Last visit was: 26 Apr 2026, 11:03 It is currently 26 Apr 2026, 11:03
Close
GMAT Club Daily Prep
Thank you for using the timer - this advanced tool can estimate your performance and suggest more practice questions. We have subscribed you to Daily Prep Questions via email.

Customized
for You

we will pick new questions that match your level based on your Timer History

Track
Your Progress

every week, we’ll send you an estimated GMAT score based on your performance

Practice
Pays

we will pick new questions that match your level based on your Timer History
Not interested in getting valuable practice questions and articles delivered to your email? No problem, unsubscribe here.
Close
Request Expert Reply
Confirm Cancel
User avatar
Bunuel
User avatar
Math Expert
Joined: 02 Sep 2009
Last visit: 26 Apr 2026
Posts: 109,847
Own Kudos:
Given Kudos: 105,897
Products:
Expert
Expert reply
Active GMAT Club Expert! Tag them with @ followed by their username for a faster response.
Posts: 109,847
Kudos: 811,424
 [26]
Kudos
Add Kudos
26
Bookmarks
Bookmark this Post
Most Helpful Reply
avatar
sanguine2016
Joined: 18 Mar 2015
Last visit: 13 Jul 2016
Posts: 20
Own Kudos:
26
 [5]
Given Kudos: 1
Location: India
Concentration: Technology, Entrepreneurship
GMAT 1: 730 Q50 V38
GPA: 4
WE:Engineering (Computer Software)
GMAT 1: 730 Q50 V38
Posts: 20
Kudos: 26
 [5]
3
Kudos
Add Kudos
2
Bookmarks
Bookmark this Post
General Discussion
User avatar
ManojReddy
Joined: 28 Jan 2013
Last visit: 24 Sep 2024
Posts: 31
Own Kudos:
136
 [1]
Given Kudos: 32
Location: United States
Concentration: General Management, International Business
GPA: 3.1
WE:Information Technology (Consulting)
Posts: 31
Kudos: 136
 [1]
1
Kudos
Add Kudos
Bookmarks
Bookmark this Post
User avatar
GMATinsight
User avatar
Major Poster
Joined: 08 Jul 2010
Last visit: 26 Apr 2026
Posts: 6,977
Own Kudos:
Given Kudos: 128
Status:GMAT/GRE Tutor l Admission Consultant l On-Demand Course creator
Location: India
GMAT: QUANT+DI EXPERT
Schools: IIM (A) ISB '24
GMAT 1: 750 Q51 V41
WE:Education (Education)
Products:
Expert
Expert reply
Schools: IIM (A) ISB '24
GMAT 1: 750 Q51 V41
Posts: 6,977
Kudos: 16,922
Kudos
Add Kudos
Bookmarks
Bookmark this Post
Bunuel
If k > 1, which of the following must be equal to \(\frac{2}{\sqrt{k+1}+\sqrt{k-1}}\)?

A. 2

B. \(2\sqrt{2k}\)

C. \(2\sqrt{k+1}+\sqrt{k-1}\)

D. \(\frac{\sqrt{k+1}}{\sqrt{k-1}}\)

E. \(\sqrt{k+1}-\sqrt{k-1}\)

Kudos for a correct solution.

Rationalization is one of the methods, Second is here

Since k>1 , \(\frac{2}{\sqrt{k+1}+\sqrt{k-1}}\)

Let's Substitute k = 2 in the expression, the expression now becomes

\(\frac{2}{\sqrt{k+1}+\sqrt{k-1}}\) = \(\frac{2}{\sqrt{2+1}+\sqrt{2-1}}\)
i.e. \(\frac{2}{\sqrt{k+1}+\sqrt{k-1}}\) = \(\frac{2}{\sqrt{3}+1}\) = 2/(1.732+1)
i.e. \(\frac{2}{\sqrt{k+1}+\sqrt{k-1}}\) = 2/(2.732) = approx 0.74

