posts: 11,229
Kudos: 44,992
 [5]
Kudos
Add Kudos
5
Bookmarks
Bookmark this Post
General Discussion
User avatar
MBhavya
Joined: 28 May 2023
Last visit: 06 Jan 2026
Posts: 16
Own Kudos:
Given Kudos: 178
Location: India
GMAT Focus 1: 595 Q82 V81 DI76
GPA: 8.32
WE:Business Development (Non-Profit)
GMAT Focus 1: 595 Q82 V81 DI76
Posts: 16
Kudos: 8
Kudos
Add Kudos
Bookmarks
Bookmark this Post
Bunuel , KarishmaB , ScottTargetTestPrep Please help with this question. I am not able to figure it out.
User avatar
Oppenheimer1945
Joined: 16 Jul 2019
Last visit: 21 Apr 2026
Posts: 786
Own Kudos:
663
 [1]
Given Kudos: 236
Location: India
GMAT Focus 1: 645 Q90 V76 DI80
GPA: 7.81
1
Kudos
Add Kudos
Bookmarks
Bookmark this Post
no of digits=D
no of vowels=v
no of consonants=c

=> d(d-1)/9.10=0.1 -0.33
=> v(v-1)/9.10=0.01-0.1
=> d=4,5
=> v=2,3
=> (d+v)_min=6, (d+v)_max=8
=> c_max=4, c_min=2

Posted from my mobile device
User avatar
isha_k
Joined: 21 Aug 2023
Last visit: 11 Jan 2025
Posts: 6
Own Kudos:
7
 [2]
Given Kudos: 79
Location: India
Concentration: Strategy, Finance
GMAT Focus 1: 665 Q86 V81 DI82
GPA: 8.6
Products:
GMAT Focus 1: 665 Q86 V81 DI82
Posts: 6
Kudos: 7
 [2]
1
Kudos
Add Kudos
1
Bookmarks
Bookmark this Post
­For first condition (to choose two digits ) there are only 2 possible scenarios 5C2/10C2 or 4C2/10C2 which gives us probability b/w 10 & 33% .... the no of possible digits are 4 or 5

this implies that no of alphabets are either 5 or 6 

Using second condition to choose vowels there are again only 2 possible scenarios 2C2/10C2 or 3C2/10C2 which gives us probability between 1 & 10% 

Now if there are (2,3) vowels out of (5,6) alphabets then max consonents: 6-2 =4 & min consonents: 5-3 = 2


