Last visit was: 21 Apr 2026, 07:34 It is currently 21 Apr 2026, 07:34
Close
GMAT Club Daily Prep
Thank you for using the timer - this advanced tool can estimate your performance and suggest more practice questions. We have subscribed you to Daily Prep Questions via email.

Customized
for You

we will pick new questions that match your level based on your Timer History

Track
Your Progress

every week, we’ll send you an estimated GMAT score based on your performance

Practice
Pays

we will pick new questions that match your level based on your Timer History
Not interested in getting valuable practice questions and articles delivered to your email? No problem, unsubscribe here.
Close
Request Expert Reply
Confirm Cancel
User avatar
chan4312
Joined: 04 Jun 2008
Last visit: 15 Sep 2008
Posts: 76
Own Kudos:
445
 [331]
Posts: 76
Kudos: 445
 [331]
34
Kudos
Add Kudos
295
Bookmarks
Bookmark this Post
Most Helpful Reply
User avatar
Bunuel
User avatar
Math Expert
Joined: 02 Sep 2009
Last visit: 21 Apr 2026
Posts: 109,724
Own Kudos:
Given Kudos: 105,798
Products:
Expert
Expert reply
Active GMAT Club Expert! Tag them with @ followed by their username for a faster response.
Posts: 109,724
Kudos: 810,393
 [133]
38
Kudos
Add Kudos
95
Bookmarks
Bookmark this Post
User avatar
KarishmaB
Joined: 16 Oct 2010
Last visit: 21 Apr 2026
Posts: 16,438
Own Kudos:
79,369
 [77]
Given Kudos: 484
Location: Pune, India
Expert
Expert reply
Active GMAT Club Expert! Tag them with @ followed by their username for a faster response.
Posts: 16,438
Kudos: 79,369
 [77]
48
Kudos
Add Kudos
29
Bookmarks
Bookmark this Post
User avatar
jallenmorris
Joined: 30 Apr 2008
Last visit: 09 Oct 2014
Posts: 1,226
Own Kudos:
967
 [62]
Given Kudos: 32
Location: Oklahoma City
Concentration: Life
Schools:Hard Knocks
Posts: 1,226
Kudos: 967
 [62]
35
Kudos
Add Kudos
27
Bookmarks
Bookmark this Post
n = 159. Working on an explanation.

It turns out that there are 79 individual even numbers and the average of each is 80. Hence the 79*80 = the sum of even numbers from 1 to n. Why is this true?

Lets use a smaller sum to illustrate the rule:

lets say the sum of even integers from 1 to n is 10*11 where n is an odd number. What does it mean "Where n is an odd number?" It means that when we find the value of the highest even number in the progression, we must add 1 to get n. That's all.

Back to 1 to n = 10*11. It's easier to see here becuase you can write out 10 * 11 = 110
2 + 4 + 6 + 8 + 10 + 12 + 14 + 16 + 18 + 20 + 22 + 24 + 26 + 28 + 30 + 32...that should cover it.

You won't need to do this on the exam once you see the rule. These steps are just to illustrate the rule.

If you have the first 5 even numbers, which is 2, 4 , 6, 8 and 10. The sum is 30. (2+8=10)(4+6=10) and (10) = sum of 30. what's the average of this? Average = 6. 30 / 5 numbers = 6. If you represented the total as a product of 2 numbers, it could be 5*6. Happens to be 5 numbers * the average of those numbers.

So 79*80 is the folowing. 79 total numbers, and 80 is the average of those numbers. It happens to be here that there are 79 even numbers. If you get a question like this again, the number of numbers will be the smaller number...79 rather than 80. So, now we double 79 to get the actual value of the highest even number because 79 is the number of even numbers. so 79 * 2 = 158. But n is an odd number as indicated in the stem, so 158 + 1 to get the next odd number that would not include another even number. 161 would include 160 and throw the total off.

What happens if you get something like this:

The sum of all even numbers from 1 to n, where n is odd, is 6320. They don't tell you it's 79*80. Are we screwed now? No.

Apply this rule:

You need to find 2 perfect squares. The nearest one that is below your total and the nearest one that is above your total. For the 79*80 example..79*79 is going to be 6241 and 80*80 is going to be 6400. These surround the value presented of 6320. What signifiance does this have?

If you take the square of the high number and subtract out the value given (6400 - 6320) you get 80.

If you take the number given and subtract out the low number, you get 79. (6320 - 6241). Magic!!!

These are your numbers you need to answer the question. It gives you 79 numbers at the average of 80. so 79*2 because it's even, then if the question says n is the next odd, the answer is 159.