Check option with k=2

A. 2 > 0.74INCORRECT

B. \(2\sqrt{2k}\) = \(2\sqrt{4}\) = 4 > 0.74 INCORRECT

C. \(2\sqrt{k+1}+\sqrt{k-1}\) = \(2\sqrt{3}+\sqrt{2-1}\)>0.74 INCORRECT

D. \(\frac{\sqrt{k+1}}{\sqrt{k-1}}\) = \(\frac{\sqrt{2+1}}{\sqrt{2-1}}\)= 1.7 > 0.74 INCORRECT

E. \(\sqrt{k+1}-\sqrt{k-1}\) = \(\sqrt{2+1}-\sqrt{2-1}\)= 1.73-1 = 0.73 CORRECT

Answer: option
User avatar
balamoon
Joined: 26 Dec 2011
Last visit: 04 May 2025
Posts: 111
Own Kudos:
313
 [2]
Given Kudos: 91
Schools: HBS '18 IIMA
Schools: HBS '18 IIMA
Posts: 111
Kudos: 313
 [2]
1
Kudos
Add Kudos
1
Bookmarks
Bookmark this Post
If k > 1, which of the following must be equal to \(\frac{2}{\sqrt{k+1}+\sqrt{k-1}}\)?

Solution -

Divide the numerator and denominator with \(\sqrt{k+1}-\sqrt{k-1}\) in the above equation and solve the equation.

Results, \(\sqrt{k+1}-\sqrt{k-1}\).

ANS E.

Thanks,

Kudos please.
User avatar
vishwaprakash
User avatar
Queens MBA Thread Master
Joined: 24 Oct 2012
Last visit: 22 Aug 2017
Posts: 139
Own Kudos:
Given Kudos: 45
Concentration: Leadership, General Management
Posts: 139
Kudos: 397
Kudos
Add Kudos
Bookmarks
Bookmark this Post
Bunuel
If k > 1, which of the following must be equal to \(\frac{2}{\sqrt{k+1}+\sqrt{k-1}}\)?

A. 2

B. \(2\sqrt{2k}\)

C. \(2\sqrt{k+1}+\sqrt{k-1}\)

D. \(\frac{\sqrt{k+1}}{\sqrt{k-1}}\)

E. \(\sqrt{k+1}-\sqrt{k-1}\)

Kudos for a correct solution.

Solution :
Rationalizing denominator by multiplying Numerator and denominator by \({\sqrt{k+1}-\sqrt{k-1}}\)

So we get \(\sqrt{k+1}-\sqrt{k-1}\) in numerator

Option E
User avatar
EMPOWERgmatRichC
User avatar
Major Poster
Joined: 19 Dec 2014
Last visit: 31 Dec 2023
Posts: 21,777
Own Kudos:
13,052
 [2]
Given Kudos: 450
Status:GMAT Assassin/Co-Founder
Affiliations: EMPOWERgmat
Location: United States (CA)
GMAT 1: 800 Q51 V49
GRE 1: Q170 V170
Expert
Expert reply
GMAT 1: 800 Q51 V49
GRE 1: Q170 V170
Posts: 21,777
Kudos: 13,052
 [2]
2
Kudos
Add Kudos
Bookmarks
Bookmark this Post
Hi All,

This question has an interesting 'quirk' to it.... Even though the question tells us that K > 1, if K = 1 then you'll still end up with the correct answer....

TESTing K = 1 in the prompt gives us...

2/(√2 + √0) =
2/(√2) =

Now we have to multiply both the numerator and denominator by (√2), which simplifies to...

2(√2)/2 =
√2

So we're looking for an answer that equals √2 when K = 1....

Answer A: 2 NOT a match
Answer B: 2√2 NOT a match
Answer C: 2√2 + 0 NOT a match
Answer D: √2/0 = undefined NOT a match
Answer E: √2 - 0 This IS a MATCH

Final Answer:
GMAT assassins aren't born, they're made,
Rich
User avatar
KS15
Joined: 21 May 2013
Last visit: 25 Jul 2019
Posts: 531
Own Kudos:
259
 [1]
Given Kudos: 608
Posts: 531
Kudos: 259
 [1]
1
Kudos
Add Kudos
Bookmarks
Bookmark this Post
Bunuel
If k > 1, which of the following must be equal to \(\frac{2}{\sqrt{k+1}+\sqrt{k-1}}\)?

