Last visit was: 20 Apr 2026, 22:29 It is currently 20 Apr 2026, 22:29
Close
GMAT Club Daily Prep
Thank you for using the timer - this advanced tool can estimate your performance and suggest more practice questions. We have subscribed you to Daily Prep Questions via email.

Customized
for You

we will pick new questions that match your level based on your Timer History

Track
Your Progress

every week, we’ll send you an estimated GMAT score based on your performance

Practice
Pays

we will pick new questions that match your level based on your Timer History
Not interested in getting valuable practice questions and articles delivered to your email? No problem, unsubscribe here.
Close
Request Expert Reply
Confirm Cancel
User avatar
harishg
Joined: 18 Dec 2018
Last visit: 09 Apr 2026
Posts: 176
Own Kudos:
174
 [1]
Given Kudos: 31
GMAT Focus 1: 695 Q88 V84 DI81
Products:
GMAT Focus 1: 695 Q88 V84 DI81
Posts: 176
Kudos: 174
 [1]
1
Kudos
Add Kudos
Bookmarks
Bookmark this Post
User avatar
msignatius
Joined: 28 Aug 2025
Last visit: 09 Apr 2026
Posts: 131
Own Kudos:
Given Kudos: 31
Location: India
Concentration: Strategy, Marketing
GMAT Focus 1: 705 Q86 V85 DI84
GPA: 3.5
WE:Marketing (Consulting)
Products:
GMAT Focus 1: 705 Q86 V85 DI84
Posts: 131
Kudos: 98
Kudos
Add Kudos
Bookmarks
Bookmark this Post
User avatar
arnab24
Joined: 16 Jan 2024
Last visit: 25 Feb 2026
Posts: 96
Own Kudos:
81
 [1]
Given Kudos: 7
Location: India
Schools: ISB '26
GPA: 8.80
Products:
Schools: ISB '26
Posts: 96
Kudos: 81
 [1]
1
Kudos
Add Kudos
Bookmarks
Bookmark this Post
User avatar
rickyric395
Joined: 07 Mar 2020
Last visit: 19 Apr 2026
Posts: 124
Own Kudos:
110
 [1]
Given Kudos: 68
GMAT 1: 680 Q49 V34
Products:
GMAT 1: 680 Q49 V34
Posts: 124
Kudos: 110
 [1]
1
Kudos
Add Kudos
Bookmarks
Bookmark this Post
Below is the solution.
Attachments

WhatsApp Image 2025-12-15 at 23.04.10.jpeg
WhatsApp Image 2025-12-15 at 23.04.10.jpeg [ 32.47 KiB | Viewed 455 times ]

User avatar
sriharsha4444
Joined: 06 Jun 2018
Last visit: 05 Mar 2026
Posts: 125
Own Kudos:
Given Kudos: 803
Posts: 125
Kudos: 84
Kudos
Add Kudos
Bookmarks
Bookmark this Post
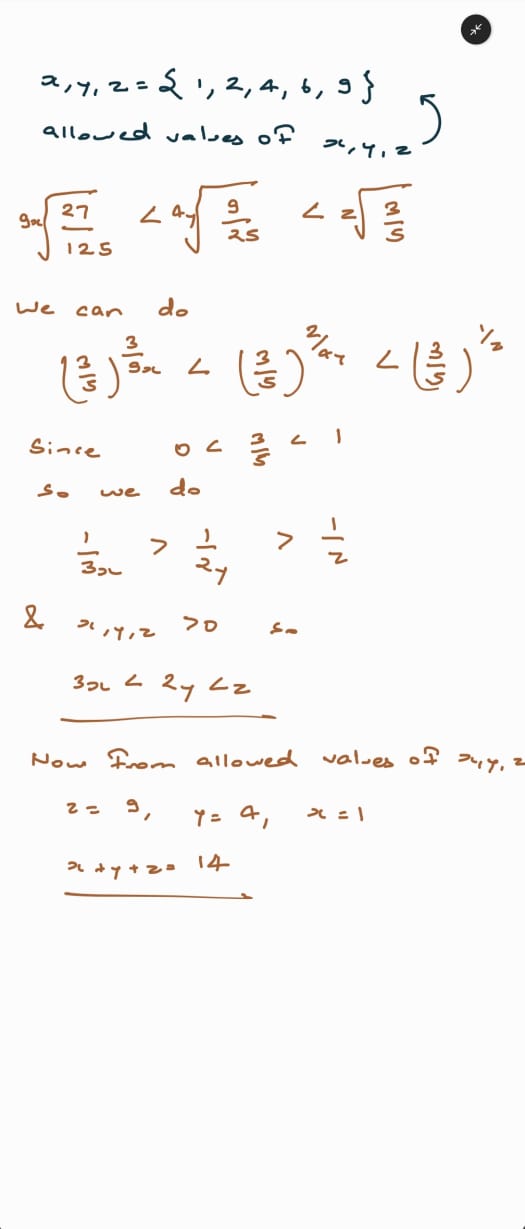
First thing to clarify is that in the question, they are not multiples like \(9x * \sqrt{\frac{27}{125}}\) ... instead they are like \(9x^{th}\) root of \(\frac{27}{125}\), \(4y^{th}\) root of \(\frac{9}{25}\) and \(z^{th}\) root of \(\frac{3}{5}.\)