Check this on a random example:

The sum of the even numbers between 1 and n is 39800 where n is odd. What is the value of n?

This is a crazy high number, but i've made it somewhat easy for you as you can see that 40,000 is higher and 4 is a square of 2, but that 4 has four zeros after it, so add half of those zeros to 2. So you have 200 (two zeros). You have to account for all zeros, but it's a square, so the other number would need the other "half" of the zeros in the original number. Square root of 16,000,000 is 4000. 6 zeros after 16 and 16 is the square of 4, so 4 + 3 zeros. Back to the task at hand.

So once you see that 200 is the closest perfect square to the high side, you just take 200 -1 to get 199 * 200. If you want, do the math and 200 * 199 = 39800. Follow the same rules as before. Double 199 to 398, add 1 if you need to know n as an odd number for n = 399.

If you get an odd progression, the total of all odd numbers from 1 to n...the total will always be a perfect square of (n+1)/2. For example:

If the sum of a certain number of odd integers is 441, how many integers are there? The answer will be \(sqrt{441}=21\)
General Discussion
User avatar
KarishmaB
Joined: 16 Oct 2010
Last visit: 21 Apr 2026
Posts: 16,438
Own Kudos:
79,369
 [11]
Given Kudos: 484
Location: Pune, India
Expert
Expert reply
Active GMAT Club Expert! Tag them with @ followed by their username for a faster response.
Posts: 16,438
Kudos: 79,369
 [11]
6
Kudos
Add Kudos
5
Bookmarks
Bookmark this Post
mohan514
The sum of the even numbers between 1 and n is 79*80, where n is an odd
number, then n=?

The concepts required for this question are pretty basic. You should know them.

- Sum of positive consecutive integers starting from 1 is \(\frac{x(x + 1)}{2}\) where x is the number of integers.
1+2+3+4+5+...+10 = 10*11/2


- Sum of positive consecutive even integers starting from 2 is \(x*(x + 1)\)where x is the number of even integers.
2+4+6+8+10 = 5*6 = 30


The explanation is simple.
2+4+6+8+10 = 2(1+2+3+4+5) By taking 2 common
Sum = 2(5*6/2) = 5*6

- Sum of positive odd integers starting from 1 is \(x^2\) where x is the number of odd integers.
1+3+5+7+9+11 = \(6^2\)


I can derive it in the following way: Say x = 6.
\(1+3+5+7+9+11 = (1+1)+(3+1)+(5+1)+(7+1)+(9+1)+(11 +1) - 6\)
I add and subtract x from the right side.
The right side becomes: \(2+4+6+8+10+12 - x = x(x+1) - x = x^2\)

Coming back to this question:

Sum of x even integers is x(x+1) = 79*80.
So x = 79 i.e. there are 79 even integers.
These 79 even integers lie between 1 and n. 2 will be first such even integer, next will be 4, next will be 6 and so on till we reach the last even integer 79*2 = 158. So all even integers from 2 to 158 lie between 1 and 159. So n must be 159.
n cannot be 161/163/165... because then, more even integers will lie between 1 and n.
avatar
PareshGmat
Joined: 27 Dec 2012
Last visit: 10 Jul 2016
Posts: 1,531
Own Kudos:
8,270
 [8]
Given Kudos: 193
Status:The Best Or Nothing
Location: India
Concentration: General Management, Technology
WE:Information Technology (Computer Software)
Posts: 1,531
Kudos: 8,270
 [8]
8
Kudos
Add Kudos
Bookmarks
Bookmark this Post
Created a pattern & solved like below

2 + 4 = 6 ................... = 2 * 3

2 + 4 + 6 = 12 ....................... = 3 * 4

2 + 4 + 6 + 8 = 20 .................... = 4 * 5

2 + 4 + 6 + 8 + 10 = 30 .................. = 5 * 6

2 + 4 + 6 + 8 + 10 + 12 = 42 .................... = 6 * 7

Just observe the pattern highlighted in red

\(\frac{1}{2}\) of Last number of LHS = First number of RHS

Applying the same concept for 79 * 80

The last number on LHS would be = 79 * 2 = 158

Given that n is odd

So, 158 + 1 = 159

Answer = E
User avatar
GMATinsight
User avatar
Major Poster
Joined: 08 Jul 2010
Last visit: 21 Apr 2026
Posts: 6,976
Own Kudos:
16,890
 [1]
Given Kudos: 128
Status:GMAT/GRE Tutor l Admission Consultant l On-Demand Course creator
Location: India
GMAT: QUANT+DI EXPERT
Schools: IIM (A) ISB '24
GMAT 1: 750 Q51 V41
WE:Education (Education)
Products:
Expert
Expert reply
Schools: IIM (A) ISB '24
GMAT 1: 750 Q51 V41
Posts: 6,976
Kudos: 16,890
 [1]
1
Kudos
Add Kudos
Bookmarks
Bookmark this Post
Bunuel
If n is a positive odd number, and the sum of all the even numbers between 1 and n is equal to the product of 79 and 80, then what is the value of n?