A. 2

B. \(2\sqrt{2k}\)

C. \(2\sqrt{k+1}+\sqrt{k-1}\)

D. \(\frac{\sqrt{k+1}}{\sqrt{k-1}}\)

E. \(\sqrt{k+1}-\sqrt{k-1}\)

Kudos for a correct solution.

Let us try this by taking values
Let k=3
Equation becomes=2/2+\sqrt{2}
=\sqrt{2}/\sqrt{2}+1
=2-\sqrt{2}

Now put k=3 in the given options.
Only Option E gives the value as 2-\sqrt{2}
Answer E
User avatar
Bunuel
User avatar
Math Expert
Joined: 02 Sep 2009
Last visit: 26 Apr 2026
Posts: 109,847
Own Kudos:
811,424
 [2]
Given Kudos: 105,897
Products:
Expert
Expert reply
Active GMAT Club Expert! Tag them with @ followed by their username for a faster response.
Posts: 109,847
Kudos: 811,424
 [2]
Kudos
Add Kudos
2
Bookmarks
Bookmark this Post
Bunuel
If k > 1, which of the following must be equal to \(\frac{2}{\sqrt{k+1}+\sqrt{k-1}}\)?

A. 2

B. \(2\sqrt{2k}\)

C. \(2\sqrt{k+1}+\sqrt{k-1}\)

D. \(\frac{\sqrt{k+1}}{\sqrt{k-1}}\)

E. \(\sqrt{k+1}-\sqrt{k-1}\)

Kudos for a correct solution.

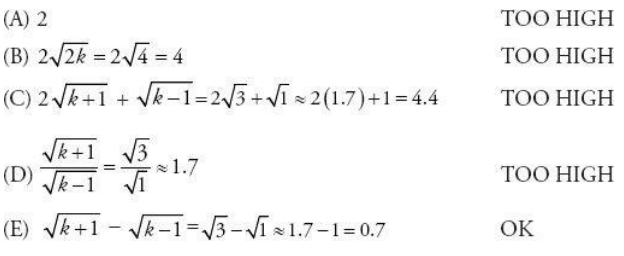
MANHATTAN GMAT OFFICIAL SOLUTION:

Since there are variables in the answer choices (VIC), we should pick a number and test the choices. If k = 2, then \(\frac{2}{\sqrt{k+1}+\sqrt{k-1}}=\frac{2}{\sqrt{2+1}+\sqrt{2-1}}=\frac{2}{\sqrt{3}+\sqrt{1}}\approx{\frac{1}{1.7+1}}=\frac{2}{2.7}\) which is less than 1. Now test the answer choices and try to match the target:


The correct answer is E.

Attachment:
2015-06-22_1824.png
2015-06-22_1824.png [ 60.23 KiB | Viewed 11509 times ]
avatar
rohitkumar77
Joined: 19 Nov 2014
Last visit: 01 Oct 2016
Posts: 50
Own Kudos:
36
 [1]
Given Kudos: 57
Location: India
Concentration: Technology, General Management
Schools: ISB '18
WE:Information Technology (Computer Software)
Products:
Schools: ISB '18
Posts: 50
Kudos: 36
 [1]
1
Kudos
Add Kudos
Bookmarks
Bookmark this Post
multiply both numerator and denominator by sqrt(K+1) - sqrt(k-1) ;
and u will get the answer
User avatar
bumpbot
User avatar
Non-Human User
Joined: 09 Sep 2013
Last visit: 04 Jan 2021
Posts: 38,989
Own Kudos:
Posts: 38,989
Kudos: 1,118
Kudos
Add Kudos
Bookmarks
Bookmark this Post
Automated notice from GMAT Club BumpBot:

A member just gave Kudos to this thread, showing it’s still useful. I’ve bumped it to the top so more people can benefit. Feel free to add your own questions or solutions.

This post was generated automatically.
Moderators:
Math Expert
109843 posts
Tuck School Moderator
852 posts