as in \((\frac{27}{125})^{\frac{1}{9x}} , (\frac{9}{25})^{\frac{1}{4y}} , (\frac{3}{5})^{\frac{1}{z}}\)

Single non-prime distinct digits => {\(1, 4, 6, 8, 9\)}
(1 is also neither prime nor composite, so we have to include 1 as well. In fact if you exclude 1, the least possible sum is 4+6+8 => 18, which is not even in the solution)

taking the given equation:
\((\frac{27}{125})^{\frac{1}{9x}} < \frac{9}{25}^{\frac{1}{4y}} < \frac{3}{5}^{\frac{1}{z}}\)

\((\frac{3}{5})^{\frac{3}{9x}} < (\frac{3}{5})^{\frac{2}{4y}} < (\frac{3}{5})^{\frac{1}{z}}\)

\((\frac{3}{5})^{\frac{1}{3x}} < (\frac{3}{5})^{\frac{1}{2y}} < (\frac{3}{5})^{\frac{1}{z}}\) --------- (1)

Note that \(\frac{3}{5}\) is a value between 0 and 1 (0.6 to be precise)

Remember that when \(0<a<1\),
\(a < \sqrt{a} < \sqrt[3]{a}\)
i.e.
\(a < a^{\frac{1}{2}} < a^{\frac{1}{3}}\)

let \(a = \frac{3}{5}\), we have to choose \(x, y, z\) such that the eq (1) is satisfied
\(a^{\frac{1}{3x}} < a^{\frac{1}{2y}} < a^{\frac{1}{z}}\)

so now we need to choose \(x, y, z\) such that
\(3x<2y<z\)

we have 5 distinct options of {\(1, 4, 6, 8, 9\)} for each of \(x, y, z\),
we can start with basic permutations where we assign smallest value to \(x\), followed by \(y\) and then followed by \(z\) so that the chance of hitting the answer soon is maximum:

if \(x=1, y=4, z=6\),
then
\(1*3 < 2*4 > 6\)
=> doesn't satisfy the constraint.

if \(x=1, y=4, z=8\),
then
\(1*3 < 2*4 = 8\)
=> doesn't satisfy the constraint

if \(x=1, y=4, z=9\),
then
\(1*3 < 2*4 < 9\)

\(3 < 8 < 9\)

=> satisfies the constraint.

So sum of 1, 4 and 9 => 14, which is option B
User avatar
obedear
Joined: 05 Sep 2024
Last visit: 20 Apr 2026
Posts: 61
Own Kudos:
39
 [1]
Given Kudos: 11
Products:
Posts: 61
Kudos: 39
 [1]
1
Kudos
Add Kudos
Bookmarks
Bookmark this Post
My attempt:

Possible values for x, y and z are limited to: 0, 1, 4, 6, 8, 9.