A. 125
B. 133
C. 151
D. 159
E. 177


Kudos for a correct solution.

Bunuel: I think I have seen this question here on GC already

But anyways...

Property: Sum of Even Integers from 2 to 2a = a*(a+1)

so Sum of Even Integers from 2 to (n-1) = [(n-1)/2]*[(n-1)/2 +1] = [(n-1)/2]*[(n+1)/2] = 79*80

i.e. (n-1)(n+1) = 158*160
i.e. n-1 = 158 (For positive values of n)
i.e. n = 159

Answer: Option D
User avatar
ScottTargetTestPrep
User avatar
Target Test Prep Representative
Joined: 14 Oct 2015
Last visit: 21 Apr 2026
Posts: 22,272
Own Kudos:
26,523
 [2]
Given Kudos: 302
Status:Founder & CEO
Affiliations: Target Test Prep
Location: United States (CA)
Expert
Expert reply
Active GMAT Club Expert! Tag them with @ followed by their username for a faster response.
Posts: 22,272
Kudos: 26,523
 [2]
1
Kudos
Add Kudos
1
Bookmarks
Bookmark this Post
chan4312
The sum of the even numbers between 1 and n is 79*80, where n is an odd number, then n=?

(A) 79
(B) 80
(C) 81
(D) 157
(E) 159


The sum of the first k positive even numbers is k(k + 1). For example, the sum of the first 5 positive even numbers is 5(6) = 30. We can verify this by actually adding the first 5 positive even numbers: 2 + 4 + 6 + 8 + 10 = 30. Therefore, to solve this problem, we need to find the number of even numbers between 1 and n, in which n is an odd number. In this range, the smallest even number is 2 and the largest even number is (n - 1) since n is odd. Thus, the number of even numbers between 1 and n is:

[(n - 1) - 2]/2 + 1 = (n - 1)/2 - 1 + 1 = (n - 1)/2

Thus, the the sum of the even numbers between 1 and n is (n - 1)/2 * [(n - 1)/2 + 1].

We are given that this sum is equal to 79*80, so we can set (n - 1)/2 * [(n - 1)/2 + 1] = 79*80 and solve for n.

However, since (n - 1)/2 + 1 is 1 more than (n - 1)/2 and 80 is one more than 79, (n - 1)/2 must be 79 and (n - 1)/2 + 1 must be 80. Now we can determine n:

(n - 1)/2 = 79

n - 1 = 158

n = 159

Answer: E
User avatar
Bunuel
User avatar
Math Expert
Joined: 02 Sep 2009
Last visit: 21 Apr 2026
Posts: 109,724
Own Kudos:
810,393
 [1]
Given Kudos: 105,798
Products:
Expert
Expert reply
Active GMAT Club Expert! Tag them with @ followed by their username for a faster response.
Posts: 109,724
Kudos: 810,393
 [1]
Kudos
Add Kudos
1
Bookmarks
Bookmark this Post
avatar
Funsho84
Joined: 08 Sep 2016
Last visit: 13 Aug 2022
Posts: 74
Own Kudos:
69
 [1]
Given Kudos: 25
Posts: 74
Kudos: 69
 [1]
1
Kudos
Add Kudos
Bookmarks
Bookmark this Post
I found trial an error to work the best.

Looking at the answer choices, you can immediately eliminate B because it's even.

Starting with E. N =159

The average will equal (159 +1)/2 = 80. -> looks good so far

The range of even numbers between 1 and 159 will start and end with 2 to 158. (158-2)/2 = 78
Now add 1 to 78 to capture all even values in that range so the number of even numbers is 79.

79*80

Answer E
User avatar
cjay2401
Joined: 19 Apr 2023
Last visit: 27 Jun 2024
Posts: 1
Given Kudos: 3
Posts: 1
Kudos: 0
Kudos
Add Kudos
Bookmarks
Bookmark this Post
I tried doing this question with AP. Can anyone help me with what's wrong with the approach?