 ­
User avatar
adgarg
Joined: 02 Feb 2023
Last visit: 21 Dec 2024
Posts: 27
Own Kudos:
Given Kudos: 31
Location: India
Posts: 27
Kudos: 3
Kudos
Add Kudos
Bookmarks
Bookmark this Post
chetan2u
If element is just 1: \(\frac{1}{10} * \frac{0}{9} = 0\)%
If there are two elements: \(\frac{2}{10} * \frac{1}{9} = \frac{1}{45} \ \ or \ \ \frac{100}{45} \) % = 2.xy%
If there are three elements: \(\frac{3}{10} * \frac{2}{9} = \frac{1}{15} \ \ or \ \ \frac{100}{15}\)% = 6.xy %
If there are four elements: \(\frac{4}{10} * \frac{3}{9} = \frac{2}{15} \ \ or \ \ \frac{200}{15}\)% = 12.xy %
If there are five elements: \(\frac{5}{10} * \frac{4}{9} = \frac{2}{9} \ \ or \ \ \frac{200}{9}\)% = 22.22 %
If there are six elements: \(\frac{6}{10} * \frac{5}{9} = \frac{1}{3} \ \ or \ \ \frac{100}{3}\)% = 33.33 %
chetan2u can you please explain how did you form these equations? Very confused
User avatar
crimson_noise
Joined: 14 May 2024
Last visit: 21 Apr 2026
Posts: 57
Own Kudos:
Given Kudos: 14
GMAT Focus 1: 615 Q80 V85 DI77
GMAT Focus 1: 615 Q80 V85 DI77
Posts: 57
Kudos: 21
Kudos
Add Kudos
Bookmarks
Bookmark this Post
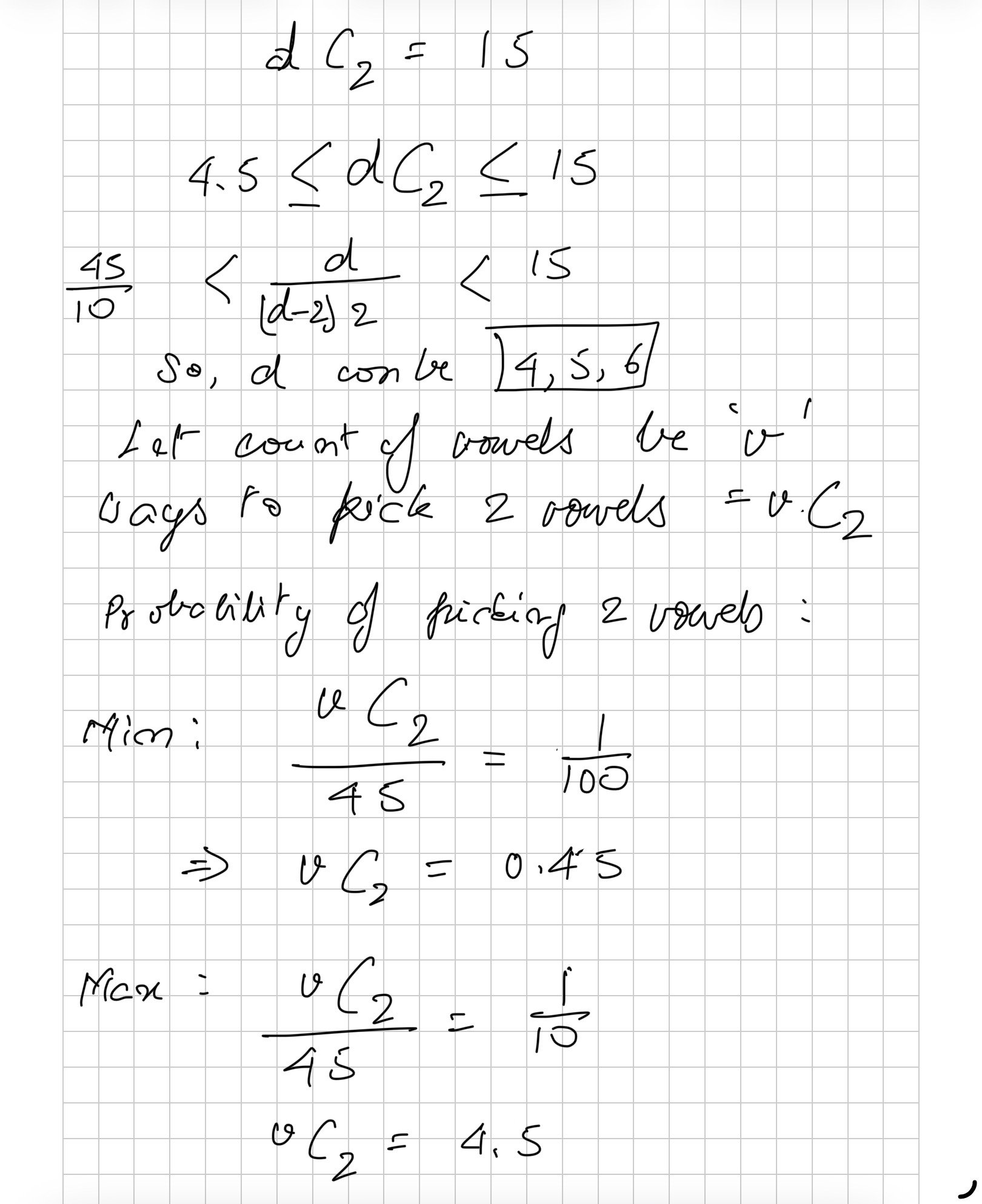
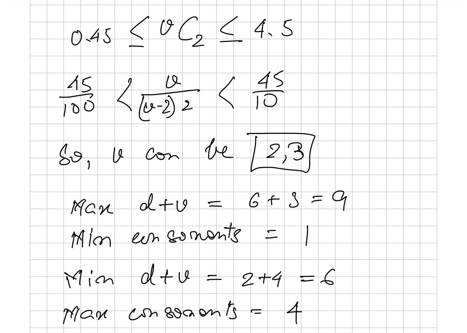
Solution:
Attachment:
IMG_0197.jpeg
IMG_0197.jpeg [ 326.38 KiB | Viewed 102 times ]
Attachment:
IMG_0198.jpeg
IMG_0198.jpeg [ 365.02 KiB | Viewed 101 times ]
Attachment:
IMG_0199.jpeg
IMG_0199.jpeg [ 219.86 KiB | Viewed 96 times ]
Moderators:
Math Expert
109745 posts
498 posts
211 posts