Notice all of the numbers in the fractions can be rewritten under bases of 3 and 5.

Rewrite the cube roots as fractional exponents and simplify.

Remember that when we take the square root of x where 0 < x < 1, the square root of x will actually increase. Does this hold true as we increase the number of the root we are taking? Yes, it does. So as we increase the degree of the root we are taking (from square root to cube root, for example), the number should get even larger. Therefore, when written as fractional exponents, the denominators of the terms with the variables should be increasing from left to right. 3x < 2y < z .

Which numbers from the given possible values satisfy the inequality? Pick x = 1 y = 4, x = 9.

Should be 14.
User avatar
okHedwig
Joined: 13 Apr 2022
Last visit: 20 Apr 2026
Posts: 51
Own Kudos:
30
 [1]
Given Kudos: 68
Products:
Posts: 51
Kudos: 30
 [1]
1
Kudos
Add Kudos
Bookmarks
Bookmark this Post
IMO Option B
As per Q, x,y, z could be : 0,1,4,6,8,9

and simplying the eq, 1/3x > 1/2y > 1/z (so, 0 cant be the value)
which implies: x+y+z could be : 1+4+9 = 14
Bunuel
If x, y, and z are distinct single-digit non-prime positive integers, and \(\sqrt[9x]{\frac{27}{125}} < \sqrt[4y]{\frac{9}{25}} < \sqrt[z]{\frac{3}{5}}\), what is the value of x + y + z?

A. 13
B. 14
C. 15
D. 16
E. 17
User avatar
Rickooreoisb
Joined: 18 Jul 2025
Last visit: 05 Apr 2026
Posts: 157
Own Kudos:
Given Kudos: 575
Location: India
Concentration: Finance, Marketing
GPA: 9
WE:Investment Banking (Finance: Investment Banking)
Posts: 157
Kudos: 41
Kudos
Add Kudos
Bookmarks
Bookmark this Post
I have to just check whether by removing the root equation is satsified, accoringly take value of x, y and z to satisfy and get the answer by addition of those
User avatar
kapoora10
Joined: 13 Jul 2024
Last visit: 12 Apr 2026
Posts: 109
Own Kudos:
95
 [1]
Given Kudos: 7
Location: India
Concentration: Real Estate, Sustainability
GMAT Focus 1: 645 Q88 V74 DI84
GMAT Focus 2: 655 Q85 V83 DI80
GPA: 8.03
WE:Corporate Finance (Finance: Investment Management)
Products:
GMAT Focus 2: 655 Q85 V83 DI80
Posts: 109
Kudos: 95
 [1]
1
Kudos
Add Kudos
Bookmarks
Bookmark this Post
\(/sqrt[9x]{27/125}\) < \(/sqrt[4y]{9/25}\) < /sqrt[z]{3/5}

Can be written as (3/5)^3/9x < (3/5)^2/4y < (3/5)^1/z ==> (3/5)^1/3x < (3/5)^1/2y < (3/5)^1/z

As 3/5<1 => Greater power means smaller result. Hence,

z>2y>3x .... (1)

x,y,z are one digit , non-prime ..... (2)

Only possible solution -> x=1 , y=4, z=9

Hence total - x+y+z = 14 => B is correct
User avatar
namna
Joined: 31 Jul 2014
Last visit: 15 Apr 2026
Posts: 13
Own Kudos:
16
 [1]
Concentration: Finance, Other
GPA: 3.3
WE:Engineering (Non-Profit and Government)
Posts: 13
Kudos: 16
 [1]
1
Kudos
Add Kudos
Bookmarks
Bookmark this Post
Possible values for x, y, z are: {1,4,6,8,9}