It says Sum from 1 to n is 79x80, right?

a = 2
d = 2
n = n

Therefore,

79x80 = n/2[2(2) + (n-1)2]
79x80 = n(n+1)

n will come out to be 79.

What am I missing? Anyone?
User avatar
sreehere
User avatar
ISB School Moderator
Joined: 04 Mar 2024
Last visit: 10 Nov 2025
Posts: 173
Own Kudos:
Given Kudos: 73
Location: India
GMAT Focus 1: 625 Q81 V82 DI80
GPA: 7.52
GMAT Focus 1: 625 Q81 V82 DI80
Posts: 173
Kudos: 136
Kudos
Add Kudos
Bookmarks
Bookmark this Post
cjay2401
I tried doing this question with AP. Can anyone help me with what's wrong with the approach?

It says Sum from 1 to n is 79x80, right?

a = 2
d = 2
n = n

Therefore,

79x80 = n/2[2(2) + (n-1)2]
79x80 = n(n+1)

n will come out to be 79.

What am I missing? Anyone?
­cjay2401 The mistake here is considering number of terms as n. We only need the sum of EVEN integers between 1 and n, not the sum of ALL integers between 1 and n.

Hope this helps.­
User avatar
whatsarc
Joined: 26 Aug 2023
Last visit: 07 Mar 2026
Posts: 109
Own Kudos:
Given Kudos: 78
Products:
Posts: 109
Kudos: 113
Kudos
Add Kudos
Bookmarks
Bookmark this Post
Bunuel
Easier version of this question: https://gmatclub.com/forum/which-of-the ... 05421.html
­This is Gmat official practice 6 question and one of the options instead of 157 is 161.­
User avatar
Bunuel
User avatar
Math Expert
Joined: 02 Sep 2009
Last visit: 21 Apr 2026
Posts: 109,724
Own Kudos:
Given Kudos: 105,798
Products:
Expert
Expert reply
Active GMAT Club Expert! Tag them with @ followed by their username for a faster response.
Posts: 109,724
Kudos: 810,393
Kudos
Add Kudos
Bookmarks
Bookmark this Post
riteshrr

Bunuel
­This is Gmat official practice 6 question and one of the options instead of 157 is 161.­
­
Here is that question:

https://gmatclub.com/forum/if-the-sum-o ... 22208.html
User avatar
Akshaynandurkar
Joined: 29 Apr 2023
Last visit: 19 Jan 2025
Posts: 69
Own Kudos:
Given Kudos: 104
Location: India
GMAT Focus 1: 635 Q84 V86 DI74
GMAT Focus 1: 635 Q84 V86 DI74
Posts: 69
Kudos: 33
Kudos
Add Kudos
Bookmarks
Bookmark this Post
we need summation of numbers from 1 to k where k is odd
so basically we need summation of 2,4,.....k-1
sum = 2+4+6+...(k-1)
take 2 common,
sum = 2(1+2+3+...(k-1)/2)
we know summation of n consecutive numbers = n(n+1)/2
sum = 2 x (k-1)/2 x ((k-1)/2+1)/2 = (k-1)/2 x ((k-1)/2+1) = 79 x 80
therefore ,
k-1 = 158
hence k = 159
answer is E
User avatar
HarshavardhanR
Joined: 16 Mar 2023
Last visit: 20 Apr 2026
Posts: 482
Own Kudos:
Given Kudos: 67
Status:Independent GMAT Tutor
Affiliations: Ex - Director, Subject Matter Expertise at e-GMAT
Products:
Expert
Expert reply
Posts: 482
Kudos: 569
Kudos
Add Kudos
Bookmarks
Bookmark this Post



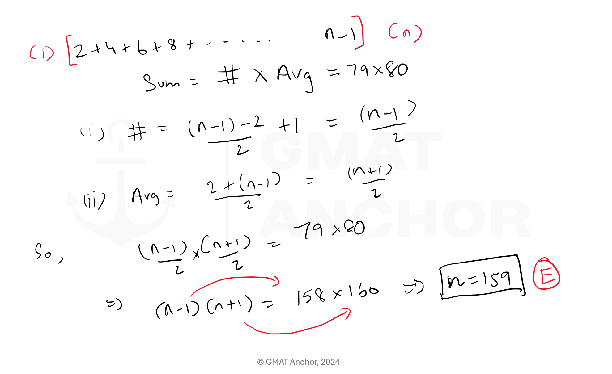
---
Harsha
GMAT Tutor | gmatanchor.com
Attachment:
GMAT-Club-Forum-0it0jfbd.png
GMAT-Club-Forum-0it0jfbd.png [ 161.38 KiB | Viewed 7493 times ]
User avatar
nilsruge
Joined: 21 Oct 2024
Last visit: 05 Jan 2025
Posts: 11
Own Kudos:
Posts: 11
Kudos: 5
Kudos
Add Kudos
Bookmarks
Bookmark this Post
The sum of the first x even integers is x/2 * (2 + 2x) = x * (x + 1)

So we know that 79 * 80 is the sum of the first 79 even integers.