Simplifying the given inequality, and, using the rule \sqrt[k]{a^m} = a^{m/k}

27/125 = (3/5)^3

9/25 = (3/5)^2

3/5 = (3/5)^1

Left Term: \sqrt[9x]{(3/5)^3} = (3/5)^{3/9x} = (3/5)^{1/3x}

Middle Term: \sqrt[4y]{(3/5)^2} = (3/5)^{2/4y} = (3/5)^{1/2y}

Right Term: \sqrt[z]{3/5} = (3/5)^{1/z}

Inequality now is,

(3/5)^{1/3x} < (3/5)^{1/2y} < (3/5)^{1/z}

Base = 3/5 <1 ; therefore the inequality is reveresed

1/3x > 1/2y > 1/z

Implies, 3x< 2y < z

Trying cases from {1,4,6,8,9} to satisfy this simplified, (1,4,9) fits.

1 +4 + 9 = 14

Option B
User avatar
Aboyhasnoname
Joined: 19 Jan 2025
Last visit: 15 Apr 2026
Posts: 302
Own Kudos:
100
 [1]
Given Kudos: 64
Products:
Posts: 302
Kudos: 100
 [1]
1
Kudos
Add Kudos
Bookmarks
Bookmark this Post
Let's Simplify ...we get {(3/5)^3}1/9x < {(3/5)^2}1/4y < (3/5)1^z-----Simplify.....3/5^1/3x < 3/5^1/2y < 3/5^1/z
Now remember for any number between 0 and 1 (Exclusive) ....the square is smaller than the number and the root is greater than the number.....and bigger the under root bigger is the number ......This means.....1/z < 1/2y < 1/3x .....Now since numerator is same...Denominator must be become larger to make the number smaller.....So z > 2y > 3x .......
Rewrite 3x < 2y < z

Now comes the challenge.....the number are single digit non prime positive integers only...so they can be 1,4,6,8,9
Now......We have to find the value of x + y + z ....and 3x < 2y < z...Lets do some hit and trial ...x be = 1 ..3x will be 3...then y cant be 1(because then 2y will be less than 3x) then it can be 4...2y becomes 8....z has to be greater than this 9 is the only option.....we get .... `1 + 4 + 9....= 14 ..We got in the first one here...i would stop here.....Wont waste any more time...although I feel to try out other options too...



Bunuel
If x, y, and z are distinct single-digit non-prime positive integers, and \(\sqrt[9x]{\frac{27}{125}} < \sqrt[4y]{\frac{9}{25}} < \sqrt[z]{\frac{3}{5}}\), what is the value of x + y + z?

A. 13
B. 14
C. 15
D. 16
E. 17
User avatar
AviNFC
Joined: 31 May 2023
Last visit: 10 Apr 2026
Posts: 306
Own Kudos:
366
 [1]
Given Kudos: 5
Posts: 306
Kudos: 366
 [1]
1
Kudos
Add Kudos
Bookmarks
Bookmark this Post
Available integers 1, 4, 6 ,8 , 9

27/125 = (3/5)^(1÷3)
9/25 = (3/5)^(1÷2)

Now 3/5 is less than 1.
So value of z must be maximum z=9
Now, 2y<z, possible only for y=4
& 3x<2y iff x=1

x+y+z = 1+4+9 =14

Ans is 14
User avatar
Rishi705
Joined: 25 Apr 2024
Last visit: 02 Feb 2026
Posts: 53
Own Kudos:
41
 [1]
Given Kudos: 21
Posts: 53
Kudos: 41
 [1]
1
Kudos
Add Kudos
Bookmarks
Bookmark this Post
There are two key inferences to be made here
First one is regarding the numbers
Distinct, single digit, non-prime integers
There are only five
1 , 4 , 6, 8, 9
One is a trap here since we consider 1 as , nor composite nor prime, Some might get confused, but it is non-prime.

No, the second inference to make is we need to equalize the base to make a comparison.

9xth root of 27/125 can be written as (27/125)^ 1/9x = (3/5)^ 3/9x= (3/5) 1/3x
the other numbers become (3/5)^1/2y and (3/5)^z
3/5 is a fraction so it becomes bigger every time you take a route of it or cubit or so on.
So now, as the base is common, we get

3x<2y<z
only combination that works is
x=1 y= 4 and z=9
x+y+z= 14

Quote:
If x, y, and z are distinct single-digit non-prime positive integers, and \(\sqrt[9x]{\frac{27}{125}} < \sqrt[4y]{\frac{9}{25}} < \sqrt[z]{\frac{3}{5}}\), what is the value of x + y + z?

A. 13
B. 14
C. 15
D. 16
E. 17
User avatar
suntincidunt
Joined: 08 Dec 2025
Last visit: 16 Dec 2025
Posts: 8
Own Kudos:
Posts: 8
Kudos: 3
Kudos
Add Kudos
Bookmarks
Bookmark this Post
B. 14. 1,4,9 are those non-prime numbers

Bunuel
If x, y, and z are distinct single-digit non-prime positive integers, and \(\sqrt[9x]{\frac{27}{125}} < \sqrt[4y]{\frac{9}{25}} < \sqrt[z]{\frac{3}{5}}\), what is the value of x + y + z?

A. 13
B. 14
C. 15
D. 16
E. 17
User avatar
Dereno
Joined: 22 May 2020
Last visit: 20 Apr 2026
Posts: 1,398
Own Kudos:
1,372
 [1]
Given Kudos: 425
Products:
Posts: 1,398
Kudos: 1,372
 [1]
1
Kudos
Add Kudos
Bookmarks
Bookmark this Post
Bunuel
If x, y, and z are distinct single-digit non-prime positive integers, and \(\sqrt[9x]{\frac{27}{125}} < \sqrt[4y]{\frac{9}{25}} < \sqrt[z]{\frac{3}{5}}\), what is the value of x + y + z?

A. 13
B. 14
C. 15
D. 16
E. 17
Given that x, y, z are DISTINCT , SINGLE DIGIT, NON PRIME positive integers.

So, x,y,z has to be greater than 0 and less than 10.

The possible values of x,y,z are : (1,4,6,8,9)

9x th root of (27/125):

27 = 3^3 , and 125 = 5^3

(27/125)^(1/9x) = [(3^3)/ (5^3)]^{1/9x} = (3/5)^ (1/3x)

4y th root of (9/25) :

9 = 3^2 , and 25 = 5^2

(9/25)^(1/4y) = [(3^2)/(5^2)]^{1/4y} = (3/5)^(1/2y)

The third term = (3/5)^(1/z)

(3/5)^(1/3x) < (3/5)^(1/2y) < (3/5)^(1/z)

For this condition to be satisfied, the powers have to be greater.

(1/3x) > (1/2y) > (1/z)

Multiply by 6xyz, we get

3x < 2y < z

We know the values of x,y,z should be amongst (1,4,6,8,9)

If we put x =4, then y has to be 6. Both terms will be equal.

So, x = 1 , y = 4 and z = 9

3< 8<9

Satisfied.

x+y+z = 1+4+9 = 14

Option B
User avatar
eumdolore
Joined: 09 Dec 2025
Last visit: 20 Apr 2026
Posts: 2
Own Kudos:
2
 [1]
Posts: 2
Kudos: 2
 [1]
1
Kudos
Add Kudos
Bookmarks
Bookmark this Post
cORRECT Answer: 14
Attachments

PS2.jpeg
PS2.jpeg [ 88.04 KiB | Viewed 401 times ]

User avatar
Harika2024
Joined: 27 Jul 2024
Last visit: 16 Mar 2026
Posts: 99
Own Kudos:
84
 [1]
Given Kudos: 31
Location: India
Posts: 99
Kudos: 84
 [1]
1
Kudos
Add Kudos
Bookmarks
Bookmark this Post
Given

(27/125)^9x/2 < (9/25)^4y/2 < (3/5)^z

condition => x, y, z - distinct positive signle digit non prime integers

((3/5)^3)^9x/2 < ((3/5)^2)^4y/2 < (3/5)^z/2

(3/5)^27x/2 < (3/5)^8y/2 <(3/5)^z/2

here base = 3/5, where 3/5 lies between 0 and 1 i.e., 0< 3/5 < 1, hence powers are written as following