79 * 2 = 158

We know that n is odd, so n has to be 1 more than the biggest even integer -> 158 + 1 = 159

-> E

chan4312
The sum of the even numbers between 1 and n is 79*80, where n is an odd number, then n=?

(A) 79
(B) 80
(C) 81
(D) 157
(E) 159
User avatar
AditiDeokar
Joined: 12 Jan 2025
Last visit: 21 Apr 2026
Posts: 87
Own Kudos:
Given Kudos: 298
Location: India
Concentration: Finance
GMAT Focus 1: 525 Q77 V77 DI74
GPA: 3.5
GMAT Focus 1: 525 Q77 V77 DI74
Posts: 87
Kudos: 21
Kudos
Add Kudos
Bookmarks
Bookmark this Post
Can we use answer choices and solve this? it took me 2mins 40s max, if n= 159, then last even term is 158, therefore the number of even terms is 158/2 = 79, input this in formula Sn = n/2 (a1+l) to get 79 x 80
User avatar
WiziusCareers1
Joined: 27 Apr 2009
Last visit: 21 Apr 2026
Posts: 175
Own Kudos:
Given Kudos: 35
Status:Not Applying
Location: India
Schools: HBS '14 (A)
GMAT 1: 730 Q51 V36
Schools: HBS '14 (A)
GMAT 1: 730 Q51 V36
Posts: 175
Kudos: 542
Kudos
Add Kudos
Bookmarks
Bookmark this Post
Solution 1: Detailed Arithmetic Progression Method
Step 1: Define the Sum and Number of Terms
The sum of the series is:
S=2+4+6+...+(n−1)
This is an Arithmetic Progression (A.P.) with:
First term, a = 2
Common difference, d = 2
Last term, L = n − 1
Let k be the number of terms. The last term L is the k-th term, L=a+(k−1)d.
n − 1 = 2 + (k − 1)2
n − 1 = 2 + 2k − 2
n − 1 = 2k
⇒ k = (n - 1)/2

Step 2: Use the Sum Formula
The sum of an A.P. is S = (k/2)(a + L)
S = (k/2)(2 + (n - 1))
S = (k/2)(1 + n)
Now substitute k = (n - 1)/2 into the sum formula:

S = (n - 1)(n + 1)/4​

Step 3: Solve for n
We are given S = 79×80.
79×80 = (n−1)(n+1)/4
4×79×80 = (n−1)(n+1)
We can rewrite 79×80 to find two numbers that differ by 2 (which is n+1 and n−1). Since n^2 - 1 = (n - 1)(n + 1)
n^2 - 1 = 4×79×80
n^2 = 25281
=> n = 159

Solution 2: Short and Quick
Step 1: Recognize the Sum Formula
The sum of the first k consecutive even numbers is always given by the formula:
S = 2+4+6+...+2k = k(k+1)

Step 2: Identify the Number of Terms (k)
The given sum is S = 79×80. By comparing the given sum with the formula k(k+1):
k(k+1) = 79×80
Since k and k+1 are consecutive integers, we can immediately identify:
k = 79

Step 3: Relate k to n
The sequence of even numbers runs from 2 up to n−1. Since k=79, the sequence contains the first 79 even numbers. The largest even number in the sequence is 2k:
Largest Even Number = 2×79 = 158
The problem states that n is an odd number and the sum includes all even numbers between 1 and n. This means the sequence ends at n−1.

Last Even Number = n−1
158 = n−1
n = 158+1
n = 159
The correct answer is (E) 159.
User avatar
eaat
Joined: 14 Dec 2025
Last visit: 15 Apr 2026
Posts: 45
Own Kudos:
Given Kudos: 27
Location: United States (NY)
Concentration: General Management
Products:
Posts: 45
Kudos: 5
Kudos
Add Kudos
Bookmarks
Bookmark this Post
Hi, can someone explain why it's not A = 79?

Using the sum of even numbers formula Sum = n(n+1); we know that n = 79. Why can't we stop here and let n = 79?
 1   2   
Moderators:
Math Expert
109724 posts
Tuck School Moderator
853 posts