27x/2 > 8y/2 > z/2

cancel denominator, we have, 27x > 8y > z

now we have distinct single positive non prime integers = 1, 4, 6, 8, 9 and x <> y <> z (<> - not equal)

if we consider x = 4 , then 4 * 27 = 108 > 8y > z

if we can try considering y = 9 or 8 or 6 or 1, where in almost all cases, 108 > 8y [ 72 or 64 or 48 or 4 ]

when x = 4 and y = 9 , then z = 1 based on options x + y +z = 14
User avatar
jkkamau
Joined: 25 May 2020
Last visit: 20 Apr 2026
Posts: 226
Own Kudos:
190
 [1]
Given Kudos: 142
Location: Kenya
Schools: Haas '25
GMAT 1: 730 Q50 V46
GPA: 3.5
Products:
Schools: Haas '25
GMAT 1: 730 Q50 V46
Posts: 226
Kudos: 190
 [1]
1
Kudos
Add Kudos
Bookmarks
Bookmark this Post
Bunuel
If x, y, and z are distinct single-digit non-prime positive integers, and \(\sqrt[9x]{\frac{27}{125}} < \sqrt[4y]{\frac{9}{25}} < \sqrt[z]{\frac{3}{5}}\), what is the value of x + y + z?

A. 13
B. 14
C. 15
D. 16
E. 17
To make 9x a single digit unit means x has to be 1, z can take 9 while can either take 4 or 8 but only 4 works given that 8 would take the sum to 18 which is not among the answers hence 1+9+4= 14
User avatar
canopyinthecity
Joined: 12 Jul 2025
Last visit: 17 Apr 2026
Posts: 91
Own Kudos:
61
 [1]
Given Kudos: 19
Posts: 91
Kudos: 61
 [1]
1
Kudos
Add Kudos
Bookmarks
Bookmark this Post
The possible values of x and y given the conditions (distinct, single digit, non-prime, positive integer) are - 1,4,6,8,9

Inequality is
(3/5)^(3/9x) < (3/5)^(2/4y) < (3/5)^(z)

As 3/5 <1, larger exponent would mean smaller value.

Therefore as per the inequality provided, (3/9x) > (2/4y) > z
On simplifying, (1/3x) > (1/2y) > z
On inversing, 3x < 2y < z

If we try possible values listed above, only one of them will satisfy this condition, which is present in the option between 13 to 17. And that is (1,4,9)

1+4+9 = 14
The answer is (B)
User avatar
adityaprateek15
Joined: 26 May 2023
Last visit: 18 Apr 2026
Posts: 346
Own Kudos:
170
 [1]
Given Kudos: 323
Location: India
GPA: 2.7
Products:
Posts: 346
Kudos: 170
 [1]
1
Kudos
Add Kudos
Bookmarks
Bookmark this Post
Simplify the expression:

27/125 = (3/5)^3
9/25 = (3/5)^2

9x[27][/125] = (3/5)^1/3x
4y[9][/125] = (3/5)^1/2y
z[3][/5] = (3/5)^1/z

Since 3/5 is less than 1, the inequality reverses when comparing the exponents

1/3x>1/2y>1/z

3x<2y<z

if x=1, 3x=3,
if y=4, 2y=8
=> z>8 so z=9

x+y+z = 1+4+9 = 14

Any other values will exceed 17 and hence 14 is the only possible choice.
Bunuel
If x, y, and z are distinct single-digit non-prime positive integers, and \(\sqrt[9x]{\frac{27}{125}} < \sqrt[4y]{\frac{9}{25}} < \sqrt[z]{\frac{3}{5}}\), what is the value of x + y + z?

A. 13
B. 14
C. 15
D. 16
E. 17
   1   2   3   4   
Moderators:
Math Expert
109715 posts
Tuck School Moderator
853 posts